第69页
- 第1页
- 第2页
- 第3页
- 第4页
- 第5页
- 第6页
- 第7页
- 第8页
- 第9页
- 第10页
- 第11页
- 第12页
- 第13页
- 第14页
- 第15页
- 第16页
- 第17页
- 第18页
- 第19页
- 第20页
- 第21页
- 第22页
- 第23页
- 第24页
- 第25页
- 第26页
- 第27页
- 第28页
- 第29页
- 第30页
- 第31页
- 第32页
- 第33页
- 第34页
- 第35页
- 第36页
- 第37页
- 第38页
- 第39页
- 第40页
- 第41页
- 第42页
- 第43页
- 第44页
- 第45页
- 第46页
- 第47页
- 第48页
- 第49页
- 第50页
- 第51页
- 第52页
- 第53页
- 第54页
- 第55页
- 第56页
- 第57页
- 第58页
- 第59页
- 第60页
- 第61页
- 第62页
- 第63页
- 第64页
- 第65页
- 第66页
- 第67页
- 第68页
- 第69页
- 第70页
- 第71页
- 第72页
- 第73页
- 第74页
- 第75页
- 第76页
- 第77页
- 第78页
- 第79页
- 第80页
- 第81页
- 第82页
- 第83页
- 第84页
- 第85页
- 第86页
- 第87页
- 第88页
- 第89页
- 第90页
- 第91页
- 第92页
- 第93页
- 第94页
- 第95页
- 第96页
- 第97页
- 第98页
- 第99页
- 第100页
- 第101页
- 第102页
- 第103页
- 第104页
- 第105页
- 第106页
- 第107页
- 第108页
- 第109页
- 第110页
- 第111页
- 第112页
- 第113页
- 第114页
- 第115页
- 第116页
- 第117页
- 第118页
- 第119页
- 第120页
- 第121页
- 第122页
- 第123页
- 第124页
- 第125页
- 第126页
- 第127页
- 第128页
- 第129页
- 第130页
- 第131页
- 第132页
- 第133页
- 第134页
- 第135页
- 第136页
- 第137页
- 第138页
- 第139页
- 第140页
- 第141页
- 第142页
- 第143页
- 第144页
- 第145页
- 第146页
- 第147页
- 第148页
- 第149页
- 第150页
- 第151页
- 第152页
- 第153页
- 第154页
- 第155页
- 第156页
- 第157页
- 第158页
- 第159页
- 第160页
- 第161页
- 第162页
- 第163页
- 第164页
- 第165页
- 第166页
- 第167页
- 第168页
- 第169页
- 第170页
- 第171页
- 第172页
- 第173页
- 第174页
- 第175页
- 第176页
- 第177页
- 第178页
- 第179页
- 第180页
- 第181页
- 第182页
- 第183页
- 第184页
- 第185页
- 第186页
- 第187页
- 第188页
- 第189页
- 第190页
- 第191页
- 第192页
- 第193页
- 第194页
- 第195页
- 第196页
- 第197页
- 第198页
- 第199页
- 第200页
- 第201页
- 第202页
- 第203页
- 第204页
- 第205页
- 第206页
- 第207页
- 第208页
- 第209页
- 第210页
- 第211页
- 第212页
- 第213页
- 第214页
- 第215页
- 第216页
- 第217页
- 第218页
- 第219页
- 第220页
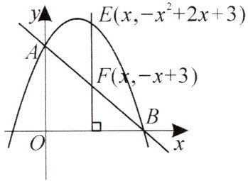
7. 如图,直线$y= -x+3与抛物线y= -x^{2}+2x+3交于点A(0,3)$,$B(3,0)$.
(1)用含x的代数式表示EF的长;
(2)求EF的最大值;
(3)求$\triangle ABE$面积的最大值.

(1)用含x的代数式表示EF的长;
(2)求EF的最大值;
(3)求$\triangle ABE$面积的最大值.
答案:
解:
(1) $ \because E ( x, - x ^ { 2 } + 2 x + 3 ) $,$ F ( x, - x + 3 ) $,
$ \therefore E F = - x ^ { 2 } + 2 x + 3 - ( - x + 3 ) $
$ = - x ^ { 2 } + 3 x $。
(2) $ E F = - x ^ { 2 } + 3 x $
$ = - \left( x - \frac { 3 } { 2 } \right) ^ { 2 } + \frac { 9 } { 4 } $,
$ \because - 1 < 0 $,
$ \therefore $ 当 $ x = \frac { 3 } { 2 } $ 时,$ E F $ 的最大值为 $ \frac { 9 } { 4 } $。
(3) 如图,连接 $ A E $,$ E B $,作 $ A M \perp E F $,垂足为 $ M $,$ E N \perp O B $ 于点 $ N $,
$ \therefore S _ { \triangle A B E } = S _ { \triangle A E F } + S _ { \triangle B E F } $
$ = \frac { 1 } { 2 } E F \cdot A M + \frac { 1 } { 2 } E F \cdot B N $
$ = \frac { 1 } { 2 } E F \cdot ( A M + B N ) $。
$ \because A M \perp E F $,$ E F \perp x $ 轴,$ A O \perp x $ 轴,
$ \therefore $ 四边形 $ A M N O $ 是矩形。
$ \therefore A M = O N $。
$ \therefore S _ { \triangle A B E } = \frac { 1 } { 2 } E F \cdot ( A M + B N ) $
$ = \frac { 1 } { 2 } E F \cdot ( O N + B N ) $
$ = \frac { 1 } { 2 } E F \cdot O B $。
$ \because O B = 3 $,
$ \therefore S _ { \triangle A B E } = \frac { 1 } { 2 } \times ( - x ^ { 2 } + 3 x ) \times 3 $
$ = - \frac { 3 } { 2 } ( x ^ { 2 } - 3 x ) $
$ = - \frac { 3 } { 2 } \left( x - \frac { 3 } { 2 } \right) ^ { 2 } + \frac { 27 } { 8 } $。
$ \therefore $ 当 $ x = \frac { 3 } { 2 } $ 时,
$ S _ { \triangle A B E } $ 有最大值 $ \frac { 27 } { 8 } $。
解:
(1) $ \because E ( x, - x ^ { 2 } + 2 x + 3 ) $,$ F ( x, - x + 3 ) $,
$ \therefore E F = - x ^ { 2 } + 2 x + 3 - ( - x + 3 ) $
$ = - x ^ { 2 } + 3 x $。
(2) $ E F = - x ^ { 2 } + 3 x $
$ = - \left( x - \frac { 3 } { 2 } \right) ^ { 2 } + \frac { 9 } { 4 } $,
$ \because - 1 < 0 $,
$ \therefore $ 当 $ x = \frac { 3 } { 2 } $ 时,$ E F $ 的最大值为 $ \frac { 9 } { 4 } $。
(3) 如图,连接 $ A E $,$ E B $,作 $ A M \perp E F $,垂足为 $ M $,$ E N \perp O B $ 于点 $ N $,
$ \therefore S _ { \triangle A B E } = S _ { \triangle A E F } + S _ { \triangle B E F } $
$ = \frac { 1 } { 2 } E F \cdot A M + \frac { 1 } { 2 } E F \cdot B N $
$ = \frac { 1 } { 2 } E F \cdot ( A M + B N ) $。
$ \because A M \perp E F $,$ E F \perp x $ 轴,$ A O \perp x $ 轴,
$ \therefore $ 四边形 $ A M N O $ 是矩形。
$ \therefore A M = O N $。
$ \therefore S _ { \triangle A B E } = \frac { 1 } { 2 } E F \cdot ( A M + B N ) $
$ = \frac { 1 } { 2 } E F \cdot ( O N + B N ) $
$ = \frac { 1 } { 2 } E F \cdot O B $。
$ \because O B = 3 $,
$ \therefore S _ { \triangle A B E } = \frac { 1 } { 2 } \times ( - x ^ { 2 } + 3 x ) \times 3 $
$ = - \frac { 3 } { 2 } ( x ^ { 2 } - 3 x ) $
$ = - \frac { 3 } { 2 } \left( x - \frac { 3 } { 2 } \right) ^ { 2 } + \frac { 27 } { 8 } $。
$ \therefore $ 当 $ x = \frac { 3 } { 2 } $ 时,
$ S _ { \triangle A B E } $ 有最大值 $ \frac { 27 } { 8 } $。
8. (2024·徐州)如图,A,B为一次函数$y= -x+5的图象与二次函数y= x^{2}+bx+c$的图象的公共点,点A,B的横坐标分别为0,4.P为二次函数$y= x^{2}+bx+c$的图象上的动点,且位于直线AB的下方,连接PA,PB.
(1)求b,c的值;
(2)求$\triangle PAB$的面积的最大值.

(1)求b,c的值;
(2)求$\triangle PAB$的面积的最大值.
答案:
解:
(1) 当 $ x = 0 $ 时,
$ y = - x + 5 = 5 $;
当 $ x = 4 $ 时,$ y = - x + 5 = 1 $,
$ \therefore A ( 0, 5 ) $,$ B ( 4, 1 ) $。
把 $ A ( 0, 5 ) $,$ B ( 4, 1 ) $ 分别代入 $ y = x ^ { 2 } + b x + c $,得
$ \left\{ \begin{array} { l } { c = 5, } \\ { 16 + 4 b + c = 1, } \end{array} \right. $ 解得 $ \left\{ \begin{array} { l } { b = - 5, } \\ { c = 5. } \end{array} \right. $
(2) 由
(1) 可得 $ y = x ^ { 2 } - 5 x + 5 $,设 $ P ( m, m ^ { 2 } - 5 m + 5 ) $。
如图,过点 $ P $ 作 $ P E // O A $ 交 $ A B $ 于点 $ E $,
则 $ E ( m, - m + 5 ) $。
$ \therefore P E = 4 m - m ^ { 2 } $。
$ \therefore S _ { \triangle P A B } = \frac { 1 } { 2 } ( 4 m - m ^ { 2 } ) \times ( 4 - 0 ) $
$ = - 2 ( m - 2 ) ^ { 2 } + 8 $。
$ \therefore $ 当 $ m = 2 $ 时,$ S _ { \triangle P A B } $ 的值最大,最大值为 $ 8 $。
解:
(1) 当 $ x = 0 $ 时,
$ y = - x + 5 = 5 $;
当 $ x = 4 $ 时,$ y = - x + 5 = 1 $,
$ \therefore A ( 0, 5 ) $,$ B ( 4, 1 ) $。
把 $ A ( 0, 5 ) $,$ B ( 4, 1 ) $ 分别代入 $ y = x ^ { 2 } + b x + c $,得
$ \left\{ \begin{array} { l } { c = 5, } \\ { 16 + 4 b + c = 1, } \end{array} \right. $ 解得 $ \left\{ \begin{array} { l } { b = - 5, } \\ { c = 5. } \end{array} \right. $
(2) 由
(1) 可得 $ y = x ^ { 2 } - 5 x + 5 $,设 $ P ( m, m ^ { 2 } - 5 m + 5 ) $。
如图,过点 $ P $ 作 $ P E // O A $ 交 $ A B $ 于点 $ E $,
则 $ E ( m, - m + 5 ) $。
$ \therefore P E = 4 m - m ^ { 2 } $。
$ \therefore S _ { \triangle P A B } = \frac { 1 } { 2 } ( 4 m - m ^ { 2 } ) \times ( 4 - 0 ) $
$ = - 2 ( m - 2 ) ^ { 2 } + 8 $。
$ \therefore $ 当 $ m = 2 $ 时,$ S _ { \triangle P A B } $ 的值最大,最大值为 $ 8 $。
查看更多完整答案,请扫码查看