第137页
- 第1页
- 第2页
- 第3页
- 第4页
- 第5页
- 第6页
- 第7页
- 第8页
- 第9页
- 第10页
- 第11页
- 第12页
- 第13页
- 第14页
- 第15页
- 第16页
- 第17页
- 第18页
- 第19页
- 第20页
- 第21页
- 第22页
- 第23页
- 第24页
- 第25页
- 第26页
- 第27页
- 第28页
- 第29页
- 第30页
- 第31页
- 第32页
- 第33页
- 第34页
- 第35页
- 第36页
- 第37页
- 第38页
- 第39页
- 第40页
- 第41页
- 第42页
- 第43页
- 第44页
- 第45页
- 第46页
- 第47页
- 第48页
- 第49页
- 第50页
- 第51页
- 第52页
- 第53页
- 第54页
- 第55页
- 第56页
- 第57页
- 第58页
- 第59页
- 第60页
- 第61页
- 第62页
- 第63页
- 第64页
- 第65页
- 第66页
- 第67页
- 第68页
- 第69页
- 第70页
- 第71页
- 第72页
- 第73页
- 第74页
- 第75页
- 第76页
- 第77页
- 第78页
- 第79页
- 第80页
- 第81页
- 第82页
- 第83页
- 第84页
- 第85页
- 第86页
- 第87页
- 第88页
- 第89页
- 第90页
- 第91页
- 第92页
- 第93页
- 第94页
- 第95页
- 第96页
- 第97页
- 第98页
- 第99页
- 第100页
- 第101页
- 第102页
- 第103页
- 第104页
- 第105页
- 第106页
- 第107页
- 第108页
- 第109页
- 第110页
- 第111页
- 第112页
- 第113页
- 第114页
- 第115页
- 第116页
- 第117页
- 第118页
- 第119页
- 第120页
- 第121页
- 第122页
- 第123页
- 第124页
- 第125页
- 第126页
- 第127页
- 第128页
- 第129页
- 第130页
- 第131页
- 第132页
- 第133页
- 第134页
- 第135页
- 第136页
- 第137页
- 第138页
- 第139页
- 第140页
- 第141页
- 第142页
- 第143页
- 第144页
- 第145页
- 第146页
- 第147页
- 第148页
- 第149页
- 第150页
- 第151页
- 第152页
- 第153页
- 第154页
- 第155页
- 第156页
- 第157页
- 第158页
- 第159页
- 第160页
- 第161页
- 第162页
- 第163页
- 第164页
- 第165页
- 第166页
- 第167页
- 第168页
- 第169页
- 第170页
- 第171页
- 第172页
- 第173页
- 第174页
- 第175页
- 第176页
- 第177页
- 第178页
- 第179页
- 第180页
- 第181页
- 第182页
- 第183页
- 第184页
- 第185页
- 第186页
- 第187页
- 第188页
- 第189页
- 第190页
- 第191页
- 第192页
- 第193页
- 第194页
- 第195页
- 第196页
- 第197页
- 第198页
- 第199页
- 第200页
- 第201页
- 第202页
- 第203页
- 第204页
- 第205页
7. 如图,已知$P$为反比例函数$y=-\frac{5}{x}$的图象上的一点,过点$P$分别向$x$轴、$y$轴引垂线,垂足分别为$A$,$B$,那么矩形$PAOB$的面积为

5
.
答案:
5
8. 如图,$AB// x$轴交反比例函数$y=\frac{k}{x}$的图象于点$A$,交$y$轴于点$B$,连接$OA$,$S_{\triangle OAB}=3$,则$k=$

-6
.
答案:
-6
9. 【原创】如图,双曲线$y=\frac{k}{x}$经过正方形$OAPB$的顶点$P$,已知$OA=\sqrt{3}$,则$k=$

3
.
答案:
3
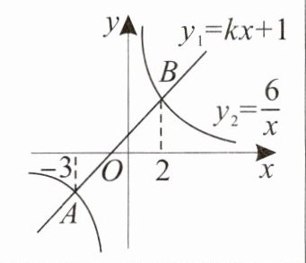
10. (2024·佛山期中改编)如图,在同一平面直角坐标系中,一次函数$y_1=kx+1$($k$是常数,且$k\neq0$)与反比例函数$y_2=\frac{6}{x}$的图象相交于$A(-3,-2)$,$B(2,m)$两点,则不等式$kx+1>\frac{6}{x}$的解集是(
A. $-3<x<2$
B. $x<-3$或$x>2$
C. $-3<x<0$或$x>2$
D. $0<x<2$
C
)A. $-3<x<2$
B. $x<-3$或$x>2$
C. $-3<x<0$或$x>2$
D. $0<x<2$
答案:
C
11. (2024·佛山期中)如图,已知点$A$在反比例函数$y=\frac{k}{x}(x<0)$的图象上,$AC\perp y$轴于点$C$,点$B$在$x$轴的负半轴上,若$S_{\triangle ABC}=2$,则$k$的值为____


-4
.
答案:
-4
12. 在第一象限内,反比例函数$y=\frac{k}{x}$和正比例函数$y=mx$的图象如图所示,则不等式$\frac{k}{x}\leq mx$的解集为


$ x \geq 1 $
.
答案:
$ x \geq 1 $
13. (2024·南山区期中)如图,$A$是双曲线$y=\frac{\sqrt{2}}{x}$在第一象限上的一动点,连接$AO$并延长交另一分支于点$B$,以$AB$为斜边作等腰$\mathrm{Rt}\triangle ABC$,点$C$在第二象限,随着点$A$的运动,点$C$的位置也不断地变化,但始终在一函数图象上运动,则这个函数的解析式为____
$ y = -\frac{\sqrt{2}}{x}(x < 0) $
.
答案:
$ y = -\frac{\sqrt{2}}{x}(x < 0) $
14. 如图,正方形$OABC$,$ADEF$的顶点$A$,$D$,$C$在坐标轴上,点$F$在$AB$上,点$B$,$E$在函数$y=\frac{1}{x}(x>0)$的图象上,则:
(1)点$B$的坐标是
(2)点$E$的坐标是

(1)点$B$的坐标是
(1,1)
;(2)点$E$的坐标是
$\left( \frac{1 + \sqrt{5}}{2}, \frac{-1 + \sqrt{5}}{2} \right)$
.
答案:
(1) $ (1,1) $
(2) $ \left( \frac{1 + \sqrt{5}}{2}, \frac{-1 + \sqrt{5}}{2} \right) $
(1) $ (1,1) $
(2) $ \left( \frac{1 + \sqrt{5}}{2}, \frac{-1 + \sqrt{5}}{2} \right) $
查看更多完整答案,请扫码查看