第107页
- 第1页
- 第2页
- 第3页
- 第4页
- 第5页
- 第6页
- 第7页
- 第8页
- 第9页
- 第10页
- 第11页
- 第12页
- 第13页
- 第14页
- 第15页
- 第16页
- 第17页
- 第18页
- 第19页
- 第20页
- 第21页
- 第22页
- 第23页
- 第24页
- 第25页
- 第26页
- 第27页
- 第28页
- 第29页
- 第30页
- 第31页
- 第32页
- 第33页
- 第34页
- 第35页
- 第36页
- 第37页
- 第38页
- 第39页
- 第40页
- 第41页
- 第42页
- 第43页
- 第44页
- 第45页
- 第46页
- 第47页
- 第48页
- 第49页
- 第50页
- 第51页
- 第52页
- 第53页
- 第54页
- 第55页
- 第56页
- 第57页
- 第58页
- 第59页
- 第60页
- 第61页
- 第62页
- 第63页
- 第64页
- 第65页
- 第66页
- 第67页
- 第68页
- 第69页
- 第70页
- 第71页
- 第72页
- 第73页
- 第74页
- 第75页
- 第76页
- 第77页
- 第78页
- 第79页
- 第80页
- 第81页
- 第82页
- 第83页
- 第84页
- 第85页
- 第86页
- 第87页
- 第88页
- 第89页
- 第90页
- 第91页
- 第92页
- 第93页
- 第94页
- 第95页
- 第96页
- 第97页
- 第98页
- 第99页
- 第100页
- 第101页
- 第102页
- 第103页
- 第104页
- 第105页
- 第106页
- 第107页
- 第108页
- 第109页
- 第110页
- 第111页
- 第112页
- 第113页
- 第114页
- 第115页
- 第116页
- 第117页
- 第118页
- 第119页
- 第120页
- 第121页
- 第122页
- 第123页
- 第124页
- 第125页
- 第126页
- 第127页
- 第128页
- 第129页
- 第130页
- 第131页
- 第132页
- 第133页
- 第134页
- 第135页
- 第136页
- 第137页
- 第138页
- 第139页
- 第140页
- 第141页
- 第142页
- 第143页
- 第144页
- 第145页
- 第146页
- 第147页
- 第148页
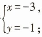
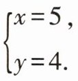
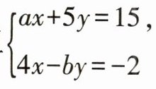
9.在解方程组
时,由于粗心,甲看
错了方程组中的α,解得
'乙看错了方程组中的b,解得
求原方程组的正确解.
错了方程组中的α,解得
答案:
解:
- **步骤一:根据甲、乙的解求出$a$、$b$的值
因为甲看错了方程组中的$a$,但$b$是正确的,所以将$\begin{cases}x = - 3\\y = - 1\end{cases}$代入$4x - by = - 2$可得:
$4×(-3)-b×(-1)=-2$,即$-12 + b = - 2$,解得$b = 10$。
因为乙看错了方程组中的$b$,但$a$是正确的,所以将$\begin{cases}x = 5\\y = 4\end{cases}$代入$ax + 5y = 15$可得:
$5a + 5×4 = 15$,即$5a+20 = 15$,$5a=15 - 20=-5$,解得$a=-1$。
- **步骤二:将$a$、$b$的值代入原方程组求解
将$a = - 1$,$b = 10$代入原方程组$\begin{cases}ax + 5y = 15\\4x - by = - 2\end{cases}$,得到$\begin{cases}-x + 5y = 15&(1)\\4x - 10y = - 2&(2)\end{cases}$。
由$(1)$式可得$x = 5y - 15$,将其代入$(2)$式:
$4×(5y - 15)-10y = - 2$,
$20y-60 - 10y = - 2$,
$10y = 60 - 2 = 58$,
解得$y=\frac{29}{5}$。
把$y=\frac{29}{5}$代入$x = 5y - 15$,得$x = 5×\frac{29}{5}-15=29 - 15 = 14$。
所以原方程组的正确解是$\begin{cases}x = 14\\y=\frac{29}{5}\end{cases}$。
- **步骤一:根据甲、乙的解求出$a$、$b$的值
因为甲看错了方程组中的$a$,但$b$是正确的,所以将$\begin{cases}x = - 3\\y = - 1\end{cases}$代入$4x - by = - 2$可得:
$4×(-3)-b×(-1)=-2$,即$-12 + b = - 2$,解得$b = 10$。
因为乙看错了方程组中的$b$,但$a$是正确的,所以将$\begin{cases}x = 5\\y = 4\end{cases}$代入$ax + 5y = 15$可得:
$5a + 5×4 = 15$,即$5a+20 = 15$,$5a=15 - 20=-5$,解得$a=-1$。
- **步骤二:将$a$、$b$的值代入原方程组求解
将$a = - 1$,$b = 10$代入原方程组$\begin{cases}ax + 5y = 15\\4x - by = - 2\end{cases}$,得到$\begin{cases}-x + 5y = 15&(1)\\4x - 10y = - 2&(2)\end{cases}$。
由$(1)$式可得$x = 5y - 15$,将其代入$(2)$式:
$4×(5y - 15)-10y = - 2$,
$20y-60 - 10y = - 2$,
$10y = 60 - 2 = 58$,
解得$y=\frac{29}{5}$。
把$y=\frac{29}{5}$代入$x = 5y - 15$,得$x = 5×\frac{29}{5}-15=29 - 15 = 14$。
所以原方程组的正确解是$\begin{cases}x = 14\\y=\frac{29}{5}\end{cases}$。
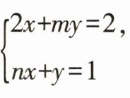
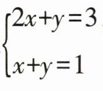
10.已知方程组
和方程组
的
解相同,求m,n的值.
解相同,求m,n的值.
答案:
解:
先解方程组$\begin{cases}2x + y = 3 \\x + y = 1\end{cases}$
用$2x + y = 3$减去$x + y = 1$,可得:
$(2x + y)-(x + y)=3 - 1$
$2x + y - x - y = 2$
$x = 2$
把$x = 2$代入$x + y = 1$,得$2 + y = 1$,解得$y=-1$。
因为两个方程组解相同,把$x = 2$,$y = - 1$代入$\begin{cases}2x+my = 2 \\nx + y = 1\end{cases}$
得到$\begin{cases}2×2+m×(-1)=2 \\n×2+( - 1)=1\end{cases}$
即$\begin{cases}4 - m = 2 \\2n - 1 = 1\end{cases}$
解$4 - m = 2$,得$m = 4 - 2=2$
解$2n - 1 = 1$,$2n=1 + 1$,$n = 1$
所以$m = 2$,$n = 1$。
先解方程组$\begin{cases}2x + y = 3 \\x + y = 1\end{cases}$
用$2x + y = 3$减去$x + y = 1$,可得:
$(2x + y)-(x + y)=3 - 1$
$2x + y - x - y = 2$
$x = 2$
把$x = 2$代入$x + y = 1$,得$2 + y = 1$,解得$y=-1$。
因为两个方程组解相同,把$x = 2$,$y = - 1$代入$\begin{cases}2x+my = 2 \\nx + y = 1\end{cases}$
得到$\begin{cases}2×2+m×(-1)=2 \\n×2+( - 1)=1\end{cases}$
即$\begin{cases}4 - m = 2 \\2n - 1 = 1\end{cases}$
解$4 - m = 2$,得$m = 4 - 2=2$
解$2n - 1 = 1$,$2n=1 + 1$,$n = 1$
所以$m = 2$,$n = 1$。
答案:
$(1)$ 解方程组$\begin{cases}2x - 3y = 5&①\\6x - 11y = 9&②\end{cases}$
解:
将②变形为$6x - 9y - 2y = 9$,即$3(2x - 3y)-2y = 9$ ③。
把①代入③,得$3×5 - 2y = 9$,
即$15 - 2y = 9$,
移项可得$-2y=9 - 15$,
即$-2y=-6$,
解得$y = 3$。
把$y = 3$代入①,得$2x-3×3 = 5$,
即$2x - 9 = 5$,
移项可得$2x=5 + 9$,
即$2x = 14$,
解得$x = 7$。
所以,方程组的解为$\begin{cases}x = 7\\y = 3\end{cases}$。
$(2)$ 求$x^{2}+4y^{2}-xy$的值
解:
由$3x^{2}-2xy + 12y^{2}=47$可得$3(x^{2}+4y^{2})-2xy = 47$ ④;
由$2x^{2}+xy + 8y^{2}=36$可得$2(x^{2}+4y^{2})+xy = 36$ ⑤。
设$x^{2}+4y^{2}=m$,$xy = n$,则方程组变为$\begin{cases}3m - 2n = 47&⑥\\2m + n = 36&⑦\end{cases}$。
由⑦可得$n = 36 - 2m$ ⑧。
把⑧代入⑥得:$3m-2(36 - 2m)=47$,
去括号得$3m-72 + 4m = 47$,
移项合并同类项得$7m=47 + 72$,
即$7m = 119$,
解得$m = 17$。
把$m = 17$代入⑧得:$n = 36-2×17=36 - 34 = 2$。
因为$x^{2}+4y^{2}-xy=m - n$,把$m = 17$,$n = 2$代入可得:$x^{2}+4y^{2}-xy=17 - 2=15$。
综上,$(1)$方程组的解为$\boldsymbol{\begin{cases}x = 7\\y = 3\end{cases}}$;$(2)$$x^{2}+4y^{2}-xy$的值为$\boldsymbol{15}$。
解:
将②变形为$6x - 9y - 2y = 9$,即$3(2x - 3y)-2y = 9$ ③。
把①代入③,得$3×5 - 2y = 9$,
即$15 - 2y = 9$,
移项可得$-2y=9 - 15$,
即$-2y=-6$,
解得$y = 3$。
把$y = 3$代入①,得$2x-3×3 = 5$,
即$2x - 9 = 5$,
移项可得$2x=5 + 9$,
即$2x = 14$,
解得$x = 7$。
所以,方程组的解为$\begin{cases}x = 7\\y = 3\end{cases}$。
$(2)$ 求$x^{2}+4y^{2}-xy$的值
解:
由$3x^{2}-2xy + 12y^{2}=47$可得$3(x^{2}+4y^{2})-2xy = 47$ ④;
由$2x^{2}+xy + 8y^{2}=36$可得$2(x^{2}+4y^{2})+xy = 36$ ⑤。
设$x^{2}+4y^{2}=m$,$xy = n$,则方程组变为$\begin{cases}3m - 2n = 47&⑥\\2m + n = 36&⑦\end{cases}$。
由⑦可得$n = 36 - 2m$ ⑧。
把⑧代入⑥得:$3m-2(36 - 2m)=47$,
去括号得$3m-72 + 4m = 47$,
移项合并同类项得$7m=47 + 72$,
即$7m = 119$,
解得$m = 17$。
把$m = 17$代入⑧得:$n = 36-2×17=36 - 34 = 2$。
因为$x^{2}+4y^{2}-xy=m - n$,把$m = 17$,$n = 2$代入可得:$x^{2}+4y^{2}-xy=17 - 2=15$。
综上,$(1)$方程组的解为$\boldsymbol{\begin{cases}x = 7\\y = 3\end{cases}}$;$(2)$$x^{2}+4y^{2}-xy$的值为$\boldsymbol{15}$。
查看更多完整答案,请扫码查看