第144页
- 第1页
- 第2页
- 第3页
- 第4页
- 第5页
- 第6页
- 第7页
- 第8页
- 第9页
- 第10页
- 第11页
- 第12页
- 第13页
- 第14页
- 第15页
- 第16页
- 第17页
- 第18页
- 第19页
- 第20页
- 第21页
- 第22页
- 第23页
- 第24页
- 第25页
- 第26页
- 第27页
- 第28页
- 第29页
- 第30页
- 第31页
- 第32页
- 第33页
- 第34页
- 第35页
- 第36页
- 第37页
- 第38页
- 第39页
- 第40页
- 第41页
- 第42页
- 第43页
- 第44页
- 第45页
- 第46页
- 第47页
- 第48页
- 第49页
- 第50页
- 第51页
- 第52页
- 第53页
- 第54页
- 第55页
- 第56页
- 第57页
- 第58页
- 第59页
- 第60页
- 第61页
- 第62页
- 第63页
- 第64页
- 第65页
- 第66页
- 第67页
- 第68页
- 第69页
- 第70页
- 第71页
- 第72页
- 第73页
- 第74页
- 第75页
- 第76页
- 第77页
- 第78页
- 第79页
- 第80页
- 第81页
- 第82页
- 第83页
- 第84页
- 第85页
- 第86页
- 第87页
- 第88页
- 第89页
- 第90页
- 第91页
- 第92页
- 第93页
- 第94页
- 第95页
- 第96页
- 第97页
- 第98页
- 第99页
- 第100页
- 第101页
- 第102页
- 第103页
- 第104页
- 第105页
- 第106页
- 第107页
- 第108页
- 第109页
- 第110页
- 第111页
- 第112页
- 第113页
- 第114页
- 第115页
- 第116页
- 第117页
- 第118页
- 第119页
- 第120页
- 第121页
- 第122页
- 第123页
- 第124页
- 第125页
- 第126页
- 第127页
- 第128页
- 第129页
- 第130页
- 第131页
- 第132页
- 第133页
- 第134页
- 第135页
- 第136页
- 第137页
- 第138页
- 第139页
- 第140页
- 第141页
- 第142页
- 第143页
- 第144页
- 第145页
- 第146页
- 第147页
- 第148页
- 第149页
- 第150页
- 第151页
- 第152页
- 第153页
- 第154页
- 第155页
- 第156页
- 第157页
- 第158页
- 第159页
- 第160页
- 第161页
- 第162页
- 第163页
- 第164页
例1-2
平面内有三个点,过其中任意两点画直线,一共可以画几条直线?画图加以说明。
解 紧扣“直线的基本事实”,根据三点的位置情况,逐一画出图形。
答 当三点在同一直线上时,可以画一条直线,如图6-1-1①所示;
当三点不在同一直线上时,可以画三条直线,如图6-1-1②所示。
平面内有三个点,过其中任意两点画直线,一共可以画几条直线?画图加以说明。
解 紧扣“直线的基本事实”,根据三点的位置情况,逐一画出图形。
答 当三点在同一直线上时,可以画一条直线,如图6-1-1①所示;
当三点不在同一直线上时,可以画三条直线,如图6-1-1②所示。
答案:
【解析】:
题目考查了直线、射线和线段的基础知识点,特别是关于直线的基本性质,即两点确定一条直线。题目要求通过画图来展示平面内三个点通过任意两点画直线可以画出的直线数量。这需要我们根据三点的相对位置(是否共线)来分类讨论。
当三点在同一直线上时,我们只能画出一条穿过这三点的直线。
当三点不在同一直线上时,我们可以通过每两点组合画出三条不同的直线。
【答案】:
解:
情况一:当三点在同一直线上时,
我们可以画出一条且仅有一条穿过这三点的直线。
图略(三点共线,一条直线穿过三点)。
情况二:当三点不在同一直线上时,
设这三个点为A、B、C,则我们可以画出直线AB、直线AC和直线BC,共三条直线。
图略(三点不共线,分别连接三点形成三条直线)。
综上,平面内有三个点,过其中任意两点画直线,当三点在同一直线上时,可以画一条直线;当三点不在同一直线上时,可以画三条直线。
题目考查了直线、射线和线段的基础知识点,特别是关于直线的基本性质,即两点确定一条直线。题目要求通过画图来展示平面内三个点通过任意两点画直线可以画出的直线数量。这需要我们根据三点的相对位置(是否共线)来分类讨论。
当三点在同一直线上时,我们只能画出一条穿过这三点的直线。
当三点不在同一直线上时,我们可以通过每两点组合画出三条不同的直线。
【答案】:
解:
情况一:当三点在同一直线上时,
我们可以画出一条且仅有一条穿过这三点的直线。
图略(三点共线,一条直线穿过三点)。
情况二:当三点不在同一直线上时,
设这三个点为A、B、C,则我们可以画出直线AB、直线AC和直线BC,共三条直线。
图略(三点不共线,分别连接三点形成三条直线)。
综上,平面内有三个点,过其中任意两点画直线,当三点在同一直线上时,可以画一条直线;当三点不在同一直线上时,可以画三条直线。
例2
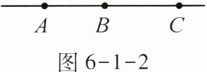
如图6-1-2所示的直线上有A,B,C三点,则图中有几条射线?其中能用图中字母表示出来的有哪几条?

答 由图6-1-2可知图中有6条射线,其中可用图中的字母表示出来的射线有4条,它们分别是射线AC(或AB),射线BC,射线CA(或CB),射线BA。
点拨 (1)数射线时先找端点再找方向。(2)若一条直线上有n个点,则有2n条射线,其中有(2n-2)条射线可以用表示这些点的字母表示出来,另外有2条射线不能用这些字母表示出来。
如图6-1-2所示的直线上有A,B,C三点,则图中有几条射线?其中能用图中字母表示出来的有哪几条?
答 由图6-1-2可知图中有6条射线,其中可用图中的字母表示出来的射线有4条,它们分别是射线AC(或AB),射线BC,射线CA(或CB),射线BA。
点拨 (1)数射线时先找端点再找方向。(2)若一条直线上有n个点,则有2n条射线,其中有(2n-2)条射线可以用表示这些点的字母表示出来,另外有2条射线不能用这些字母表示出来。
答案:
解:由图可知,图中共有6条射线。
能用图中字母表示出来的射线有4条,分别是射线AC(或AB)、射线BC、射线CA(或CB)、射线BA。
能用图中字母表示出来的射线有4条,分别是射线AC(或AB)、射线BC、射线CA(或CB)、射线BA。
查看更多完整答案,请扫码查看