第89页
- 第1页
- 第2页
- 第3页
- 第4页
- 第5页
- 第6页
- 第7页
- 第8页
- 第9页
- 第10页
- 第11页
- 第12页
- 第13页
- 第14页
- 第15页
- 第16页
- 第17页
- 第18页
- 第19页
- 第20页
- 第21页
- 第22页
- 第23页
- 第24页
- 第25页
- 第26页
- 第27页
- 第28页
- 第29页
- 第30页
- 第31页
- 第32页
- 第33页
- 第34页
- 第35页
- 第36页
- 第37页
- 第38页
- 第39页
- 第40页
- 第41页
- 第42页
- 第43页
- 第44页
- 第45页
- 第46页
- 第47页
- 第48页
- 第49页
- 第50页
- 第51页
- 第52页
- 第53页
- 第54页
- 第55页
- 第56页
- 第57页
- 第58页
- 第59页
- 第60页
- 第61页
- 第62页
- 第63页
- 第64页
- 第65页
- 第66页
- 第67页
- 第68页
- 第69页
- 第70页
- 第71页
- 第72页
- 第73页
- 第74页
- 第75页
- 第76页
- 第77页
- 第78页
- 第79页
- 第80页
- 第81页
- 第82页
- 第83页
- 第84页
- 第85页
- 第86页
- 第87页
- 第88页
- 第89页
- 第90页
- 第91页
- 第92页
- 第93页
- 第94页
- 第95页
- 第96页
- 第97页
- 第98页
- 第99页
- 第100页
- 第101页
- 第102页
- 第103页
- 第104页
- 第105页
- 第106页
- 第107页
- 第108页
- 第109页
- 第110页
- 第111页
- 第112页
- 第113页
- 第114页
- 第115页
- 第116页
- 第117页
- 第118页
- 第119页
- 第120页
- 第121页
- 第122页
- 第123页
- 第124页
- 第125页
- 第126页
- 第127页
- 第128页
- 第129页
- 第130页
- 第131页
- 第132页
- 第133页
- 第134页
- 第135页
- 第136页
- 第137页
- 第138页
- 第139页
- 第140页
- 第141页
- 第142页
- 第143页
- 第144页
- 第145页
- 第146页
- 第147页
- 第148页
- 第149页
- 第150页
- 第151页
- 第152页
- 第153页
- 第154页
- 第155页
- 第156页
- 第157页
- 第158页
- 第159页
- 第160页
- 第161页
- 第162页
例4 如图,P是反比例函数$y=\frac{k}{x}(k>0)$图象上的任意一点,过点P作x轴的垂线,垂足为M,已知$△POM$的面积是2.
(1)求k的值;
(2)若直线$y=x$与反比例函数的图象在第一象限内交于点A,求过点A和点$B(0,-2)$的直线解析式.

(1)求k的值;
(2)若直线$y=x$与反比例函数的图象在第一象限内交于点A,求过点A和点$B(0,-2)$的直线解析式.
解:(1)$k=4$
(2)$y=2x-2$
(2)$y=2x-2$
答案:
解:
(1)$k=4$
(2)$y=2x-2$
(1)$k=4$
(2)$y=2x-2$
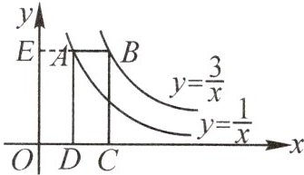
例5 如图,点A在双曲线$y=\frac{1}{x}$上,点B在双曲线$y=\frac{3}{x}$上,且$AB//x$轴,点C,D在x轴上.若四边形ABCD为矩形,求它的面积.

解:延长BA交y轴于E,
∵$AB//x$轴,
∴AE垂直于y轴,
∵点A在双曲线$y=\frac{1}{x}$上,
∴四边形AEOD的面积为1,

∵点B在双曲线$y=\frac{3}{x}$上,
且$AB//x$轴,
∴四边形BEOC的面积为3,
∴矩形ABCD的面积为$3-1=2$.
故答案为:2.
∵$AB//x$轴,
∴AE垂直于y轴,
∵点A在双曲线$y=\frac{1}{x}$上,
∴四边形AEOD的面积为1,
∵点B在双曲线$y=\frac{3}{x}$上,
且$AB//x$轴,
∴四边形BEOC的面积为3,
∴矩形ABCD的面积为$3-1=2$.
故答案为:2.
答案:
解:延长BA交y轴于E,
∵$AB//x$轴,
∴AE垂直于y轴,
∵点A在双曲线$y=\frac{1}{x}$上,
∴四边形AEOD的面积为1,

∵点B在双曲线$y=\frac{3}{x}$上,
且$AB//x$轴,
∴四边形BEOC的面积为3,
∴矩形ABCD的面积为$3-1=2$.
故答案为:2.
解:延长BA交y轴于E,
∵$AB//x$轴,
∴AE垂直于y轴,
∵点A在双曲线$y=\frac{1}{x}$上,
∴四边形AEOD的面积为1,
∵点B在双曲线$y=\frac{3}{x}$上,
且$AB//x$轴,
∴四边形BEOC的面积为3,
∴矩形ABCD的面积为$3-1=2$.
故答案为:2.
1. 若反比例函数$y=\frac{k}{x}$的图象与一次函数$y=3x+b$的图象都经过点$(1,4)$,则$kb=$
4
.
答案:
4
2. 反比例函数$y=-\frac{6}{x}$的图象一定经过点$(-2,$
3
$)$.
答案:
3
3. 若点$A(7,y_1)$,$B(5,y_2)$在双曲线$y=-\frac{3}{x}$上,则$y_1$,$y_2$中较小的是
$y_1>y_2$
.
答案:
$y_1>y_2$
4. 反比例函数$y=\frac{k}{x}(x<0)$的图象如图所示,若$△POQ$的面积是3,则k的值为

-6
.
答案:
-6
5. 双曲线$C_1:y=\frac{4}{x}(x>0)$和$C_2:y=\frac{2}{x}(x>0)$如图所示,设点P在$C_1$上,$PC⊥x$轴于点C,交于$C_2$于点A,$PD⊥y$轴于点D,交$C_2$于点B,则四边形PAOB的面积为

2
.
答案:
2
6. 如图,点A,B是双曲线$y=\frac{3}{x}$上的点,分别过A,B两点向x轴、y轴作垂线段.若$S_{阴影}=1$,则$S_1+S_2=$

4
.
答案:
4
视野拓展 已知点$(x_1,y_1)$,$(x_2,y_2)$都在反比例函数$y=\frac{1}{x}$的图象上,且$x_1>x_2$,请比较$y_1$与$y_2$的大小.
解:当$x_1>x_2>0$或$0>x_1>x_2$时,$y_1<y_2$
当$x_1>0>x_2$时,$y_1>y_2$
当$x_1>0>x_2$时,$y_1>y_2$
答案:
解:当$x_1>x_2>0$或$0>x_1>x_2$时,$y_1<y_2$
当$x_1>0>x_2$时,$y_1>y_2$
当$x_1>0>x_2$时,$y_1>y_2$
查看更多完整答案,请扫码查看