第144页
- 第2页
- 第3页
- 第4页
- 第5页
- 第6页
- 第7页
- 第8页
- 第9页
- 第10页
- 第11页
- 第12页
- 第13页
- 第14页
- 第15页
- 第16页
- 第17页
- 第18页
- 第19页
- 第20页
- 第21页
- 第22页
- 第23页
- 第24页
- 第25页
- 第26页
- 第27页
- 第28页
- 第29页
- 第30页
- 第31页
- 第32页
- 第33页
- 第34页
- 第35页
- 第36页
- 第37页
- 第38页
- 第39页
- 第40页
- 第41页
- 第42页
- 第43页
- 第44页
- 第45页
- 第46页
- 第47页
- 第48页
- 第49页
- 第50页
- 第51页
- 第52页
- 第53页
- 第54页
- 第55页
- 第56页
- 第57页
- 第58页
- 第59页
- 第60页
- 第61页
- 第62页
- 第63页
- 第64页
- 第65页
- 第66页
- 第67页
- 第68页
- 第69页
- 第70页
- 第71页
- 第72页
- 第73页
- 第74页
- 第75页
- 第76页
- 第77页
- 第78页
- 第79页
- 第80页
- 第81页
- 第82页
- 第83页
- 第84页
- 第85页
- 第86页
- 第87页
- 第88页
- 第89页
- 第90页
- 第91页
- 第92页
- 第93页
- 第94页
- 第95页
- 第96页
- 第97页
- 第98页
- 第99页
- 第100页
- 第101页
- 第102页
- 第103页
- 第104页
- 第105页
- 第106页
- 第107页
- 第108页
- 第109页
- 第110页
- 第111页
- 第112页
- 第113页
- 第114页
- 第115页
- 第116页
- 第117页
- 第118页
- 第119页
- 第120页
- 第121页
- 第122页
- 第123页
- 第124页
- 第125页
- 第126页
- 第127页
- 第128页
- 第129页
- 第130页
- 第131页
- 第132页
- 第133页
- 第134页
- 第135页
- 第136页
- 第137页
- 第138页
- 第139页
- 第140页
- 第141页
- 第142页
- 第143页
- 第144页
- 第145页
- 第146页
- 第147页
- 第148页
- 第149页
- 第150页
- 第151页
- 第152页
- 第153页
- 第154页
- 第155页
- 第156页
- 第157页
- 第158页
- 第159页
- 第160页
- 第161页
- 第162页
- 第163页
1. 对于二次函数 $ y = 2(x + 1)(x - 3) $,下列说法正确的是(
A.图象的开口向下
B.图象的对称轴是直线 $ x = -1 $
C.当 $ x > 1 $ 时,$ y $ 随 $ x $ 的增大而减小
D.当 $ x < 1 $ 时,$ y $ 随 $ x $ 的增大而减小
D
)A.图象的开口向下
B.图象的对称轴是直线 $ x = -1 $
C.当 $ x > 1 $ 时,$ y $ 随 $ x $ 的增大而减小
D.当 $ x < 1 $ 时,$ y $ 随 $ x $ 的增大而减小
答案:
D
2. 若二次函数 $ y = ax^2 + bx + c(a \neq 0) $ 的图象如图所示,则下列结论正确的是(

A.$ a > 0 $
B.$ c > 0 $
C.$ ac > 0 $
D.$ bc < 0 $
C
) A.$ a > 0 $
B.$ c > 0 $
C.$ ac > 0 $
D.$ bc < 0 $
答案:
C
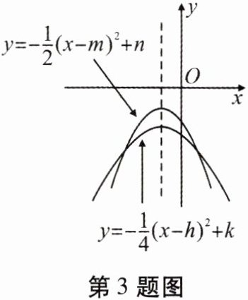
3. 如图,在平面直角坐标系中,有两条位置确定的抛物线,它们的对称轴相同,则下列关系不正确的是(

A.$ k = n $
B.$ h = m $
C.$ k < n $
D.$ h < 0 $,$ k < 0 $
C
)A.$ k = n $
B.$ h = m $
C.$ k < n $
D.$ h < 0 $,$ k < 0 $
答案:
C
4. 已知二次函数 $ y = ax^2 + bx + c $ 的图象如图所示,则 $ a $

<
$ 0 $;$ b $>
$ 0 $;$ c $=
$ 0 $;$ a - b + c $<
$ 0 $;$ a + b + c $>
$ 0 $;$ a + 2b + 4c $>
$ 0 $。(填“$ > $”“$ < $”或“$ = $”)
答案:
<;>;=;<;>;>
5. 如图是二次函数 $ y = ax^2 + bx + c $ 图象的一部分,则 $ abc $

>
$ 0 $。(填“$ > $”“$ < $”或“$ = $”)
答案:
$>$
6. 将抛物线 $ y = 2x^2 - 4x + 3 $ 绕坐标原点旋转 $ 180^\circ $ 后所得的新抛物线的函数表达式是
$y = -2x^2 - 4x - 3$
。
答案:
新抛物线的函数表达式是 $y = -2x^2 - 4x - 3$。
7. 已知二次函数 $ y = x^2 - (m - 1)x - m $。
(1) 若图象经过原点,求 $ m $ 的值;
(2) 若图象的对称轴是 $ y $ 轴,求 $ m $ 的值;
(3) 若图象的顶点在 $ x $ 轴上,求 $ m $ 的值。
(1) 若图象经过原点,求 $ m $ 的值;
(2) 若图象的对称轴是 $ y $ 轴,求 $ m $ 的值;
(3) 若图象的顶点在 $ x $ 轴上,求 $ m $ 的值。
答案:
(1) 因为图象经过原点,所以当 $x = 0$ 时,$y = 0$。
代入得:$0 = 0^2 - (m - 1) \cdot 0 - m$,
即:$m = 0$。
(2) 二次函数 $y = ax^2 + bx + c$ 的对称轴为 $x = -\frac{b}{2a}$。
对于 $y = x^2 - (m - 1)x - m$,其对称轴为 $x = \frac{m - 1}{2}$。
因为对称轴是 $y$ 轴,即 $x = 0$,所以 $\frac{m - 1}{2} = 0$,
解得:$m = 1$。
(3) 二次函数 $y = ax^2 + bx + c$ 的顶点坐标为 $\left( -\frac{b}{2a}, c - \frac{b^2}{4a} \right)$。
对于 $y = x^2 - (m - 1)x - m$,其顶点坐标为 $\left( \frac{m - 1}{2}, -m - \frac{(m - 1)^2}{4} \right)$。
因为顶点在 $x$ 轴上,所以顶点的 $y$ 坐标为 0,即:
$-m - \frac{(m - 1)^2}{4} = 0$
解此方程得:
$m = -1$
(1) 因为图象经过原点,所以当 $x = 0$ 时,$y = 0$。
代入得:$0 = 0^2 - (m - 1) \cdot 0 - m$,
即:$m = 0$。
(2) 二次函数 $y = ax^2 + bx + c$ 的对称轴为 $x = -\frac{b}{2a}$。
对于 $y = x^2 - (m - 1)x - m$,其对称轴为 $x = \frac{m - 1}{2}$。
因为对称轴是 $y$ 轴,即 $x = 0$,所以 $\frac{m - 1}{2} = 0$,
解得:$m = 1$。
(3) 二次函数 $y = ax^2 + bx + c$ 的顶点坐标为 $\left( -\frac{b}{2a}, c - \frac{b^2}{4a} \right)$。
对于 $y = x^2 - (m - 1)x - m$,其顶点坐标为 $\left( \frac{m - 1}{2}, -m - \frac{(m - 1)^2}{4} \right)$。
因为顶点在 $x$ 轴上,所以顶点的 $y$ 坐标为 0,即:
$-m - \frac{(m - 1)^2}{4} = 0$
解此方程得:
$m = -1$
8. 已知抛物线 $ y = x^2 + mx + 3 $ 的对称轴为直线 $ x = -2 $。
(1) 求 $ m $ 的值;
(2) 如果将此抛物线向右平移 $ n $ 个单位后,新的抛物线经过点 $ (6, 8) $,求新抛物线与 $ y $ 轴的交点坐标。
(1) 求 $ m $ 的值;
(2) 如果将此抛物线向右平移 $ n $ 个单位后,新的抛物线经过点 $ (6, 8) $,求新抛物线与 $ y $ 轴的交点坐标。
答案:
(1) 对于抛物线 $y = ax^2 + bx + c$,其对称轴为 $x = -\frac{b}{2a}$。
由题知,$a = 1$,$b = m$,对称轴为 $x = -2$。
代入得:
$-\frac{m}{2(1)} = -2$
即:
$-\frac{m}{2} = -2$
解得:
$m = 4$
(2) 已知原抛物线方程为 $y = x^2 + 4x + 3$,可以写成顶点式:
$y = (x + 2)^2 - 1$
抛物线向右平移$n$个单位后,新的抛物线方程为:
$y = (x + 2 - n)^2 - 1$
因为新的抛物线经过点$(6, 8)$,代入得:
$8 = (6 + 2 - n)^2 - 1$
即:
$8 = (8 - n)^2 - 1$
解此方程得:
$n = 5 \quad 或 \quad n = 11$
当$n = 5$时,新抛物线方程为:
$y = (x - 3)^2 - 1$
令$x = 0$,解得与$y$轴的交点坐标为$(0, 8)$。
当$n = 11$时,新抛物线方程为:
$y = (x - 9)^2 - 1$
令$x = 0$,解得与$y$轴的交点坐标为$(0, 80)$。
新抛物线与$y$轴的交点坐标为$(0, 8)$或$(0, 80)$。
(1) 对于抛物线 $y = ax^2 + bx + c$,其对称轴为 $x = -\frac{b}{2a}$。
由题知,$a = 1$,$b = m$,对称轴为 $x = -2$。
代入得:
$-\frac{m}{2(1)} = -2$
即:
$-\frac{m}{2} = -2$
解得:
$m = 4$
(2) 已知原抛物线方程为 $y = x^2 + 4x + 3$,可以写成顶点式:
$y = (x + 2)^2 - 1$
抛物线向右平移$n$个单位后,新的抛物线方程为:
$y = (x + 2 - n)^2 - 1$
因为新的抛物线经过点$(6, 8)$,代入得:
$8 = (6 + 2 - n)^2 - 1$
即:
$8 = (8 - n)^2 - 1$
解此方程得:
$n = 5 \quad 或 \quad n = 11$
当$n = 5$时,新抛物线方程为:
$y = (x - 3)^2 - 1$
令$x = 0$,解得与$y$轴的交点坐标为$(0, 8)$。
当$n = 11$时,新抛物线方程为:
$y = (x - 9)^2 - 1$
令$x = 0$,解得与$y$轴的交点坐标为$(0, 80)$。
新抛物线与$y$轴的交点坐标为$(0, 8)$或$(0, 80)$。
查看更多完整答案,请扫码查看