第40页
- 第1页
- 第2页
- 第3页
- 第4页
- 第5页
- 第6页
- 第7页
- 第8页
- 第9页
- 第10页
- 第11页
- 第12页
- 第13页
- 第14页
- 第15页
- 第16页
- 第17页
- 第18页
- 第19页
- 第20页
- 第21页
- 第22页
- 第23页
- 第24页
- 第25页
- 第26页
- 第27页
- 第28页
- 第29页
- 第30页
- 第31页
- 第32页
- 第33页
- 第34页
- 第35页
- 第36页
- 第37页
- 第38页
- 第39页
- 第40页
- 第41页
- 第42页
- 第43页
- 第44页
- 第45页
- 第46页
- 第47页
- 第48页
- 第49页
- 第50页
- 第51页
- 第52页
- 第53页
- 第54页
- 第55页
- 第56页
- 第57页
- 第58页
- 第59页
- 第60页
- 第61页
- 第62页
- 第63页
- 第64页
- 第65页
- 第66页
- 第67页
- 第68页
- 第69页
- 第70页
- 第71页
- 第72页
- 第73页
- 第74页
- 第75页
- 第76页
- 第77页
- 第78页
- 第79页
- 第80页
- 第81页
- 第82页
- 第83页
- 第84页
- 第85页
- 第86页
- 第87页
- 第88页
- 第89页
- 第90页
- 第91页
- 第92页
- 第93页
- 第94页
- 第95页
- 第96页
- 第97页
- 第98页
- 第99页
- 第100页
- 第101页
- 第102页
- 第103页
- 第104页
- 第105页
- 第106页
- 第107页
- 第108页
- 第109页
- 第110页
- 第111页
- 第112页
- 第113页
- 第114页
- 第115页
- 第116页
- 第117页
- 第118页
- 第119页
- 第120页
- 第121页
- 第122页
- 第123页
- 第124页
- 第125页
- 第126页
- 第127页
- 第128页
- 第129页
- 第130页
- 第131页
- 第132页
- 第133页
- 第134页
- 第135页
- 第136页
- 第137页
- 第138页
- 第139页
- 第140页
- 第141页
- 第142页
- 第143页
【例】已知抛物线 $ y = -x^{2}+bx + 4 $ 经过 $ (-2,n) $ 和 $ (4,n) $ 两点,求 $ b $ 与 $ n $ 的值.
【解题关键】若抛物线上不重合的两个点的坐标分别为 $ A(x_{1},y_{1}),B(x_{2},y_{2}) $,且 $ y_{1}=y_{2} $,则 $ A,B $ 两点关于抛物线的对称轴对称,且该抛物线的对称轴为直线 $ x=\frac{x_{1}+x_{2}}{2} $.
解:由 $ y = -x^{2}+bx + 4 $ 可知抛物线的对称轴为直线 $ x = $.
由抛物线经过 $ (-2,n) $ 和 $ (4,n) $ 两点,可知其对称轴为直线 $ x = $
$ \therefore $
将点 $ (-2,n) $ 代入函数解析式,可得 $ n = $
【解题关键】若抛物线上不重合的两个点的坐标分别为 $ A(x_{1},y_{1}),B(x_{2},y_{2}) $,且 $ y_{1}=y_{2} $,则 $ A,B $ 两点关于抛物线的对称轴对称,且该抛物线的对称轴为直线 $ x=\frac{x_{1}+x_{2}}{2} $.
解:由 $ y = -x^{2}+bx + 4 $ 可知抛物线的对称轴为直线 $ x = $.
$\dfrac{b}{2}$
由抛物线经过 $ (-2,n) $ 和 $ (4,n) $ 两点,可知其对称轴为直线 $ x = $
$\dfrac{-2+4}{2}$
.$ \therefore $
1
=$\dfrac{b}{2}$
,解得 $ b = $2
. $ \therefore $ 抛物线的解析式为 $ y = $$-x^{2}+2x+4$
.将点 $ (-2,n) $ 代入函数解析式,可得 $ n = $
$-4$
.
答案:
【例】$\dfrac{b}{2}$ $\dfrac{-2+4}{2}$ 1 $\dfrac{b}{2}$ 1 2 $-x^{2}+2x+4$ $-4$
1.(昭通昭阳区期末)已知二次函数的图象经过点 $ (2,4) $ 和 $ (8,4) $,那么该二次函数图象的对称轴是直线
$x=5$
.
答案:
1.$x=5$
2. 二次函数 $ y = ax^{2}+bx + c $ 的部分对应值如下表:

则它的图象的对称轴为直线 $ x = $
则它的图象的对称轴为直线 $ x = $
1
;当 $ x = 2 $ 时,对应的函数值为$-8$
.
答案:
2.1 $-8$
3. 已知二次函数 $ y = -x^{2}-2x + m $ 的部分图象如图所示,则关于 $ x $ 的一元二次方程 $ -x^{2}-2x + m = 0 $ 的解为
【拓展提问】不等式 $ -x^{2}-2x + m\lt0 $ 的解集为________________.

$x_{1}=-3$,$x_{2}=1$
.【拓展提问】不等式 $ -x^{2}-2x + m\lt0 $ 的解集为________________.
答案:
3.$x_{1}=-3$,$x_{2}=1$ 【拓展提问】 $x < -3$或$x > 1$
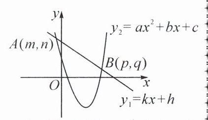
微专题3 直线与抛物线的交点问题

【方法指导】(1)若直线 $ y_{1}=kx + h $ 与抛物线 $ y_{2}=ax^{2}+bx + c $ 没有交点,则方程 $ ax^{2}+bx + c = kx + h $ 中 $ \Delta\lt0 $;
(2)若直线 $ y_{1}=kx + h $ 与抛物线 $ y_{2}=ax^{2}+bx + c $ 有一个交点,则方程 $ ax^{2}+bx + c = kx + h $ 中 $ \Delta $
(3)如图,直线 $ y_{1}=kx + h $ 与抛物线 $ y_{2}=ax^{2}+bx + c $ 交于点 $ A(m,n),B(p,q) $,则方程 $ ax^{2}+bx + c = kx + h $ 的根为 $ x_{1}=m,x_{2}=p $,不等式 $ y_{1}\lt y_{2} $ 的解集为 $ x\lt m $ 或 $ x\gt p $,不等式 $ y_{1}\gt y_{2} $ 的解集为
【方法指导】(1)若直线 $ y_{1}=kx + h $ 与抛物线 $ y_{2}=ax^{2}+bx + c $ 没有交点,则方程 $ ax^{2}+bx + c = kx + h $ 中 $ \Delta\lt0 $;
(2)若直线 $ y_{1}=kx + h $ 与抛物线 $ y_{2}=ax^{2}+bx + c $ 有一个交点,则方程 $ ax^{2}+bx + c = kx + h $ 中 $ \Delta $
$=0$
;(3)如图,直线 $ y_{1}=kx + h $ 与抛物线 $ y_{2}=ax^{2}+bx + c $ 交于点 $ A(m,n),B(p,q) $,则方程 $ ax^{2}+bx + c = kx + h $ 的根为 $ x_{1}=m,x_{2}=p $,不等式 $ y_{1}\lt y_{2} $ 的解集为 $ x\lt m $ 或 $ x\gt p $,不等式 $ y_{1}\gt y_{2} $ 的解集为
$m < x < p$
.
答案:
【方法指导】
(2)$=0$
(3)$m < x < p$
(2)$=0$
(3)$m < x < p$
1. 如图,抛物线 $ y_{1}=ax^{2} $ 与直线 $ y_{2}=bx + c $ 的两个交点坐标分别为 $ A(m,-\frac{9}{4}),B(1,-1) $.

(1)$ m $ 的值为
(2)不等式 $ y_{1}\gt y_{2} $ 的解集是
(1)$ m $ 的值为
$-\dfrac{3}{2}$
,方程 $ ax^{2}-bx - c = 0 $ 的解是$x_{1}=-\dfrac{3}{2}$,$x_{2}=1$
;(2)不等式 $ y_{1}\gt y_{2} $ 的解集是
$-\dfrac{3}{2} < x < 1$
,不等式 $ y_{1}\leqslant y_{2} $ 的解集是$x \leqslant -\dfrac{3}{2}$或$x \geqslant 1$
.
答案:
1.
(1)$-\dfrac{3}{2}$ $x_{1}=-\dfrac{3}{2}$,$x_{2}=1$
(2)$-\dfrac{3}{2} < x < 1$ $x \leqslant -\dfrac{3}{2}$或$x \geqslant 1$
(1)$-\dfrac{3}{2}$ $x_{1}=-\dfrac{3}{2}$,$x_{2}=1$
(2)$-\dfrac{3}{2} < x < 1$ $x \leqslant -\dfrac{3}{2}$或$x \geqslant 1$
2. 已知二次函数 $ y_{1}=x^{2}+bx - 3 $ 的图象与直线 $ y_{2}=x + 1 $ 交于点 $ A(-1,0) $,$ C(4,m) $.
(1)$ b = $
(2)将直线 $ AC $ 沿 $ y $ 轴上下平移,当平移后的直线与抛物线只有一个公共点时,求平移后的直线解析式.
(1)$ b = $
$-2$
,$ m = $5
.(2)将直线 $ AC $ 沿 $ y $ 轴上下平移,当平移后的直线与抛物线只有一个公共点时,求平移后的直线解析式.
答案:
2.解:
(1)$-2$ 5
(2)设直线$AC$平移后的解析式为$y=x+k$.联立$\begin{cases} y=x+k, \\ y=x^{2}-2x-3, \end{cases}$得$x^{2}-3x-3-k=0$.$\because$平移后的直线与抛物线只有一个公共点,$\therefore \Delta =(-3)^{2}-4(-k-3)=0$,解得$k=-\dfrac{21}{4}$.$\therefore$平移后的直线解析式为$y=x-\dfrac{21}{4}$.
(1)$-2$ 5
(2)设直线$AC$平移后的解析式为$y=x+k$.联立$\begin{cases} y=x+k, \\ y=x^{2}-2x-3, \end{cases}$得$x^{2}-3x-3-k=0$.$\because$平移后的直线与抛物线只有一个公共点,$\therefore \Delta =(-3)^{2}-4(-k-3)=0$,解得$k=-\dfrac{21}{4}$.$\therefore$平移后的直线解析式为$y=x-\dfrac{21}{4}$.
查看更多完整答案,请扫码查看