第67页
- 第1页
- 第2页
- 第3页
- 第4页
- 第5页
- 第6页
- 第7页
- 第8页
- 第9页
- 第10页
- 第11页
- 第12页
- 第13页
- 第14页
- 第15页
- 第16页
- 第17页
- 第18页
- 第19页
- 第20页
- 第21页
- 第22页
- 第23页
- 第24页
- 第25页
- 第26页
- 第27页
- 第28页
- 第29页
- 第30页
- 第31页
- 第32页
- 第33页
- 第34页
- 第35页
- 第36页
- 第37页
- 第38页
- 第39页
- 第40页
- 第41页
- 第42页
- 第43页
- 第44页
- 第45页
- 第46页
- 第47页
- 第48页
- 第49页
- 第50页
- 第51页
- 第52页
- 第53页
- 第54页
- 第55页
- 第56页
- 第57页
- 第58页
- 第59页
- 第60页
- 第61页
- 第62页
- 第63页
- 第64页
- 第65页
- 第66页
- 第67页
- 第68页
- 第69页
- 第70页
- 第71页
- 第72页
- 第73页
- 第74页
- 第75页
- 第76页
- 第77页
- 第78页
- 第79页
- 第80页
- 第81页
- 第82页
- 第83页
- 第84页
- 第85页
- 第86页
- 第87页
- 第88页
- 第89页
- 第90页
- 第91页
- 第92页
- 第93页
- 第94页
- 第95页
- 第96页
- 第97页
- 第98页
- 第99页
- 第100页
- 第101页
- 第102页
- 第103页
- 第104页
- 第105页
- 第106页
- 第107页
- 第108页
- 第109页
- 第110页
- 第111页
- 第112页
- 第113页
- 第114页
- 第115页
- 第116页
- 第117页
- 第118页
- 第119页
- 第120页
- 第121页
- 第122页
- 第123页
- 第124页
- 第125页
- 第126页
- 第127页
- 第128页
- 第129页
- 第130页
- 第131页
- 第132页
- 第133页
- 第134页
- 第135页
- 第136页
- 第137页
- 第138页
- 第139页
- 第140页
- 第141页
- 第142页
- 第143页
- 第144页
- 第145页
- 第146页
- 第147页
- 第148页
- 第149页
- 第150页
- 第151页
- 第152页
- 第153页
- 第154页
- 第155页
- 第156页
- 第157页
- 第158页
- 第159页
- 第160页
- 第161页
- 第162页
- 第163页
- 第164页
- 第165页
- 第166页
- 第167页
- 第168页
- 第169页
- 第170页
- 第171页
- 第172页
- 第173页
- 第174页
- 第175页
- 第176页
- 第177页
- 第178页
- 第179页
- 第180页
- 第181页
- 第182页
- 第183页
- 第184页
- 第185页
- 第186页
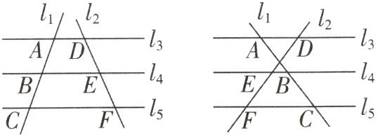
**知识点1** 平行线分线段成比例的基本事实
两条直线被一组平行线所截,所得的对应线段①
常考模型:如图,$ l _ { 3 } // l _ { 4 } // l _ { 5 } $,可得$ \frac { A B } { B C } = \frac { D E } { E F } $或$ \frac { A B } { A C } = \frac { D E } { D F } $或$ \frac { B C } { A B } = \frac { E F } { D E } $或$ \frac { B C } { A C } = \frac { E F } { D F } $或$ \frac { A B } { D E } = \frac { B C } { E F } $等.

两条直线被一组平行线所截,所得的对应线段①
成比例
.常考模型:如图,$ l _ { 3 } // l _ { 4 } // l _ { 5 } $,可得$ \frac { A B } { B C } = \frac { D E } { E F } $或$ \frac { A B } { A C } = \frac { D E } { D F } $或$ \frac { B C } { A B } = \frac { E F } { D E } $或$ \frac { B C } { A C } = \frac { E F } { D F } $或$ \frac { A B } { D E } = \frac { B C } { E F } $等.
答案:
①成比例
【例1】(2024秋·深圳期中)
如图,已知$ l _ { 1 } // l _ { 2 } // l _ { 3 } $,若$ A B = 1 $,$ B C = 2 $,$ D E = 1.5 $,求$ E F $的长.

解:∵$l_{1}// l_{2}// l_{3}$,∴$\frac{AB}{BC}=\frac{DE}{EF}$。∵$AB = 1$,$BC = 2$,$DE = 1.5$,∴$\frac{1}{2}=\frac{1.5}{EF}$,∴$EF = $
如图,已知$ l _ { 1 } // l _ { 2 } // l _ { 3 } $,若$ A B = 1 $,$ B C = 2 $,$ D E = 1.5 $,求$ E F $的长.
解:∵$l_{1}// l_{2}// l_{3}$,∴$\frac{AB}{BC}=\frac{DE}{EF}$。∵$AB = 1$,$BC = 2$,$DE = 1.5$,∴$\frac{1}{2}=\frac{1.5}{EF}$,∴$EF = $
3
。
答案:
解:
∵$l_{1}// l_{2}// l_{3}$,
∴$\frac{AB}{BC}=\frac{DE}{EF}$。
∵$AB = 1$,$BC = 2$,$DE = 1.5$,
∴$\frac{1}{2}=\frac{1.5}{EF}$,
∴$EF = 3$。
∵$l_{1}// l_{2}// l_{3}$,
∴$\frac{AB}{BC}=\frac{DE}{EF}$。
∵$AB = 1$,$BC = 2$,$DE = 1.5$,
∴$\frac{1}{2}=\frac{1.5}{EF}$,
∴$EF = 3$。
**对点训练1**(2024秋·龙岗区校级月考)如图,已知$ l _ { 1 } // l _ { 2 } // l _ { 3 } $,如果$ A B : B C = 2 : 3 $,那么$ \frac { D E } { D F } $等于(
A. $ \frac { 2 } { 3 } $
B. $ \frac { 2 } { 5 } $
C. $ \frac { 3 } { 2 } $
D. $ \frac { 5 } { 2 } $

B
).A. $ \frac { 2 } { 3 } $
B. $ \frac { 2 } { 5 } $
C. $ \frac { 3 } { 2 } $
D. $ \frac { 5 } { 2 } $
答案:
B
**知识点2** 平行线分线段成比例的基本事实特殊化推论
平行于三角形一边的直线与其他两边相交,截得的对应线段②
推论拓展:把平行线分线段成比例的定理运用到三角形中,会出现下面两种情况:
把$ l _ { 4 } $(图1)或$ l _ { 3 } $(图2)看作平行于$ \triangle A B C $底边$ B C $的直线,再根据平行线分线段成比例的定理,我们可以得出,平行于三角形一边的直线和其他两边相交(或其他两边的延长线相交),所构成的三角形和原三角形对应线段成比例.
平行于三角形一边的直线与其他两边相交,截得的对应线段②
成比例
. 推论拓展:把平行线分线段成比例的定理运用到三角形中,会出现下面两种情况:
把$ l _ { 4 } $(图1)或$ l _ { 3 } $(图2)看作平行于$ \triangle A B C $底边$ B C $的直线,再根据平行线分线段成比例的定理,我们可以得出,平行于三角形一边的直线和其他两边相交(或其他两边的延长线相交),所构成的三角形和原三角形对应线段成比例.
答案:
②成比例
**对点训练2**(2024·南山区校级一模)如图,$ D E // B C $,且$ E C : B D = 2 : 3 $,$ A D = 6 $,则$ A E $的长为(
A. $ 1 $
B. $ 2 $
C. $ 3 $
D. $ 4 $
D
).A. $ 1 $
B. $ 2 $
C. $ 3 $
D. $ 4 $
答案:
对点训练2 D
查看更多完整答案,请扫码查看