第80页
- 第2页
- 第3页
- 第4页
- 第5页
- 第6页
- 第7页
- 第8页
- 第9页
- 第10页
- 第11页
- 第12页
- 第13页
- 第14页
- 第15页
- 第16页
- 第17页
- 第18页
- 第19页
- 第20页
- 第21页
- 第22页
- 第23页
- 第24页
- 第25页
- 第26页
- 第27页
- 第28页
- 第29页
- 第30页
- 第31页
- 第32页
- 第33页
- 第34页
- 第35页
- 第36页
- 第37页
- 第38页
- 第39页
- 第40页
- 第41页
- 第42页
- 第43页
- 第44页
- 第45页
- 第46页
- 第47页
- 第48页
- 第49页
- 第50页
- 第51页
- 第52页
- 第53页
- 第54页
- 第55页
- 第56页
- 第57页
- 第58页
- 第59页
- 第60页
- 第61页
- 第62页
- 第63页
- 第64页
- 第65页
- 第66页
- 第67页
- 第68页
- 第69页
- 第70页
- 第71页
- 第72页
- 第73页
- 第74页
- 第75页
- 第76页
- 第77页
- 第78页
- 第79页
- 第80页
- 第81页
- 第82页
- 第83页
- 第84页
- 第85页
- 第86页
- 第87页
- 第88页
- 第89页
- 第90页
- 第91页
- 第92页
- 第93页
- 第94页
- 第95页
- 第96页
- 第97页
- 第98页
- 第99页
- 第100页
- 第101页
- 第102页
- 第103页
- 第104页
- 第105页
- 第106页
- 第107页
- 第108页
- 第109页
- 第110页
- 第111页
- 第112页
- 第113页
- 第114页
- 第115页
- 第116页
- 第117页
- 第118页
- 第119页
- 第120页
- 第121页
- 第122页
- 第123页
- 第124页
- 第125页
- 第126页
- 第127页
- 第128页
- 第129页
- 第130页
- 第131页
- 第132页
- 第133页
- 第134页
- 第135页
- 第136页
- 第137页
- 第138页
- 第139页
- 第140页
- 第141页
- 第142页
- 第143页
- 第144页
- 第145页
- 第146页
- 第147页
- 第148页
- 第149页
- 第150页
- 第151页
- 第152页
- 第153页
- 第154页
- 第155页
- 第156页
- 第157页
- 第158页
- 第159页
- 第160页
- 第161页
- 第162页
- 第163页
- 第164页
- 第165页
- 第166页
- 第167页
- 第168页
- 第169页
- 第170页
- 第171页
- 第172页
- 第173页
- 第174页
- 第175页
- 第176页
- 第177页
- 第178页
- 第179页
- 第180页
- 第181页
如图所示,在平面直角坐标系中:
(1)描出点 $ A(-3,1) $,$ B(-4,0) $,$ C(0,3) $,$ D(2,1) $;
(2)描出点 $ A $,$ B $,$ C $,$ D $ 关于原点 $ O $ 的对称点 $ A' $,$ B' $,$ C' $,$ D' $,并完成下面表格。


(1)描出点 $ A(-3,1) $,$ B(-4,0) $,$ C(0,3) $,$ D(2,1) $;
(2)描出点 $ A $,$ B $,$ C $,$ D $ 关于原点 $ O $ 的对称点 $ A' $,$ B' $,$ C' $,$ D' $,并完成下面表格。
答案:
(3,-1) (4,0) (0,-3) (-2,-1)
探究 关于原点对称的点的坐标
问题:在上述问题中,关于原点 $ O $ 对称的两个点的坐标有什么关系?
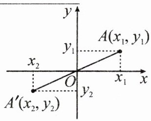
归纳:如图,若点 $ A(x_1,y_1) $ 与点 $ A'(x_2,y_2) $ 关于原点对称,则 $ x_1 $ 与 $ x_2 $ 互为
结论:点 $ P(x,y) $ 关于原点对称的点的坐标为

问题:在上述问题中,关于原点 $ O $ 对称的两个点的坐标有什么关系?
坐标符号相反
。归纳:如图,若点 $ A(x_1,y_1) $ 与点 $ A'(x_2,y_2) $ 关于原点对称,则 $ x_1 $ 与 $ x_2 $ 互为
相反数
,$ y_1 $ 与 $ y_2 $ 互为相反数
。结论:点 $ P(x,y) $ 关于原点对称的点的坐标为
(-x,-y)
;点(x
$-y)
P(x,y) $ 关于 $ x $ 轴对称的点的坐标为(x,-y)
;点 $ P(x,y) $ 关于 $ y $ 轴对称的点的坐标为(-x,y)
。
答案:
坐标符号相反;相反数,相反数;(-x,-y),(x,-y),(-x,y)
1. (1)点 $ A(2,1) $ 关于原点对称的点的坐标为______;
(2)点 $ A(-2,1) $ 关于原点对称的点的坐标为______;
(3)点 $ (-2,0) $ 与点(,)关于原点对称。
(2)点 $ A(-2,1) $ 关于原点对称的点的坐标为______;
(3)点 $ (-2,0) $ 与点(,)关于原点对称。
答案:
1.
(1)(-2,-1)
(2)(2,-1)
(3)2 0
(1)(-2,-1)
(2)(2,-1)
(3)2 0
2. 【例1】如图,点 $ A $ 与点 $ A' $ 关于原点对称,请画出点 $ A' $,写出点 $ A' $ 的坐标。
答案:
解:
,
A'(-2,-1).
解:
,
A'(-2,-1).
3. 如图,点 $ A $ 与点 $ A' $ 关于原点对称,请画出点 $ A' $,写出点 $ A' $ 的坐标。

答案:
解:
,A'(3,-2).
解:
,A'(3,-2).
查看更多完整答案,请扫码查看