第29页
- 第1页
- 第2页
- 第3页
- 第4页
- 第5页
- 第6页
- 第7页
- 第8页
- 第9页
- 第10页
- 第11页
- 第12页
- 第13页
- 第14页
- 第15页
- 第16页
- 第17页
- 第18页
- 第19页
- 第20页
- 第21页
- 第22页
- 第23页
- 第24页
- 第25页
- 第26页
- 第27页
- 第28页
- 第29页
- 第30页
- 第31页
- 第32页
- 第33页
- 第34页
- 第35页
- 第36页
- 第37页
- 第38页
- 第39页
- 第40页
- 第41页
- 第42页
- 第43页
- 第44页
- 第45页
- 第46页
- 第47页
- 第48页
- 第49页
- 第50页
- 第51页
- 第52页
- 第53页
- 第54页
- 第55页
- 第56页
- 第57页
- 第58页
- 第59页
- 第60页
- 第61页
- 第62页
- 第63页
- 第64页
- 第65页
- 第66页
- 第67页
- 第68页
- 第69页
- 第70页
- 第71页
- 第72页
- 第73页
- 第74页
- 第75页
- 第76页
- 第77页
- 第78页
- 第79页
- 第80页
- 第81页
- 第82页
- 第83页
- 第84页
- 第85页
- 第86页
- 第87页
- 第88页
- 第89页
- 第90页
- 第91页
- 第92页
- 第93页
- 第94页
- 第95页
- 第96页
- 第97页
- 第98页
- 第99页
- 第100页
- 第101页
- 第102页
- 第103页
- 第104页
- 第105页
- 第106页
- 第107页
- 第108页
- 第109页
- 第110页
- 第111页
- 第112页
- 第113页
- 第114页
- 第115页
- 第116页
- 第117页
- 第118页
- 第119页
- 第120页
- 第121页
- 第122页
- 第123页
- 第124页
- 第125页
- 第126页
- 第127页
- 第128页
- 第129页
- 第130页
- 第131页
- 第132页
- 第133页
- 第134页
- 第135页
- 第136页
- 第137页
- 第138页
- 第139页
- 第140页
- 第141页
- 第142页
- 第143页
- 第144页
- 第145页
- 第146页
- 第147页
- 第148页
- 第149页
- 第150页
- 第151页
- 第152页
- 第153页
- 第154页
- 第155页
- 第156页
- 第157页
- 第158页
- 第159页
- 第160页
- 第161页
- 第162页
- 第163页
- 第164页
- 第165页
- 第166页
- 第167页
- 第168页
- 第169页
- 第170页
- 第171页
- 第172页
- 第173页
- 第174页
- 第175页
- 第176页
- 第177页
- 第178页
- 第179页
- 第180页
- 第181页
- 第182页
- 第183页
- 第184页
- 第185页
- 第186页
- 第187页
- 第188页
- 第189页
- 第190页
- 第191页
- 第192页
- 第193页
- 第194页
- 第195页
- 第196页
- 第197页
- 第198页
- 第199页
- 第200页
- 第201页
- 第202页
24. (10 分)已知 $\odot O$ 的两条弦 $AB$、$CD$ 相交于点 $M$,且 $A B = C D$.
(1)如图①,连接 $AD$.求证:$A M = D M$.
(2)如图②,若 $A B \perp C D$,在 $\overgroup { B D }$ 上取一点 $E$,使 $\overgroup { B E } = \overgroup { B C }$,$A E$ 交 $C D$ 于点 $F$,连接 $AD$、$DE$.
①判断 $\angle E$ 与 $\angle D F E$ 是否相等,并说明理由;
②若 $D E = 7$,$A M + M F = 17$,求 $\triangle A D F$ 的面积.

(1)如图①,连接 $AD$.求证:$A M = D M$.
(2)如图②,若 $A B \perp C D$,在 $\overgroup { B D }$ 上取一点 $E$,使 $\overgroup { B E } = \overgroup { B C }$,$A E$ 交 $C D$ 于点 $F$,连接 $AD$、$DE$.
①判断 $\angle E$ 与 $\angle D F E$ 是否相等,并说明理由;
②若 $D E = 7$,$A M + M F = 17$,求 $\triangle A D F$ 的面积.
答案:
(1)$\because AB = CD,\therefore \widehat{AB} = \widehat{CD}$,即$\widehat{AC} + \widehat{BC} = \widehat{BC} + \widehat{BD},\therefore \widehat{AC} = \widehat{BD},\therefore ∠A = ∠D,\therefore AM = DM.$
(2)①$∠E$与$∠DFE$相等.理由如下:连接 AC,$\because \widehat{BE} = \widehat{BC},\therefore ∠CAB = ∠EAB.\because AB⊥CD,\therefore \widehat{AC} = \widehat{AF},\therefore ∠ACF = ∠AFC.\because ∠ACF = ∠E,∠AFC = ∠DFE,\therefore ∠E = ∠DFE.$②$\because ∠DFE = ∠E,\therefore DF = DE = 7.\because AM = DM,\therefore AM = MF + 7.\because AM + MF = 17,\therefore MF + 7 + MF = 17$,解得$MF = 5,\therefore AM = 12,\therefore S_{△ADF} = \frac{1}{2}×7×12 = 42.$
(1)$\because AB = CD,\therefore \widehat{AB} = \widehat{CD}$,即$\widehat{AC} + \widehat{BC} = \widehat{BC} + \widehat{BD},\therefore \widehat{AC} = \widehat{BD},\therefore ∠A = ∠D,\therefore AM = DM.$
(2)①$∠E$与$∠DFE$相等.理由如下:连接 AC,$\because \widehat{BE} = \widehat{BC},\therefore ∠CAB = ∠EAB.\because AB⊥CD,\therefore \widehat{AC} = \widehat{AF},\therefore ∠ACF = ∠AFC.\because ∠ACF = ∠E,∠AFC = ∠DFE,\therefore ∠E = ∠DFE.$②$\because ∠DFE = ∠E,\therefore DF = DE = 7.\because AM = DM,\therefore AM = MF + 7.\because AM + MF = 17,\therefore MF + 7 + MF = 17$,解得$MF = 5,\therefore AM = 12,\therefore S_{△ADF} = \frac{1}{2}×7×12 = 42.$
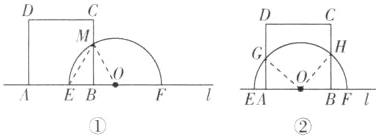
25. (10 分)(泰州中考)如图①,矩形 $A B C D$ 与以 $E F$ 为直径的半圆 $O$ 在直线 $l$ 的上方,线段 $AB$ 与点 $E$、$F$ 都在直线 $l$ 上,且 $A B = 7$,$E F = 10$,$B C > 5$.点 $B$ 以 $1$ 个单位/秒的速度从点 $E$ 处出发,沿射线 $E F$ 方向运动,矩形 $A B C D$ 随之运动,运动时间为 $t$ 秒.
(1)如图②,当 $t = 2.5$ 时,求半圆 $O$ 在矩形 $A B C D$ 内的弧的长度;
(2)在点 $B$ 运动的过程中,当 $AD$、$BC$ 都与半圆 $O$ 相交时,设这两个交点为 $G$、$H$.连接 $OG$、$OH$,若 $\angle G O H$ 为直角,求此时 $t$ 的值.

(1)如图②,当 $t = 2.5$ 时,求半圆 $O$ 在矩形 $A B C D$ 内的弧的长度;
(2)在点 $B$ 运动的过程中,当 $AD$、$BC$ 都与半圆 $O$ 相交时,设这两个交点为 $G$、$H$.连接 $OG$、$OH$,若 $\angle G O H$ 为直角,求此时 $t$ 的值.
答案:
(1)设 BC 与$\odot O$交于点 M,如图①,当t = 2.5时$,BE = 2.5.\because EF = 10,\therefore OE = \frac{1}{2}EF = 5,\therefore OB = 2.5,\therefore EB = OB.$在矩形 ABCD 中$,∠ABC = 90^{\circ },$易证$△MEB\cong △MOB,\therefore ME = MO.$又$\because MO = EO,\therefore ME = EO = MO,$
∴△MOE是等边三角形$,\therefore ∠EOM = 60^{\circ },\therefore l\widehat{ME} = \frac{60π×5}{180} = \frac{5π}{3},$即半圆 O 在矩形 ABCD 内的弧的长度为$\frac{5π}{3}.$
(2)连接OG,OH
∵∠GOH=90°,
∴∠AOG+∠BOH=90°
∵∠AGO+∠AOG=90°,
∴∠AGO=∠BOH
∴△AGO≌△BOH(AAS)
∴OB=AG=t-5
∵AB=7,
∴AE=t-7
∴AO=12-t
$∵AG^{2}+AO^{2}=OG^{2}$
解得t=8或9
(1)设 BC 与$\odot O$交于点 M,如图①,当t = 2.5时$,BE = 2.5.\because EF = 10,\therefore OE = \frac{1}{2}EF = 5,\therefore OB = 2.5,\therefore EB = OB.$在矩形 ABCD 中$,∠ABC = 90^{\circ },$易证$△MEB\cong △MOB,\therefore ME = MO.$又$\because MO = EO,\therefore ME = EO = MO,$
∴△MOE是等边三角形$,\therefore ∠EOM = 60^{\circ },\therefore l\widehat{ME} = \frac{60π×5}{180} = \frac{5π}{3},$即半圆 O 在矩形 ABCD 内的弧的长度为$\frac{5π}{3}.$
(2)连接OG,OH
∵∠GOH=90°,
∴∠AOG+∠BOH=90°
∵∠AGO+∠AOG=90°,
∴∠AGO=∠BOH
∴△AGO≌△BOH(AAS)
∴OB=AG=t-5
∵AB=7,
∴AE=t-7
∴AO=12-t
$∵AG^{2}+AO^{2}=OG^{2}$
解得t=8或9
查看更多完整答案,请扫码查看