第153页
- 第1页
- 第2页
- 第3页
- 第4页
- 第5页
- 第6页
- 第7页
- 第8页
- 第9页
- 第10页
- 第11页
- 第12页
- 第13页
- 第14页
- 第15页
- 第16页
- 第17页
- 第18页
- 第19页
- 第20页
- 第21页
- 第22页
- 第23页
- 第24页
- 第25页
- 第26页
- 第27页
- 第28页
- 第29页
- 第30页
- 第31页
- 第32页
- 第33页
- 第34页
- 第35页
- 第36页
- 第37页
- 第38页
- 第39页
- 第40页
- 第41页
- 第42页
- 第43页
- 第44页
- 第45页
- 第46页
- 第47页
- 第48页
- 第49页
- 第50页
- 第51页
- 第52页
- 第53页
- 第54页
- 第55页
- 第56页
- 第57页
- 第58页
- 第59页
- 第60页
- 第61页
- 第62页
- 第63页
- 第64页
- 第65页
- 第66页
- 第67页
- 第68页
- 第69页
- 第70页
- 第71页
- 第72页
- 第73页
- 第74页
- 第75页
- 第76页
- 第77页
- 第78页
- 第79页
- 第80页
- 第81页
- 第82页
- 第83页
- 第84页
- 第85页
- 第86页
- 第87页
- 第88页
- 第89页
- 第90页
- 第91页
- 第92页
- 第93页
- 第94页
- 第95页
- 第96页
- 第97页
- 第98页
- 第99页
- 第100页
- 第101页
- 第102页
- 第103页
- 第104页
- 第105页
- 第106页
- 第107页
- 第108页
- 第109页
- 第110页
- 第111页
- 第112页
- 第113页
- 第114页
- 第115页
- 第116页
- 第117页
- 第118页
- 第119页
- 第120页
- 第121页
- 第122页
- 第123页
- 第124页
- 第125页
- 第126页
- 第127页
- 第128页
- 第129页
- 第130页
- 第131页
- 第132页
- 第133页
- 第134页
- 第135页
- 第136页
- 第137页
- 第138页
- 第139页
- 第140页
- 第141页
- 第142页
- 第143页
- 第144页
- 第145页
- 第146页
- 第147页
- 第148页
- 第149页
- 第150页
- 第151页
- 第152页
- 第153页
- 第154页
- 第155页
- 第156页
- 第157页
- 第158页
- 第159页
- 第160页
- 第161页
- 第162页
- 第163页
- 第164页
- 第165页
- 第166页
- 第167页
- 第168页
- 第169页
- 第170页
- 第171页
- 第172页
- 第173页
- 第174页
- 第175页
- 第176页
- 第177页
- 第178页
- 第179页
- 第180页
- 第181页
- 第182页
- 第183页
- 第184页
- 第185页
- 第186页
- 第187页
- 第188页
- 第189页
- 第190页
- 第191页
- 第192页
- 第193页
- 第194页
- 第195页
- 第196页
- 第197页
- 第198页
- 第199页
- 第200页
- 第201页
- 第202页
- 第203页
- 第204页
- 第205页
2. 回顾上面我们利用函数图象,从特殊到一般研究反比例函数 $ y = \frac{k}{x}(k > 0) $ 的性质的过程,你能用类似的方法研究反比例函数 $ y = \frac{k}{x}(k < 0) $ 的图象和性质吗?
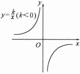
一般地,当 $ k < 0 $ 时,对于反比例函数 $ y = \frac{k}{x} $,由函数图象(见下图),并结合解析式,我们可以发现:
(1) 函数图象分别位于
(2) 在每一个象限内,

一般地,当 $ k < 0 $ 时,对于反比例函数 $ y = \frac{k}{x} $,由函数图象(见下图),并结合解析式,我们可以发现:
(1) 函数图象分别位于
第二、四象限
;(2) 在每一个象限内,
y 随 x 的增大而增大
。
答案:
(1) 第二、四象限;
(2) y 随 x 的增大而增大。
(1) 第二、四象限;
(2) y 随 x 的增大而增大。
猜想:① 当图象的两个分支无限延伸时,它可能与坐标轴相交吗?请说明理由。
② 双曲线是对称图形吗?若是,说明是什么对称图形;若不是,说明理由。
② 双曲线是对称图形吗?若是,说明是什么对称图形;若不是,说明理由。
答案:
① 不会相交。理由:反比例函数y=k/x(k≠0)中,x≠0且y≠0,故图象与坐标轴无交点。
② 是对称图形。既是中心对称图形,对称中心是原点;也是轴对称图形,对称轴是直线y=x和y=-x。
② 是对称图形。既是中心对称图形,对称中心是原点;也是轴对称图形,对称轴是直线y=x和y=-x。
在如图的平面直角坐标系中,画出反比例函数 $ y = \frac{3}{x} $ 和 $ y = -\frac{3}{x} $ 的图象。

答案:
绘制 $ y = \frac{3}{x} $ 的图象
1. 列表:
| $ x $ | -3 | -2 | -1 | 1 | 2 | 3 |
|--------|----|----|----|---|---|---|
| $ y $ | -1 | -1.5 | -3 | 3 | 1.5 | 1 |
2. 描点:在坐标系中描出点 $(-3,-1)$, $(-2,-1.5)$, $(-1,-3)$, $(1,3)$, $(2,1.5)$, $(3,1)$。
3. 连线:用平滑曲线连接第一象限内的点,用平滑曲线连接第三象限内的点,图象不与坐标轴相交。
绘制 $ y = -\frac{3}{x} $ 的图象
1. 列表:
| $ x $ | -3 | -2 | -1 | 1 | 2 | 3 |
|--------|----|----|----|---|---|---|
| $ y $ | 1 | 1.5 | 3 | -3 | -1.5 | -1 |
2. 描点:在坐标系中描出点 $(-3,1)$, $(-2,1.5)$, $(-1,3)$, $(1,-3)$, $(2,-1.5)$, $(3,-1)$。
3. 连线:用平滑曲线连接第二象限内的点,用平滑曲线连接第四象限内的点,图象不与坐标轴相交。
结论:反比例函数 $ y = \frac{3}{x} $ 的图象为位于第一、三象限的双曲线;$ y = -\frac{3}{x} $ 的图象为位于第二、四象限的双曲线。
1. 列表:
| $ x $ | -3 | -2 | -1 | 1 | 2 | 3 |
|--------|----|----|----|---|---|---|
| $ y $ | -1 | -1.5 | -3 | 3 | 1.5 | 1 |
2. 描点:在坐标系中描出点 $(-3,-1)$, $(-2,-1.5)$, $(-1,-3)$, $(1,3)$, $(2,1.5)$, $(3,1)$。
3. 连线:用平滑曲线连接第一象限内的点,用平滑曲线连接第三象限内的点,图象不与坐标轴相交。
绘制 $ y = -\frac{3}{x} $ 的图象
1. 列表:
| $ x $ | -3 | -2 | -1 | 1 | 2 | 3 |
|--------|----|----|----|---|---|---|
| $ y $ | 1 | 1.5 | 3 | -3 | -1.5 | -1 |
2. 描点:在坐标系中描出点 $(-3,1)$, $(-2,1.5)$, $(-1,3)$, $(1,-3)$, $(2,-1.5)$, $(3,-1)$。
3. 连线:用平滑曲线连接第二象限内的点,用平滑曲线连接第四象限内的点,图象不与坐标轴相交。
结论:反比例函数 $ y = \frac{3}{x} $ 的图象为位于第一、三象限的双曲线;$ y = -\frac{3}{x} $ 的图象为位于第二、四象限的双曲线。
设 $ \triangle ABC $ 中边 $ BC $ 的长为 $ x \, cm $,边 $ BC $ 上的高 $ AD $ 的长为 $ y \, cm $。现一探究小组测得两个变量 $ x(x > 0) $, $ y(y > 0) $ 的一组对应值如下表:

(1) 在给出的平面直角坐标系中,用描点法画出 $ y $ 关于 $ x $ 的函数的图象;
(2) 求 $ y $ 关于 $ x $ 的函数解析式;
(3) 如果边 $ BC $ 的长不小于 $ 8 \, cm $,求高 $ AD $ 的取值范围。

(1) 在给出的平面直角坐标系中,用描点法画出 $ y $ 关于 $ x $ 的函数的图象;
(2) 求 $ y $ 关于 $ x $ 的函数解析式;
(3) 如果边 $ BC $ 的长不小于 $ 8 \, cm $,求高 $ AD $ 的取值范围。
答案:
(1)略;
(2)$y=\dfrac{6}{x}(x>0)$;
(3)高AD不大于$\dfrac{3}{4}\ cm$.
(1)略;
(2)$y=\dfrac{6}{x}(x>0)$;
(3)高AD不大于$\dfrac{3}{4}\ cm$.
查看更多完整答案,请扫码查看