第36页
- 第1页
- 第2页
- 第3页
- 第4页
- 第5页
- 第6页
- 第7页
- 第8页
- 第9页
- 第10页
- 第11页
- 第12页
- 第13页
- 第14页
- 第15页
- 第16页
- 第17页
- 第18页
- 第19页
- 第20页
- 第21页
- 第22页
- 第23页
- 第24页
- 第25页
- 第26页
- 第27页
- 第28页
- 第29页
- 第30页
- 第31页
- 第32页
- 第33页
- 第34页
- 第35页
- 第36页
- 第37页
- 第38页
- 第39页
- 第40页
- 第41页
- 第42页
- 第43页
- 第44页
- 第45页
- 第46页
- 第47页
- 第48页
- 第49页
- 第50页
- 第51页
- 第52页
- 第53页
- 第54页
- 第55页
- 第56页
- 第57页
- 第58页
- 第59页
- 第60页
- 第61页
- 第62页
- 第63页
- 第64页
- 第65页
- 第66页
- 第67页
- 第68页
- 第69页
- 第70页
- 第71页
- 第72页
- 第73页
- 第74页
- 第75页
- 第76页
- 第77页
- 第78页
- 第79页
- 第80页
- 第81页
- 第82页
- 第83页
- 第84页
- 第85页
- 第86页
- 第87页
- 第88页
- 第89页
- 第90页
- 第91页
- 第92页
- 第93页
- 第94页
- 第95页
- 第96页
- 第97页
- 第98页
- 第99页
- 第100页
- 第101页
- 第102页
- 第103页
- 第104页
- 第105页
- 第106页
- 第107页
- 第108页
- 第109页
- 第110页
- 第111页
- 第112页
- 第113页
- 第114页
- 第115页
- 第116页
- 第117页
- 第118页
- 第119页
- 第120页
- 第121页
- 第122页
- 第123页
- 第124页
- 第125页
- 第126页
- 第127页
- 第128页
- 第129页
- 第130页
- 第131页
- 第132页
- 第133页
- 第134页
- 第135页
- 第136页
- 第137页
- 第138页
- 第139页
- 第140页
- 第141页
- 第142页
- 第143页
- 第144页
- 第145页
- 第146页
- 第147页
- 第148页
- 第149页
13. 如图,在直角三角形 ABC 中,AB = AC,过直角顶点 A 作直线 MN,过点 B 作 BD ⊥ MN,垂足为 D,过点 C 作 CE ⊥ MN,垂足为 E.
(1)当 MN 与 BC 边不相交时,判断 BD,CE,DE 之间的数量关系,并说明理由.
(2)当 MN 与 BC 边交于点 F 时,写出 BD,CE,DE 之间的数量关系.

(1)当 MN 与 BC 边不相交时,判断 BD,CE,DE 之间的数量关系,并说明理由.
(2)当 MN 与 BC 边交于点 F 时,写出 BD,CE,DE 之间的数量关系.
答案:
13.
(1)BD+CE=DE.理由如下:
根据“AAS"易证△ABD≌△CAE.
∴AD=CE,BD=AE,DE=AD+AE=CE+BD.
∴BD+CE=DE.
(2)①当点F在BC的中点的左边时,CE−BD=DE;
②当点F在BC的中点的右边时,BD−CE=DE;
③当F为BC的中点时,BD=CE,DE=0,此时BD−CE=DE仍成立.
∴|BD−CE|=DE.
(1)BD+CE=DE.理由如下:
根据“AAS"易证△ABD≌△CAE.
∴AD=CE,BD=AE,DE=AD+AE=CE+BD.
∴BD+CE=DE.
(2)①当点F在BC的中点的左边时,CE−BD=DE;
②当点F在BC的中点的右边时,BD−CE=DE;
③当F为BC的中点时,BD=CE,DE=0,此时BD−CE=DE仍成立.
∴|BD−CE|=DE.
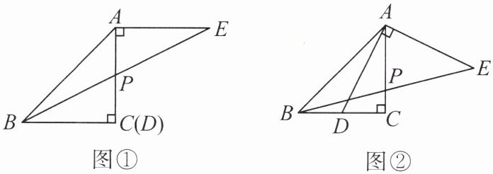
14. 在△ABC 中,AC = BC,∠ACB = 90°,D 为线段 BC 上一动点,AE = AD,AE ⊥ AD,连接 BE,交 AC 于点 P,其中 $ \frac{BD}{BC} = n $.
(1)如图①,当 n = 1 时,$ \frac{BP}{PE} = $
(2)如图②,当 n = $ \frac{1}{2} $时,猜想 $ \frac{BP}{PE} = $

(1)如图①,当 n = 1 时,$ \frac{BP}{PE} = $
1
$, \frac{AP}{PC} = $1
$ $.(2)如图②,当 n = $ \frac{1}{2} $时,猜想 $ \frac{BP}{PE} = $
1
$, \frac{AP}{PC} = $3
$ $,并证明你的结论.
答案:
14.
(1)1 1
(2)1 3.证明如下:
过点E作EF⊥AC,垂足为F,易证△AEF≌△DAC.
∴EF=AC=BC,AF=DC=$\frac{1}{2}$BC=$\frac{1}{2}$AC.
∴AC=2AF=2CF,易证△BCP≌△EFP.
∴BP=EP,CP=FP=$\frac{1}{2}$CF.
∴$\frac{BP}{PE}$=1,CF=2PC.
∴AC=4PC=4PF.
∴AP=3PC.
∴$\frac{AP}{PC}$=3.
(1)1 1
(2)1 3.证明如下:
过点E作EF⊥AC,垂足为F,易证△AEF≌△DAC.
∴EF=AC=BC,AF=DC=$\frac{1}{2}$BC=$\frac{1}{2}$AC.
∴AC=2AF=2CF,易证△BCP≌△EFP.
∴BP=EP,CP=FP=$\frac{1}{2}$CF.
∴$\frac{BP}{PE}$=1,CF=2PC.
∴AC=4PC=4PF.
∴AP=3PC.
∴$\frac{AP}{PC}$=3.
查看更多完整答案,请扫码查看