第34页
- 第1页
- 第2页
- 第3页
- 第4页
- 第5页
- 第6页
- 第7页
- 第8页
- 第9页
- 第10页
- 第11页
- 第12页
- 第13页
- 第14页
- 第15页
- 第16页
- 第17页
- 第18页
- 第19页
- 第20页
- 第21页
- 第22页
- 第23页
- 第24页
- 第25页
- 第26页
- 第27页
- 第28页
- 第29页
- 第30页
- 第31页
- 第32页
- 第33页
- 第34页
- 第35页
- 第36页
- 第37页
- 第38页
- 第39页
- 第40页
- 第41页
- 第42页
- 第43页
- 第44页
- 第45页
- 第46页
- 第47页
- 第48页
- 第49页
- 第50页
- 第51页
- 第52页
- 第53页
- 第54页
- 第55页
- 第56页
- 第57页
- 第58页
- 第59页
- 第60页
- 第61页
- 第62页
- 第63页
- 第64页
- 第65页
- 第66页
- 第67页
- 第68页
- 第69页
- 第70页
- 第71页
- 第72页
- 第73页
- 第74页
- 第75页
- 第76页
- 第77页
- 第78页
- 第79页
- 第80页
- 第81页
- 第82页
- 第83页
- 第84页
- 第85页
- 第86页
- 第87页
- 第88页
- 第89页
- 第90页
- 第91页
- 第92页
- 第93页
- 第94页
- 第95页
- 第96页
- 第97页
- 第98页
- 第99页
- 第100页
- 第101页
- 第102页
- 第103页
- 第104页
- 第105页
- 第106页
- 第107页
- 第108页
- 第109页
- 第110页
- 第111页
- 第112页
- 第113页
- 第114页
- 第115页
- 第116页
- 第117页
- 第118页
- 第119页
- 第120页
- 第121页
- 第122页
- 第123页
- 第124页
- 第125页
- 第126页
- 第127页
- 第128页
- 第129页
- 第130页
- 第131页
- 第132页
- 第133页
- 第134页
- 第135页
- 第136页
- 第137页
- 第138页
- 第139页
- 第140页
- 第141页
- 第142页
- 第143页
- 第144页
- 第145页
- 第146页
- 第147页
- 第148页
- 第149页
- 第150页
- 第151页
- 第152页
- 第153页
- 第154页
9. 一个长方形的面积为$4a^{2}-2ab$,且一边长为$2a$,则该长方形的周长为 。
答案:
$8a - 2b$
10. 若$3x^{2}+kx + 4$被$3x - 1$除后余2,则$k$的值为 。
答案:
$-7$
11. 丽丽与娜娜在做数学小游戏,两人各报一个整式,丽丽报的整式$A$作被除式,娜娜报的整式$B$作除式,要求商式必须为$-3xy$(即$A\div B=-3xy$)。
(1)若丽丽报的是$x^{3}y - 6xy^{2}$,则娜娜应报什么整式?
(2)若娜娜报的是$x^{3}y - 6xy^{2}$,则丽丽能报一个整式吗?若能,请写出这个整式。
(1)若丽丽报的是$x^{3}y - 6xy^{2}$,则娜娜应报什么整式?
(2)若娜娜报的是$x^{3}y - 6xy^{2}$,则丽丽能报一个整式吗?若能,请写出这个整式。
答案:
(1)$\because A=x^{3}y-6xy^{2}$,
$\therefore B=(x^{3}y-6xy^{2})\div(-3xy)=-\frac{1}{3}x^{2}+2y$。
(2)能。$A=(x^{3}y-6xy^{2})(-3xy)=-3x^{4}y^{2}+18x^{2}y^{3}$。
(1)$\because A=x^{3}y-6xy^{2}$,
$\therefore B=(x^{3}y-6xy^{2})\div(-3xy)=-\frac{1}{3}x^{2}+2y$。
(2)能。$A=(x^{3}y-6xy^{2})(-3xy)=-3x^{4}y^{2}+18x^{2}y^{3}$。
12. 已知多项式$x^{3}-2x^{2}+ax - 2$除以多项式$bx - 1$,商式为$x^{2}-x + 2$,求$a$,$b$的值。
答案:
由题意得$x^{3}-2x^{2}+ax - 2=(bx - 1)(x^{2}-x + 2)$,
$\therefore x^{3}-2x^{2}+ax - 2=bx^{3}-(b + 1)x^{2}+(2b + 1)x-2$。
$\therefore b = 1$,$b + 1=2$,$a = 2b + 1$。$\therefore a = 3$,$b = 1$。
$\therefore x^{3}-2x^{2}+ax - 2=bx^{3}-(b + 1)x^{2}+(2b + 1)x-2$。
$\therefore b = 1$,$b + 1=2$,$a = 2b + 1$。$\therefore a = 3$,$b = 1$。
13. 一个长方形的面积为$a^{2}+2a$,若一边长为$a$,则另一边长为 。
答案:
$a + 2$
14.【武汉】计算:$[a^{3}\cdot a^{5}+(3a^{4})^{2}]\div a^{2}$。
答案:
原式$=(a^{8}+9a^{8})\div a^{2}=10a^{8}\div a^{2}=10a^{6}$。
15. 两个多项式相除,可以先把这两个多项式都按照同一字母降幂排列,然后再仿照两个多位数相除的计算方法,用竖式进行计算。例如$(7x + 2+6x^{2})\div(2x + 1)$,仿照$672\div21$计算如图。因此$(7x + 2+6x^{2})\div(2x + 1)=3x + 2$。
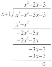
(1)阅读上述材料后,试判断$x^{3}-x^{2}-5x - 3$能否被$x + 1$整除,并说明理由。
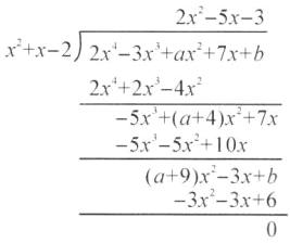
(2)若多项式$2x^{4}-3x^{3}+ax^{2}+7x + b$能被$x^{2}+x - 2$整除,求$\frac{a}{b}$的值。
(1)阅读上述材料后,试判断$x^{3}-x^{2}-5x - 3$能否被$x + 1$整除,并说明理由。
(2)若多项式$2x^{4}-3x^{3}+ax^{2}+7x + b$能被$x^{2}+x - 2$整除,求$\frac{a}{b}$的值。
答案:
(1)$x^{3}-x^{2}-5x - 3$能被$x + 1$整除。理由如下:
(2)若多项式$2x^{4}-3x^{3}+ax^{2}+7x + b$能被$x^{2}+x - 2$整除,则有
$\therefore a + 9=-3$,$a=-12$,$b = 6$。$\therefore\frac{a}{b}=-2$。
(1)$x^{3}-x^{2}-5x - 3$能被$x + 1$整除。理由如下:
(2)若多项式$2x^{4}-3x^{3}+ax^{2}+7x + b$能被$x^{2}+x - 2$整除,则有
$\therefore a + 9=-3$,$a=-12$,$b = 6$。$\therefore\frac{a}{b}=-2$。
查看更多完整答案,请扫码查看