第44页
- 第1页
- 第2页
- 第3页
- 第4页
- 第5页
- 第6页
- 第7页
- 第8页
- 第9页
- 第10页
- 第11页
- 第12页
- 第13页
- 第14页
- 第15页
- 第16页
- 第17页
- 第18页
- 第19页
- 第20页
- 第21页
- 第22页
- 第23页
- 第24页
- 第25页
- 第26页
- 第27页
- 第28页
- 第29页
- 第30页
- 第31页
- 第32页
- 第33页
- 第34页
- 第35页
- 第36页
- 第37页
- 第38页
- 第39页
- 第40页
- 第41页
- 第42页
- 第43页
- 第44页
- 第45页
- 第46页
- 第47页
- 第48页
- 第49页
- 第50页
- 第51页
- 第52页
- 第53页
- 第54页
- 第55页
- 第56页
- 第57页
- 第58页
- 第59页
- 第60页
- 第61页
- 第62页
- 第63页
- 第64页
- 第65页
- 第66页
- 第67页
- 第68页
- 第69页
- 第70页
- 第71页
- 第72页
- 第73页
- 第74页
- 第75页
- 第76页
- 第77页
- 第78页
- 第79页
- 第80页
- 第81页
- 第82页
- 第83页
- 第84页
- 第85页
- 第86页
- 第87页
- 第88页
- 第89页
- 第90页
- 第91页
- 第92页
- 第93页
- 第94页
- 第95页
- 第96页
- 第97页
- 第98页
- 第99页
- 第100页
- 第101页
- 第102页
- 第103页
- 第104页
- 第105页
- 第106页
- 第107页
- 第108页
- 第109页
- 第110页
- 第111页
- 第112页
- 第113页
- 第114页
- 第115页
- 第116页
- 第117页
- 第118页
- 第119页
- 第120页
- 第121页
- 第122页
- 第123页
- 第124页
- 第125页
- 第126页
- 第127页
- 第128页
- 第129页
- 第130页
- 第131页
- 第132页
- 第133页
- 第134页
- 第135页
- 第136页
- 第137页
- 第138页
- 第139页
- 第140页
- 第141页
- 第142页
- 第143页
- 第144页
- 第145页
- 第146页
- 第147页
- 第148页
- 第149页
13. 如图,AB = CD,BF ⊥ AC,垂足为 F,DE ⊥ AC,垂足为 E,AE = CF.求证 BD 平分 EF.

答案:
13.
∵AE=CF,
∴AE+EF=CF+EF,即AF=CE.
∵BF⊥AC,DE⊥AC,
∴∠AFB=∠CED=90°.
在Rt△ABF和Rt△CDE中,$\begin{cases}AB=CD,\\AF=CE,\end{cases}$
∴Rt△ABF≌Rt△CDE(HL).
∴DE=BF.
在△DEO和△BFO中,$\begin{cases}∠EOD=∠FOB,\\∠DEO=∠BFO,\\DE=BF,\end{cases}$
∴△DEO≌△BFO(AAS).
∴EO=FO.
∴BD平分EF.
∵AE=CF,
∴AE+EF=CF+EF,即AF=CE.
∵BF⊥AC,DE⊥AC,
∴∠AFB=∠CED=90°.
在Rt△ABF和Rt△CDE中,$\begin{cases}AB=CD,\\AF=CE,\end{cases}$
∴Rt△ABF≌Rt△CDE(HL).
∴DE=BF.
在△DEO和△BFO中,$\begin{cases}∠EOD=∠FOB,\\∠DEO=∠BFO,\\DE=BF,\end{cases}$
∴△DEO≌△BFO(AAS).
∴EO=FO.
∴BD平分EF.
14. 如图,在长方形 ABCD 中,∠A = ∠ABC = ∠C = ∠D = 90°,E 是 AD 的中点,将△ABE 沿直线 BE 折叠后得到△GBE,延长 BG 交 CD 于点 F.求证 FD = FG.

答案:
14.连接EF.
∵将△ABE沿BE折叠后得到△GBE,
∴△ABE≌△GBE,
∴AE=GE,∠A=∠BGE=90°.
∵E是AD的中点,
∴AE=DE=GE.
∵∠A=∠ABC=∠C=∠D=90°,
∴∠EGF=∠D=90°.
在Rt△EGF和Rt△EDF中,GE=DE,EF=EF,
∴Rt△EDF≌Rt△EGF(HL).
∴FD=FG.
∵将△ABE沿BE折叠后得到△GBE,
∴△ABE≌△GBE,
∴AE=GE,∠A=∠BGE=90°.
∵E是AD的中点,
∴AE=DE=GE.
∵∠A=∠ABC=∠C=∠D=90°,
∴∠EGF=∠D=90°.
在Rt△EGF和Rt△EDF中,GE=DE,EF=EF,
∴Rt△EDF≌Rt△EGF(HL).
∴FD=FG.
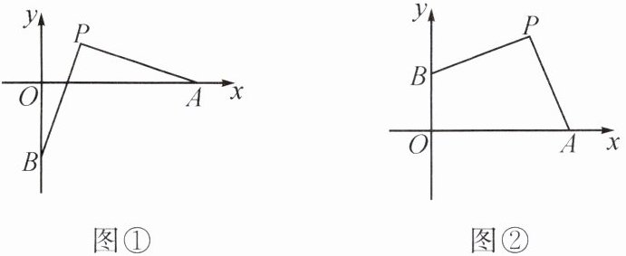
15. 在平面直角坐标系中,点 P 的坐标为(2,2),点 A 在 x 轴正半轴上运动,点 B 在 y 轴上运动,且 PA = PB.
(1)如图①,若点 B 在 y 轴负半轴上运动.
①求证 PA ⊥ PB.
②若点 A 的坐标为(8,0),求点 B 的坐标.
(2)如图②,若点 B 在 y 轴正半轴上运动,直接写出 OA + OB 的值.

(1)如图①,若点 B 在 y 轴负半轴上运动.
①求证 PA ⊥ PB.
②若点 A 的坐标为(8,0),求点 B 的坐标.
(2)如图②,若点 B 在 y 轴正半轴上运动,直接写出 OA + OB 的值.
答案:
15.
(1)①如图①,过点P分别作PM⊥x轴于点M,PN⊥y轴于点N,设BP交x轴于点C.
∵点P的坐标为(2,2),
∴PN=PM=ON=OM=2.
在Rt△PMA和Rt△PNB中,PM=PN,PA=PB,
∴Rt△PMA≌Rt△PNB(HL).
∴∠PBN=∠PAM.
∵∠PBN+∠OCB=90°,∠OCB=∠PCA,
∴∠PAM+∠PCA=90°.
∴∠APB=180°−(∠PAM+∠PCA)=90°.
∴PA⊥PB.
②由①知,Rt△PMA≌Rt△PNB,
∴AM=BN.
∵点A的坐标为(8,0),
∴OA=8,
设OB=x,则AM=BN=x+2.
∴OA=AM+OM=x+2+2=8,
∴x=4.
∴B(0,−4).
(2)如图②,过点P分别作PM⊥x轴,垂足为M,PN⊥y轴,垂足为N.
∵点P的坐标为(2,2),
∴PN=PM=ON=OM=2.
在Rt△PMA和Rt△PNB中,PM=PN,PA=PB,
∴Rt△PMA≌Rt△PNB(HL),
∴AM=BN.
∴OA+OB=(OM+AM)+(ON−BN)=OM+ON=4.
15.
(1)①如图①,过点P分别作PM⊥x轴于点M,PN⊥y轴于点N,设BP交x轴于点C.
∵点P的坐标为(2,2),
∴PN=PM=ON=OM=2.
在Rt△PMA和Rt△PNB中,PM=PN,PA=PB,
∴Rt△PMA≌Rt△PNB(HL).
∴∠PBN=∠PAM.
∵∠PBN+∠OCB=90°,∠OCB=∠PCA,
∴∠PAM+∠PCA=90°.
∴∠APB=180°−(∠PAM+∠PCA)=90°.
∴PA⊥PB.
②由①知,Rt△PMA≌Rt△PNB,
∴AM=BN.
∵点A的坐标为(8,0),
∴OA=8,
设OB=x,则AM=BN=x+2.
∴OA=AM+OM=x+2+2=8,
∴x=4.
∴B(0,−4).
(2)如图②,过点P分别作PM⊥x轴,垂足为M,PN⊥y轴,垂足为N.
∵点P的坐标为(2,2),
∴PN=PM=ON=OM=2.
在Rt△PMA和Rt△PNB中,PM=PN,PA=PB,
∴Rt△PMA≌Rt△PNB(HL),
∴AM=BN.
∴OA+OB=(OM+AM)+(ON−BN)=OM+ON=4.
查看更多完整答案,请扫码查看