第19页
- 第1页
- 第2页
- 第3页
- 第4页
- 第5页
- 第6页
- 第7页
- 第8页
- 第9页
- 第10页
- 第11页
- 第12页
- 第13页
- 第14页
- 第15页
- 第16页
- 第17页
- 第18页
- 第19页
- 第20页
- 第21页
- 第22页
- 第23页
- 第24页
- 第25页
- 第26页
- 第27页
- 第28页
- 第29页
- 第30页
- 第31页
- 第32页
- 第33页
- 第34页
- 第35页
- 第36页
- 第37页
- 第38页
- 第39页
- 第40页
- 第41页
- 第42页
- 第43页
- 第44页
- 第45页
- 第46页
- 第47页
- 第48页
- 第49页
- 第50页
- 第51页
- 第52页
- 第53页
- 第54页
- 第55页
- 第56页
- 第57页
- 第58页
- 第59页
- 第60页
- 第61页
- 第62页
- 第63页
- 第64页
- 第65页
- 第66页
- 第67页
- 第68页
- 第69页
- 第70页
- 第71页
- 第72页
- 第73页
- 第74页
- 第75页
- 第76页
- 第77页
- 第78页
- 第79页
- 第80页
- 第81页
- 第82页
- 第83页
- 第84页
- 第85页
- 第86页
- 第87页
- 第88页
- 第89页
- 第90页
- 第91页
- 第92页
- 第93页
- 第94页
- 第95页
- 第96页
- 第97页
- 第98页
- 第99页
- 第100页
- 第101页
- 第102页
- 第103页
- 第104页
- 第105页
- 第106页
- 第107页
- 第108页
- 第109页
- 第110页
- 第111页
- 第112页
- 第113页
- 第114页
- 第115页
- 第116页
- 第117页
- 第118页
- 第119页
- 第120页
- 第121页
- 第122页
- 第123页
- 第124页
- 第125页
- 第126页
- 第127页
- 第128页
- 第129页
- 第130页
- 第131页
- 第132页
- 第133页
- 第134页
- 第135页
- 第136页
- 第137页
- 第138页
- 第139页
- 第140页
- 第141页
- 第142页
- 第143页
- 第144页
- 第145页
- 第146页
- 第147页
- 第148页
- 第149页
- 第150页
- 第151页
- 第152页
- 第153页
- 第154页
- 第155页
- 第156页
- 第157页
- 第158页
- 第159页
- 第160页
- 第161页
- 第162页
- 第163页
- 第164页
- 第165页
- 第166页
- 第167页
- 第168页
- 第169页
- 第170页
- 第171页
- 第172页
- 第173页
- 第174页
- 第175页
- 第176页
- 第177页
- 第178页
- 第179页
- 第180页
- 第181页
- 第182页
- 第183页
- 第184页
- 第185页
- 第186页
- 第187页
- 第188页
- 第189页
- 第190页
- 第191页
- 第192页
- 第193页
- 第194页
- 第195页
- 第196页
- 第197页
- 第198页
- 第199页
- 第200页
- 第201页
- 第202页
- 第203页
- 第204页
- 第205页
2. 自学教科书第 16 页例 4,并解答下列问题.
不解方程,求下列方程两个根的和与积:
(1) $x^2 - 2x + 1 = 0$;
(2) $2x^2 - 3x + 1 = 0$.
不解方程,求下列方程两个根的和与积:
(1) $x^2 - 2x + 1 = 0$;
(2) $2x^2 - 3x + 1 = 0$.
答案:
答题卡:
(1) 对于方程 $x^{2} - 2x + 1 = 0$:
根据一元二次方程的根与系数的关系,若方程为 $ax^{2} + bx + c = 0$,其两个根 $x_1$ 和 $x_2$ 的和 $x_1 + x_2 = -\frac{b}{a}$,积 $x_1 \cdot x_2 = \frac{c}{a}$。
对于方程 $x^{2} - 2x + 1 = 0$,其中 $a = 1, b = -2, c = 1$。
所以,两个根的和为:$x_1 + x_2 = -\frac{-2}{1} = 2$。
两个根的积为:$x_1 \cdot x_2 = \frac{1}{1} = 1$。
(2) 对于方程 $2x^{2} - 3x + 1 = 0$:
同样根据一元二次方程的根与系数的关系,对于方程 $2x^{2} - 3x + 1 = 0$,其中 $a = 2, b = -3, c = 1$。
所以,两个根的和为:$x_1 + x_2 = -\frac{-3}{2} = \frac{3}{2}$。
两个根的积为:$x_1 \cdot x_2 = \frac{1}{2}$。
(1) 对于方程 $x^{2} - 2x + 1 = 0$:
根据一元二次方程的根与系数的关系,若方程为 $ax^{2} + bx + c = 0$,其两个根 $x_1$ 和 $x_2$ 的和 $x_1 + x_2 = -\frac{b}{a}$,积 $x_1 \cdot x_2 = \frac{c}{a}$。
对于方程 $x^{2} - 2x + 1 = 0$,其中 $a = 1, b = -2, c = 1$。
所以,两个根的和为:$x_1 + x_2 = -\frac{-2}{1} = 2$。
两个根的积为:$x_1 \cdot x_2 = \frac{1}{1} = 1$。
(2) 对于方程 $2x^{2} - 3x + 1 = 0$:
同样根据一元二次方程的根与系数的关系,对于方程 $2x^{2} - 3x + 1 = 0$,其中 $a = 2, b = -3, c = 1$。
所以,两个根的和为:$x_1 + x_2 = -\frac{-3}{2} = \frac{3}{2}$。
两个根的积为:$x_1 \cdot x_2 = \frac{1}{2}$。
1. 解下列方程:
(1) $x^2 - 2x = 0$;
(2) $x^2 + 3x - 4 = 0$;
(3) $x^2 - 5x + 6 = 0$.
2. 将上面得到的解填到下面的表格中,你发现表格中两个解的和、积与原来的方程有什么联系?

3. 猜想:设方程 $x^2 + px + q = 0$,则有 $x_1 + x_2 = $
4. 应用:不解方程,求下列方程两个根 $x_1$,$x_2$ 的和与积.
(1) $x^2 - 6x - 15 = 0$,$x_1 + x_2 = $
(2) $3x^2 + 7x - 9 = 0$,$x_1 + x_2 = $
(3) $5x - 1 = 4x^2$,$x_1 + x_2 = $
(4) $x^2 + x = 5x + 6$,$x_1 + x_2 = $
5. 当二次项系数不为 1 时,方程的根与系数又有怎样的关系呢?
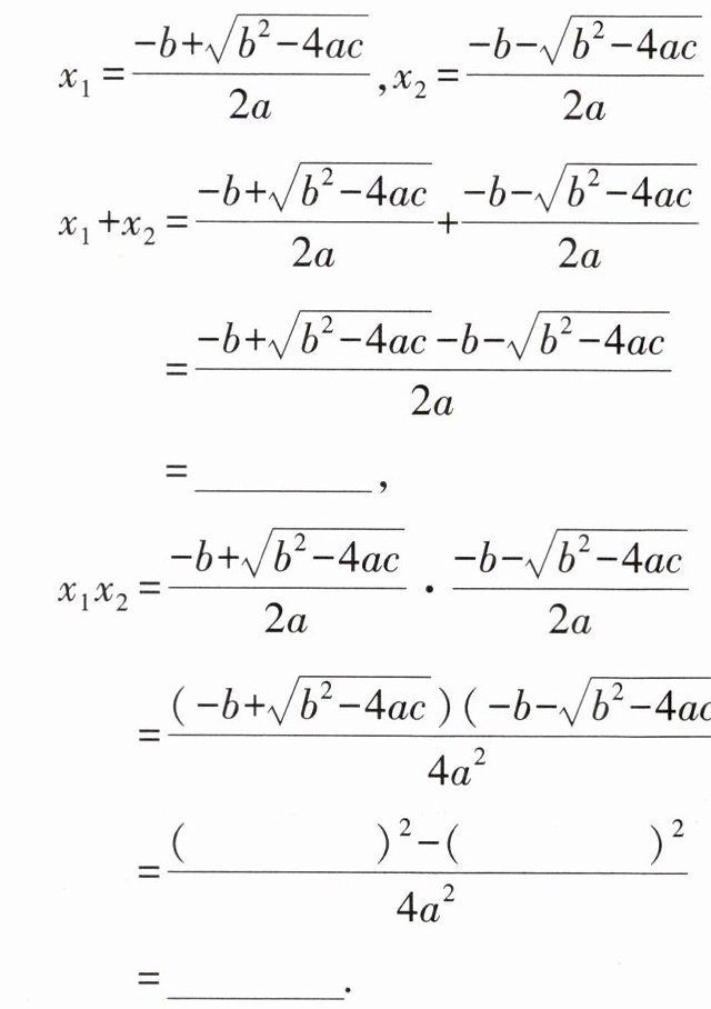
一般地,对于关于 $x$ 的一元二次方程 $ax^2 + bx + c = 0(a \neq 0)$ 用求根公式求出它的两个根 $x_1$,$x_2$,由一元二次方程 $ax^2 + bx + c = 0$ 的求根公式知,

能得出以下结果:
$x_1 + x_2 = $
$x_1x_2 = $
(1) $x^2 - 2x = 0$;
(2) $x^2 + 3x - 4 = 0$;
(3) $x^2 - 5x + 6 = 0$.
2. 将上面得到的解填到下面的表格中,你发现表格中两个解的和、积与原来的方程有什么联系?
3. 猜想:设方程 $x^2 + px + q = 0$,则有 $x_1 + x_2 = $
$-p$
;$x_1x_2 = $$q$
.4. 应用:不解方程,求下列方程两个根 $x_1$,$x_2$ 的和与积.
(1) $x^2 - 6x - 15 = 0$,$x_1 + x_2 = $
$6$
,$x_1x_2 = $$-15$
;(2) $3x^2 + 7x - 9 = 0$,$x_1 + x_2 = $
$-\frac{7}{3}$
,$x_1x_2 = $$-3$
;(3) $5x - 1 = 4x^2$,$x_1 + x_2 = $
$\frac{5}{4}$
,$x_1x_2 = $$\frac{1}{4}$
;(4) $x^2 + x = 5x + 6$,$x_1 + x_2 = $
$4$
,$x_1x_2 = $$-6$
.5. 当二次项系数不为 1 时,方程的根与系数又有怎样的关系呢?
一般地,对于关于 $x$ 的一元二次方程 $ax^2 + bx + c = 0(a \neq 0)$ 用求根公式求出它的两个根 $x_1$,$x_2$,由一元二次方程 $ax^2 + bx + c = 0$ 的求根公式知,
能得出以下结果:
$x_1 + x_2 = $
$-\frac{b}{a}$
,即两根之和等于$-\frac{b}{a}$
;$x_1x_2 = $
$\frac{c}{a}$
,即两根之积等于$\frac{c}{a}$
.
答案:
1.
(1) $x(x - 2)=0$,
$x = 0$或$x - 2 = 0$,
解得$x_1 = 0$,$x_2 = 2$。
(2) 分解因式得$(x + 4)(x - 1)=0$,
$x + 4 = 0$或$x - 1 = 0$,
解得$x_1 = - 4$,$x_2 = 1$。
(3) 分解因式得$(x - 2)(x - 3)=0$,
$x - 2 = 0$或$x - 3 = 0$,
解得$x_1 = 2$,$x_2 = 3$。
2.
|方程|$x_1$|$x_2$|$x_1 + x_2$|$x_1x_2$|
|----|----|----|----|----|
|$x^2 - 2x = 0$|0|2|2|0|
|$x^2 + 3x - 4 = 0$|-4|1|-3|-4|
|$x^2 - 5x + 6 = 0$|2|3|5|6|
3. $x_1 + x_2=-p$;$x_1x_2 = q$。
4.
(1) $x_1 + x_2 = 6$,$x_1x_2=-15$。
(2) 方程化为$x^2+\frac{7}{3}x - 3 = 0$,$x_1 + x_2=-\frac{7}{3}$,$x_1x_2=-3$。
(3) 方程化为$4x^2-5x + 1 = 0$,$x_1 + x_2=\frac{5}{4}$,$x_1x_2=\frac{1}{4}$。
(4) 方程化为$x^2-4x - 6 = 0$,$x_1 + x_2 = 4$,$x_1x_2=-6$。
5.
$x_1 + x_2=\frac{-2b}{2a}=-\frac{b}{a}$;
$(-b)^2-(\sqrt{b^2 - 4ac})^2=b^2-(b^2 - 4ac)=4ac$;
$\frac{4ac}{4a^2}=\frac{c}{a}$
$x_1 + x_2=-\frac{b}{a}$,即两根之和等于$-\frac{b}{a}$;
$x_1x_2=\frac{c}{a}$,即两根之积等于$\frac{c}{a}$。
(1) $x(x - 2)=0$,
$x = 0$或$x - 2 = 0$,
解得$x_1 = 0$,$x_2 = 2$。
(2) 分解因式得$(x + 4)(x - 1)=0$,
$x + 4 = 0$或$x - 1 = 0$,
解得$x_1 = - 4$,$x_2 = 1$。
(3) 分解因式得$(x - 2)(x - 3)=0$,
$x - 2 = 0$或$x - 3 = 0$,
解得$x_1 = 2$,$x_2 = 3$。
2.
|方程|$x_1$|$x_2$|$x_1 + x_2$|$x_1x_2$|
|----|----|----|----|----|
|$x^2 - 2x = 0$|0|2|2|0|
|$x^2 + 3x - 4 = 0$|-4|1|-3|-4|
|$x^2 - 5x + 6 = 0$|2|3|5|6|
3. $x_1 + x_2=-p$;$x_1x_2 = q$。
4.
(1) $x_1 + x_2 = 6$,$x_1x_2=-15$。
(2) 方程化为$x^2+\frac{7}{3}x - 3 = 0$,$x_1 + x_2=-\frac{7}{3}$,$x_1x_2=-3$。
(3) 方程化为$4x^2-5x + 1 = 0$,$x_1 + x_2=\frac{5}{4}$,$x_1x_2=\frac{1}{4}$。
(4) 方程化为$x^2-4x - 6 = 0$,$x_1 + x_2 = 4$,$x_1x_2=-6$。
5.
$x_1 + x_2=\frac{-2b}{2a}=-\frac{b}{a}$;
$(-b)^2-(\sqrt{b^2 - 4ac})^2=b^2-(b^2 - 4ac)=4ac$;
$\frac{4ac}{4a^2}=\frac{c}{a}$
$x_1 + x_2=-\frac{b}{a}$,即两根之和等于$-\frac{b}{a}$;
$x_1x_2=\frac{c}{a}$,即两根之积等于$\frac{c}{a}$。
查看更多完整答案,请扫码查看