第87页
- 第1页
- 第2页
- 第3页
- 第4页
- 第5页
- 第6页
- 第7页
- 第8页
- 第9页
- 第10页
- 第11页
- 第12页
- 第13页
- 第14页
- 第15页
- 第16页
- 第17页
- 第18页
- 第19页
- 第20页
- 第21页
- 第22页
- 第23页
- 第24页
- 第25页
- 第26页
- 第27页
- 第28页
- 第29页
- 第30页
- 第31页
- 第32页
- 第33页
- 第34页
- 第35页
- 第36页
- 第37页
- 第38页
- 第39页
- 第40页
- 第41页
- 第42页
- 第43页
- 第44页
- 第45页
- 第46页
- 第47页
- 第48页
- 第49页
- 第50页
- 第51页
- 第52页
- 第53页
- 第54页
- 第55页
- 第56页
- 第57页
- 第58页
- 第59页
- 第60页
- 第61页
- 第62页
- 第63页
- 第64页
- 第65页
- 第66页
- 第67页
- 第68页
- 第69页
- 第70页
- 第71页
- 第72页
- 第73页
- 第74页
- 第75页
- 第76页
- 第77页
- 第78页
- 第79页
- 第80页
- 第81页
- 第82页
- 第83页
- 第84页
- 第85页
- 第86页
- 第87页
- 第88页
- 第89页
- 第90页
- 第91页
- 第92页
- 第93页
- 第94页
- 第95页
- 第96页
- 第97页
- 第98页
- 第99页
- 第100页
- 第101页
- 第102页
- 第103页
- 第104页
- 第105页
- 第106页
- 第107页
- 第108页
- 第109页
- 第110页
- 第111页
- 第112页
- 第113页
- 第114页
- 第115页
- 第116页
- 第117页
- 第118页
- 第119页
- 第120页
- 第121页
- 第122页
- 第123页
- 第124页
- 第125页
- 第126页
- 第127页
- 第128页
- 第129页
- 第130页
- 第131页
- 第132页
- 第133页
- 第134页
- 第135页
- 第136页
- 第137页
- 第138页
- 第139页
- 第140页
- 第141页
- 第142页
- 第143页
- 第144页
- 第145页
- 第146页
- 第147页
- 第148页
- 第149页
- 第150页
- 第151页
- 第152页
- 第153页
- 第154页
- 第155页
- 第156页
- 第157页
- 第158页
- 第159页
- 第160页
- 第161页
- 第162页
- 第163页
- 第164页
- 第165页
- 第166页
- 第167页
- 第168页
- 第169页
- 第170页
- 第171页
- 第172页
- 第173页
- 第174页
- 第175页
- 第176页
- 第177页
- 第178页
- 第179页
- 第180页
- 第181页
- 第182页
- 第183页
- 第184页
- 第185页
- 第186页
- 第187页
- 第188页
- 第189页
- 第190页
- 第191页
- 第192页
- 第193页
- 第194页
- 第195页
- 第196页
- 第197页
- 第198页
- 第199页
- 第200页
- 第201页
- 第202页
- 第203页
- 第204页
- 第205页
5. (2024·禅城区月考)下列图形一定是相似图形的是 (
A. 两个等腰三角形
B. 两个面积相等的三角形
C. 两个正方形
D. 两个菱形
C
)A. 两个等腰三角形
B. 两个面积相等的三角形
C. 两个正方形
D. 两个菱形
答案:
C
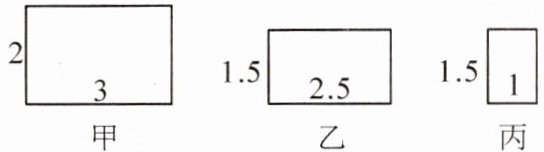
6. 如图有三个矩形,其中是相似图形的是 (

A. 甲和乙
B. 甲和丙
C. 乙和丙
D. 甲、乙和丙
B
)A. 甲和乙
B. 甲和丙
C. 乙和丙
D. 甲、乙和丙
答案:
B
7. 如图,$\triangle ABC$与$\triangle DEF$相似,$\angle C = \angle F$,$\angle B = \angle E$,求未知边$x$,$y$的长度。

$x=$
$x=$
6
,$y=$3.5
答案:
解:
∵ △ABC~△DEF,
∴$ \frac{AB}{DE} = \frac{AC}{DF} = \frac{BC}{EF},$即$ \frac{7}{y} = \frac{12}{x} = \frac{8}{4}。$
解得x = 6,y = 3.5。
∵ △ABC~△DEF,
∴$ \frac{AB}{DE} = \frac{AC}{DF} = \frac{BC}{EF},$即$ \frac{7}{y} = \frac{12}{x} = \frac{8}{4}。$
解得x = 6,y = 3.5。
8. 【核心素养】如图,在四边形$ABCD$中,$EF // AB // DC$,$AB = 9$,$DC = 4$,如果用$EF$把原四边形分成两个相似的小四边形,那么$EF$的长为

6
。
答案:
6
9. (2024·英德期中)如图,四边形$ABCD$是一张矩形纸片。将其按如图所示的方式折叠,使边$DA$落在边$DC$上,点$A$落在点$H$处,折痕为$DE$,使边$CB$落在边$CD$上,点$B$落在点$G$处,折痕为$CF$。若矩形$HEFG$与原矩形$ABCD$相似,$AD = 4$,则$CD$的长为____

$4\sqrt{2} + 4$
。
答案:
$4\sqrt{2} + 4$
10. 【易错题】如图,在矩形草坪$ABCD$中,$AD = 5m$,$AB = 3m$,沿草坪四周外围有$1m$宽的环形小路,小路内外边缘所成的两个矩形相似吗?为什么?

解:
由题意得AB = CD = 3m,
AD = BC = 5m,
∵ 小路宽1m,
∴ A'B' = 5m,A'D' = 7m。
∴$ \frac{AB}{A'B'} = \frac{3}{5},$$\frac{AD}{A'D'} = \frac{5}{7},$
∴$ \frac{AB}{A'B'} ≠ \frac{AD}{A'D'}。$
∴ 不相似。
解:
不相似
。理由如下:由题意得AB = CD = 3m,
AD = BC = 5m,
∵ 小路宽1m,
∴ A'B' = 5m,A'D' = 7m。
∴$ \frac{AB}{A'B'} = \frac{3}{5},$$\frac{AD}{A'D'} = \frac{5}{7},$
∴$ \frac{AB}{A'B'} ≠ \frac{AD}{A'D'}。$
∴ 不相似。
答案:
解:不相似。理由如下:
由题意得AB = CD = 3m,
AD = BC = 5m,
∵ 小路宽1m,
∴ A'B' = 5m,A'D' = 7m。
∴$ \frac{AB}{A'B'} = \frac{3}{5},$$\frac{AD}{A'D'} = \frac{5}{7},$
∴$ \frac{AB}{A'B'} ≠ \frac{AD}{A'D'}。$
∴ 不相似。
由题意得AB = CD = 3m,
AD = BC = 5m,
∵ 小路宽1m,
∴ A'B' = 5m,A'D' = 7m。
∴$ \frac{AB}{A'B'} = \frac{3}{5},$$\frac{AD}{A'D'} = \frac{5}{7},$
∴$ \frac{AB}{A'B'} ≠ \frac{AD}{A'D'}。$
∴ 不相似。
查看更多完整答案,请扫码查看