第152页
- 第1页
- 第2页
- 第3页
- 第4页
- 第5页
- 第6页
- 第7页
- 第8页
- 第9页
- 第10页
- 第11页
- 第12页
- 第13页
- 第14页
- 第15页
- 第16页
- 第17页
- 第18页
- 第19页
- 第20页
- 第21页
- 第22页
- 第23页
- 第24页
- 第25页
- 第26页
- 第27页
- 第28页
- 第29页
- 第30页
- 第31页
- 第32页
- 第33页
- 第34页
- 第35页
- 第36页
- 第37页
- 第38页
- 第39页
- 第40页
- 第41页
- 第42页
- 第43页
- 第44页
- 第45页
- 第46页
- 第47页
- 第48页
- 第49页
- 第50页
- 第51页
- 第52页
- 第53页
- 第54页
- 第55页
- 第56页
- 第57页
- 第58页
- 第59页
- 第60页
- 第61页
- 第62页
- 第63页
- 第64页
- 第65页
- 第66页
- 第67页
- 第68页
- 第69页
- 第70页
- 第71页
- 第72页
- 第73页
- 第74页
- 第75页
- 第76页
- 第77页
- 第78页
- 第79页
- 第80页
- 第81页
- 第82页
- 第83页
- 第84页
- 第85页
- 第86页
- 第87页
- 第88页
- 第89页
- 第90页
- 第91页
- 第92页
- 第93页
- 第94页
- 第95页
- 第96页
- 第97页
- 第98页
- 第99页
- 第100页
- 第101页
- 第102页
- 第103页
- 第104页
- 第105页
- 第106页
- 第107页
- 第108页
- 第109页
- 第110页
- 第111页
- 第112页
- 第113页
- 第114页
- 第115页
- 第116页
- 第117页
- 第118页
- 第119页
- 第120页
- 第121页
- 第122页
- 第123页
- 第124页
- 第125页
- 第126页
- 第127页
- 第128页
- 第129页
- 第130页
- 第131页
- 第132页
- 第133页
- 第134页
- 第135页
- 第136页
- 第137页
- 第138页
- 第139页
- 第140页
- 第141页
- 第142页
- 第143页
- 第144页
- 第145页
- 第146页
- 第147页
- 第148页
- 第149页
- 第150页
- 第151页
- 第152页
- 第153页
- 第154页
- 第155页
- 第156页
- 第157页
- 第158页
- 第159页
- 第160页
- 第161页
- 第162页
- 第163页
- 第164页
- 第165页
- 第166页
- 第167页
- 第168页
- 第169页
- 第170页
- 第171页
- 第172页
- 第173页
- 第174页
- 第175页
- 第176页
- 第177页
- 第178页
- 第179页
- 第180页
- 第181页
- 第182页
- 第183页
- 第184页
- 第185页
- 第186页
- 第187页
- 第188页
- 第189页
1. 画出反比例函数 $ y = \frac{6}{x} $和 $ y = \frac{12}{x} $的图象.
解:列表如下(把表中空白处填写完整).


描点,以表中各对应值为坐标,在直角坐标系中用两种颜色的笔描出各点.

连线,用平滑的曲线把所描的点依次连接起来.
(1)观察这两个函数图象,回答下列问题:
①每个函数图象分别位于哪些象限? 函数图象能与坐标轴相交吗?
②在每一个象限内,随着 $ x $ 的增大,$ y $ 如何变化? 你能由它们的解析式说明理由吗?
③对于反比例函数 $ y = \frac{k}{x}(k > 0) $,考虑问题①②,你能得出同样的结论吗?
(2)一般地,反比例函数 $ y = \frac{k}{x}(k > 0) $ 的图象是,分别位于第象限,并且在每个象限内,$ y $ 随 $ x $ 的增大而.
解:列表如下(把表中空白处填写完整).
描点,以表中各对应值为坐标,在直角坐标系中用两种颜色的笔描出各点.
连线,用平滑的曲线把所描的点依次连接起来.
(1)观察这两个函数图象,回答下列问题:
①每个函数图象分别位于哪些象限? 函数图象能与坐标轴相交吗?
②在每一个象限内,随着 $ x $ 的增大,$ y $ 如何变化? 你能由它们的解析式说明理由吗?
③对于反比例函数 $ y = \frac{k}{x}(k > 0) $,考虑问题①②,你能得出同样的结论吗?
(2)一般地,反比例函数 $ y = \frac{k}{x}(k > 0) $ 的图象是,分别位于第象限,并且在每个象限内,$ y $ 随 $ x $ 的增大而.
答案:
解:
| $x$ | $·s$ | -6 | -5 | -4 | -3 | -2 | -1 |
| $y = \frac{6}{x}$ | $·s$ | -1 | $-\frac{6}{5}$ | $-\frac{3}{2}$ | -2 | -3 | -6 |
| $y = \frac{12}{x}$ | $·s$ | -2 | $-\frac{12}{5}$ | -3 | -4 | -6 | -12 |
| $x$ | 1 | 2 | 3 | 4 | 5 | 6 | $·s$ |
| $y = \frac{6}{x}$ | 6 | 3 | 2 | $\frac{3}{2}$ | $\frac{6}{5}$ | 1 | $·s$ |
| $y = \frac{12}{x}$ | 12 | 6 | 4 | 3 | $\frac{12}{5}$ | 2 | $·s$ |

(1)
① $y = \frac{6}{x}$的图象位于第一、三象限,$y = \frac{12}{x}$的图象位于第一、三象限,函数图象不与坐标轴相交。
②在每一个象限内,随着$x$的增大,$y$减小。
对于$y = \frac{6}{x}$,$k = 6>0$,在第一象限$x>0$,$y=\frac{6}{x}$,$x$增大时,分母增大,分数值减小;在第三象限$x<0$,$y=\frac{6}{x}$,$x$增大(绝对值变小),分母绝对值变小,分数值(负数)增大(绝对值变小),即$y$也减小。同理可分析$y = \frac{12}{x}$。
③能,对于反比例函数$y = \frac{k}{x}(k>0)$,图象位于第一、三象限,在每一个象限内,随着$x$的增大,$y$减小。
(2) 双曲线;一、三;减小。
解:
| $x$ | $·s$ | -6 | -5 | -4 | -3 | -2 | -1 |
| $y = \frac{6}{x}$ | $·s$ | -1 | $-\frac{6}{5}$ | $-\frac{3}{2}$ | -2 | -3 | -6 |
| $y = \frac{12}{x}$ | $·s$ | -2 | $-\frac{12}{5}$ | -3 | -4 | -6 | -12 |
| $x$ | 1 | 2 | 3 | 4 | 5 | 6 | $·s$ |
| $y = \frac{6}{x}$ | 6 | 3 | 2 | $\frac{3}{2}$ | $\frac{6}{5}$ | 1 | $·s$ |
| $y = \frac{12}{x}$ | 12 | 6 | 4 | 3 | $\frac{12}{5}$ | 2 | $·s$ |
(1)
① $y = \frac{6}{x}$的图象位于第一、三象限,$y = \frac{12}{x}$的图象位于第一、三象限,函数图象不与坐标轴相交。
②在每一个象限内,随着$x$的增大,$y$减小。
对于$y = \frac{6}{x}$,$k = 6>0$,在第一象限$x>0$,$y=\frac{6}{x}$,$x$增大时,分母增大,分数值减小;在第三象限$x<0$,$y=\frac{6}{x}$,$x$增大(绝对值变小),分母绝对值变小,分数值(负数)增大(绝对值变小),即$y$也减小。同理可分析$y = \frac{12}{x}$。
③能,对于反比例函数$y = \frac{k}{x}(k>0)$,图象位于第一、三象限,在每一个象限内,随着$x$的增大,$y$减小。
(2) 双曲线;一、三;减小。
2. 回顾上面我们利用函数图象从特殊到一般研究反比例函数 $ y = \frac{k}{x}(k > 0) $ 的性质的过程,你能用类似的方法研究反比例函数 $ y = \frac{k}{x}(k < 0) $ 的图象和性质吗?
一般地,反比例函数 $ y = \frac{k}{x}(k < 0) $ 的图象是双曲线,分别位于第二、四象限,并且在每个象限内,$ y $ 随 $ x $ 的增大而增大.
一般地,反比例函数 $ y = \frac{k}{x}(k < 0) $ 的图象是双曲线,分别位于第二、四象限,并且在每个象限内,$ y $ 随 $ x $ 的增大而增大.
答案:
1. 取特殊值 $ k = -6 $,研究反比例函数 $ y = \frac{-6}{x} $。
2. 列表:
| $ x $ | ... | -6 | -3 | -2 | -1 | 1 | 2 | 3 | 6 | ... |
|:------:|-----|----|----|----|----|---|---|---|---|-----|
| $ y $ | ... | 1 | 2 | 3 | 6 | -6| -3| -2| -1| ... |
3. 描点:在平面直角坐标系中描出表中各点 $(-6,1),(-3,2),(-2,3),(-1,6),(1,-6),(2,-3),(3,-2),(6,-1)$ 等。
4. 连线:用平滑曲线顺次连接各点,得到两条曲线,分别位于第二、四象限。
5. 观察性质:
图象位置:双曲线分别位于第二、四象限;
增减性:在第二象限内,$ x $ 从 -6 增大到 -1 时,$ y $ 从 1 增大到 6;在第四象限内,$ x $ 从 1 增大到 6 时,$ y $ 从 -6 增大到 -1,即每个象限内,$ y $ 随 $ x $ 的增大而增大。
6. 一般结论:反比例函数 $ y = \frac{k}{x}(k < 0) $ 的图象是双曲线,分别位于第二、四象限,并且在每个象限内,$ y $ 随 $ x $ 的增大而增大。
2. 列表:
| $ x $ | ... | -6 | -3 | -2 | -1 | 1 | 2 | 3 | 6 | ... |
|:------:|-----|----|----|----|----|---|---|---|---|-----|
| $ y $ | ... | 1 | 2 | 3 | 6 | -6| -3| -2| -1| ... |
3. 描点:在平面直角坐标系中描出表中各点 $(-6,1),(-3,2),(-2,3),(-1,6),(1,-6),(2,-3),(3,-2),(6,-1)$ 等。
4. 连线:用平滑曲线顺次连接各点,得到两条曲线,分别位于第二、四象限。
5. 观察性质:
图象位置:双曲线分别位于第二、四象限;
增减性:在第二象限内,$ x $ 从 -6 增大到 -1 时,$ y $ 从 1 增大到 6;在第四象限内,$ x $ 从 1 增大到 6 时,$ y $ 从 -6 增大到 -1,即每个象限内,$ y $ 随 $ x $ 的增大而增大。
6. 一般结论:反比例函数 $ y = \frac{k}{x}(k < 0) $ 的图象是双曲线,分别位于第二、四象限,并且在每个象限内,$ y $ 随 $ x $ 的增大而增大。
3. 反比例函数的图象与性质如下:

(1)当图象的两个分支无限延伸时,它们可能与坐标轴相交吗? 说明理由.
(2)双曲线是对称图形吗? 若是,说明是什么对称图形;若不是,说明理由.
(1)当图象的两个分支无限延伸时,它们可能与坐标轴相交吗? 说明理由.
(2)双曲线是对称图形吗? 若是,说明是什么对称图形;若不是,说明理由.
答案:
(1) 不可能相交。理由:对于反比例函数$y = \frac{k}{x}(k \neq 0)$,当$x = 0$时,函数无意义,所以图象与$y$轴不相交;当$y = 0$时,$\frac{k}{x}=0$,方程无解,所以图象与$x$轴不相交。
(2) 是对称图形。既是中心对称图形,对称中心是原点;也是轴对称图形,对称轴是直线$y = x$和直线$y=-x$。
(1) 不可能相交。理由:对于反比例函数$y = \frac{k}{x}(k \neq 0)$,当$x = 0$时,函数无意义,所以图象与$y$轴不相交;当$y = 0$时,$\frac{k}{x}=0$,方程无解,所以图象与$x$轴不相交。
(2) 是对称图形。既是中心对称图形,对称中心是原点;也是轴对称图形,对称轴是直线$y = x$和直线$y=-x$。
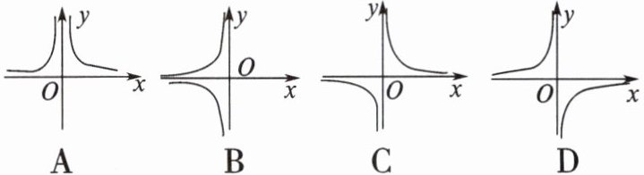
1. 反比例函数 $ y = \frac{3}{x} $ 的图象大致是(

C
).
答案:
1.C
查看更多完整答案,请扫码查看