第154页
- 第1页
- 第2页
- 第3页
- 第4页
- 第5页
- 第6页
- 第7页
- 第8页
- 第9页
- 第10页
- 第11页
- 第12页
- 第13页
- 第14页
- 第15页
- 第16页
- 第17页
- 第18页
- 第19页
- 第20页
- 第21页
- 第22页
- 第23页
- 第24页
- 第25页
- 第26页
- 第27页
- 第28页
- 第29页
- 第30页
- 第31页
- 第32页
- 第33页
- 第34页
- 第35页
- 第36页
- 第37页
- 第38页
- 第39页
- 第40页
- 第41页
- 第42页
- 第43页
- 第44页
- 第45页
- 第46页
- 第47页
- 第48页
- 第49页
- 第50页
- 第51页
- 第52页
- 第53页
- 第54页
- 第55页
- 第56页
- 第57页
- 第58页
- 第59页
- 第60页
- 第61页
- 第62页
- 第63页
- 第64页
- 第65页
- 第66页
- 第67页
- 第68页
- 第69页
- 第70页
- 第71页
- 第72页
- 第73页
- 第74页
- 第75页
- 第76页
- 第77页
- 第78页
- 第79页
- 第80页
- 第81页
- 第82页
- 第83页
- 第84页
- 第85页
- 第86页
- 第87页
- 第88页
- 第89页
- 第90页
- 第91页
- 第92页
- 第93页
- 第94页
- 第95页
- 第96页
- 第97页
- 第98页
- 第99页
- 第100页
- 第101页
- 第102页
- 第103页
- 第104页
- 第105页
- 第106页
- 第107页
- 第108页
- 第109页
- 第110页
- 第111页
- 第112页
- 第113页
- 第114页
- 第115页
- 第116页
- 第117页
- 第118页
- 第119页
- 第120页
- 第121页
- 第122页
- 第123页
- 第124页
- 第125页
- 第126页
- 第127页
- 第128页
- 第129页
- 第130页
- 第131页
- 第132页
- 第133页
- 第134页
- 第135页
- 第136页
- 第137页
- 第138页
- 第139页
- 第140页
- 第141页
- 第142页
- 第143页
- 第144页
- 第145页
- 第146页
- 第147页
- 第148页
- 第149页
- 第150页
- 第151页
- 第152页
- 第153页
- 第154页
- 第155页
- 第156页
- 第157页
- 第158页
- 第159页
- 第160页
- 第161页
- 第162页
- 第163页
- 第164页
- 第165页
- 第166页
- 第167页
- 第168页
- 第169页
- 第170页
- 第171页
- 第172页
- 第173页
- 第174页
- 第175页
- 第176页
- 第177页
- 第178页
23. (7 分)如图,$AC// EF$,$∠1 + ∠2 = 180^{\circ}$.
(1) 求证:$∠FAB = ∠BDC$.请将下面的证明过程补充完整;
证明:因为$AC// EF$(已知),
所以$∠1 + ∠FAC = 180^{\circ}$(
又$∠1 + ∠2 = 180^{\circ}$(已知),
所以
所以$FA// CD$(
所以$∠FAB = ∠BDC$(
(2) 若$AC平分∠FAD$,$EF\perp BE于点E$,$∠FAD = 70^{\circ}$,求$∠BCD$的度数.

(1) 求证:$∠FAB = ∠BDC$.请将下面的证明过程补充完整;
证明:因为$AC// EF$(已知),
所以$∠1 + ∠FAC = 180^{\circ}$(
两直线平行,同旁内角互补
).又$∠1 + ∠2 = 180^{\circ}$(已知),
所以
$∠FAC=∠2$
(同角的补角相等).所以$FA// CD$(
内错角相等,两直线平行
).所以$∠FAB = ∠BDC$(
两直线平行,同位角相等
).(2) 若$AC平分∠FAD$,$EF\perp BE于点E$,$∠FAD = 70^{\circ}$,求$∠BCD$的度数.
(2)因为AC平分∠FAD,∠FAD=70°,所以∠FAC=$\frac{1}{2}$∠FAD=35°. 由(1),得∠FAC=∠2,则∠2=35°. 因为EF⊥BE,AC//EF,所以AC⊥BE,即∠ACB=90°. 所以∠BCD=∠ACB−∠2=55°.
答案:
(1)两直线平行,同旁内角互补 ∠FAC=∠2 内错角相等,两直线平行 两直线平行,同位角相等
(2)因为AC平分∠FAD,∠FAD=70°,所以∠FAC=$\frac{1}{2}$∠FAD=35°. 由
(1),得∠FAC=∠2,则∠2=35°. 因为EF⊥BE,AC//EF,所以AC⊥BE,即∠ACB=90°. 所以∠BCD=∠ACB−∠2=55°.
(1)两直线平行,同旁内角互补 ∠FAC=∠2 内错角相等,两直线平行 两直线平行,同位角相等
(2)因为AC平分∠FAD,∠FAD=70°,所以∠FAC=$\frac{1}{2}$∠FAD=35°. 由
(1),得∠FAC=∠2,则∠2=35°. 因为EF⊥BE,AC//EF,所以AC⊥BE,即∠ACB=90°. 所以∠BCD=∠ACB−∠2=55°.
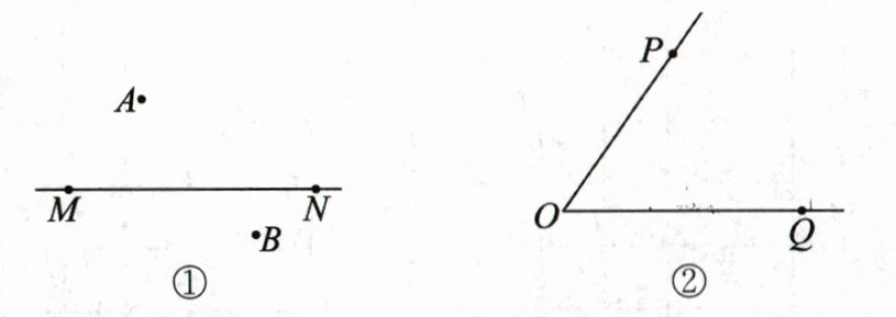
24. (9 分)作图和说理
(1) 如图①,在公路$MN的两侧各有一所学校A$,$B$,一辆拖拉机沿着$MN$(从点$M到点N$)方向行驶.
① 请在公路$MN上作一点C$,使得拖拉机行驶到该点时在学校$A$听到的拖拉机噪声最大;在公路$MN上作一点D$,使得拖拉机行驶到该点时在学校$B$听到的拖拉机噪声最大.你的依据是______,
② 在公路$MN$上的______段,随着拖拉机的行驶,在学校$A$听到的拖拉机噪声越来越小,而在学校$B$听到的拖拉机噪声越来越大;
(2) 如图②,有一$∠POQ$.
① 利用无刻度的直尺和圆规,在射线$OQ的下方作∠OQR$,使得$∠OQR = ∠POQ$(不写作法,保留作图痕迹);
② $OP与QR$之间的位置关系是______,理由:______.
]

(1) 如图①,在公路$MN的两侧各有一所学校A$,$B$,一辆拖拉机沿着$MN$(从点$M到点N$)方向行驶.
① 请在公路$MN上作一点C$,使得拖拉机行驶到该点时在学校$A$听到的拖拉机噪声最大;在公路$MN上作一点D$,使得拖拉机行驶到该点时在学校$B$听到的拖拉机噪声最大.你的依据是______,
② 在公路$MN$上的______段,随着拖拉机的行驶,在学校$A$听到的拖拉机噪声越来越小,而在学校$B$听到的拖拉机噪声越来越大;
(2) 如图②,有一$∠POQ$.
① 利用无刻度的直尺和圆规,在射线$OQ的下方作∠OQR$,使得$∠OQR = ∠POQ$(不写作法,保留作图痕迹);
② $OP与QR$之间的位置关系是______,理由:______.
]
答案:
(1)① 如图①,C,D两点即为所作. 垂线段最短
② CD
(2)① 如图②,∠OQR即为所作.
② OP//QR 内错角相等,两直线平行
(1)① 如图①,C,D两点即为所作. 垂线段最短
(2)① 如图②,∠OQR即为所作.
查看更多完整答案,请扫码查看