第168页
- 第1页
- 第2页
- 第3页
- 第4页
- 第5页
- 第6页
- 第7页
- 第8页
- 第9页
- 第10页
- 第11页
- 第12页
- 第13页
- 第14页
- 第15页
- 第16页
- 第17页
- 第18页
- 第19页
- 第20页
- 第21页
- 第22页
- 第23页
- 第24页
- 第25页
- 第26页
- 第27页
- 第28页
- 第29页
- 第30页
- 第31页
- 第32页
- 第33页
- 第34页
- 第35页
- 第36页
- 第37页
- 第38页
- 第39页
- 第40页
- 第41页
- 第42页
- 第43页
- 第44页
- 第45页
- 第46页
- 第47页
- 第48页
- 第49页
- 第50页
- 第51页
- 第52页
- 第53页
- 第54页
- 第55页
- 第56页
- 第57页
- 第58页
- 第59页
- 第60页
- 第61页
- 第62页
- 第63页
- 第64页
- 第65页
- 第66页
- 第67页
- 第68页
- 第69页
- 第70页
- 第71页
- 第72页
- 第73页
- 第74页
- 第75页
- 第76页
- 第77页
- 第78页
- 第79页
- 第80页
- 第81页
- 第82页
- 第83页
- 第84页
- 第85页
- 第86页
- 第87页
- 第88页
- 第89页
- 第90页
- 第91页
- 第92页
- 第93页
- 第94页
- 第95页
- 第96页
- 第97页
- 第98页
- 第99页
- 第100页
- 第101页
- 第102页
- 第103页
- 第104页
- 第105页
- 第106页
- 第107页
- 第108页
- 第109页
- 第110页
- 第111页
- 第112页
- 第113页
- 第114页
- 第115页
- 第116页
- 第117页
- 第118页
- 第119页
- 第120页
- 第121页
- 第122页
- 第123页
- 第124页
- 第125页
- 第126页
- 第127页
- 第128页
- 第129页
- 第130页
- 第131页
- 第132页
- 第133页
- 第134页
- 第135页
- 第136页
- 第137页
- 第138页
- 第139页
- 第140页
- 第141页
- 第142页
- 第143页
- 第144页
- 第145页
- 第146页
- 第147页
- 第148页
- 第149页
- 第150页
- 第151页
- 第152页
- 第153页
- 第154页
- 第155页
- 第156页
- 第157页
- 第158页
- 第159页
- 第160页
- 第161页
- 第162页
- 第163页
- 第164页
- 第165页
- 第166页
- 第167页
- 第168页
- 第169页
- 第170页
- 第171页
- 第172页
- 第173页
- 第174页
- 第175页
- 第176页
- 第177页
- 第178页
- 第179页
- 第180页
- 第181页
- 第182页
利用十字相乘法, 将下列各式分解因式:
(1) $x^{2}+6x+5$;
(2) $x^{2}-7x+6$;
(3) $x^{2}+4x-12$;
(4) $x^{2}-7x-18$.
(1) $x^{2}+6x+5$;
(2) $x^{2}-7x+6$;
(3) $x^{2}+4x-12$;
(4) $x^{2}-7x-18$.
答案:
(1)

$ \therefore x^{2}+6x+5=(x+1)(x+5) $;
(2)

$ \therefore x^{2}-7x+6=(x-1)(x-6) $;
(3)

$ \therefore x^{2}+4x-12=(x+6)(x-2) $;
(4)

$ \therefore x^{2}-7x-18=(x-9)(x+2) $.
(1)
$ \therefore x^{2}+6x+5=(x+1)(x+5) $;
(2)
$ \therefore x^{2}-7x+6=(x-1)(x-6) $;
(3)
$ \therefore x^{2}+4x-12=(x+6)(x-2) $;
(4)
$ \therefore x^{2}-7x-18=(x-9)(x+2) $.
1. 若多项式 $x^{2}+ax+b$ 分解因式的结果为 $(x+1)(x-2)$, 则 $a+b$ 的值为 (
A. $-3$
B. $3$
C. $-1$
D. $1$
A
)A. $-3$
B. $3$
C. $-1$
D. $1$
答案:
A
2. 代数式 $x^{2}+17x+60$ 分解因式的结果是 (
A. $(x-5)(2x-12)$
B. $(x+5)(x+12)$
C. $(x+2)(x-30)$
D. $(x+6)(x+10)$
B
)A. $(x-5)(2x-12)$
B. $(x+5)(x+12)$
C. $(x+2)(x-30)$
D. $(x+6)(x+10)$
答案:
B
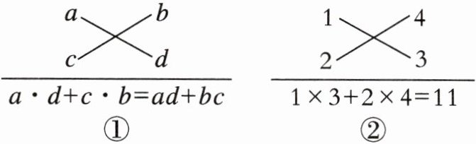
例2 利用整式的乘法运算法则推导得出 $(ax+b)(cx+d)=acx^{2}+(ad+bc)x+bd$. 我们知道因式分解是与整式乘法方向相反的变形, 利用这种关系可得 $acx^{2}+(ad+bc)x+bd=(ax+b)(cx+d)$. 通过观察可把 $acx^{2}+(ad+bc)x+bd$ 看作以 $x$ 为未知数, $a, b, c, d$ 为常数的二次三项式, 此种因式分解是把二次三项式的二次项的系数 $ac$ 与常数项 $bd$ 分别进行适当的分解来凑一次项的系数, 分解过程可形象地表述为“竖乘得首、尾, 叉乘凑中项”. 如图①, 这种分解的方法称为十字相乘法. 例如, 将二次三项式 $2x^{2}+11x+12$ 的二项式系数 2 与常数项 12 分别进行适当的分解, 如图②, 则 $2x^{2}+11x+12=(x+4)(2x+3)$.

根据阅读材料, 分解下列因式:
(1) $6x^{2}-7x-3$=
(2) $3x^{2}-11x+10$=
根据阅读材料, 分解下列因式:
(1) $6x^{2}-7x-3$=
(3x+1)(2x-3)
;(2) $3x^{2}-11x+10$=
(x-2)(3x-5)
.
答案:
(1) $ (3x+1)(2x-3) $;
(2) $ (x-2)(3x-5) $.
(1) $ (3x+1)(2x-3) $;
(2) $ (x-2)(3x-5) $.
查看更多完整答案,请扫码查看