第84页
- 第1页
- 第2页
- 第3页
- 第4页
- 第5页
- 第6页
- 第7页
- 第8页
- 第9页
- 第10页
- 第11页
- 第12页
- 第13页
- 第14页
- 第15页
- 第16页
- 第17页
- 第18页
- 第19页
- 第20页
- 第21页
- 第22页
- 第23页
- 第24页
- 第25页
- 第26页
- 第27页
- 第28页
- 第29页
- 第30页
- 第31页
- 第32页
- 第33页
- 第34页
- 第35页
- 第36页
- 第37页
- 第38页
- 第39页
- 第40页
- 第41页
- 第42页
- 第43页
- 第44页
- 第45页
- 第46页
- 第47页
- 第48页
- 第49页
- 第50页
- 第51页
- 第52页
- 第53页
- 第54页
- 第55页
- 第56页
- 第57页
- 第58页
- 第59页
- 第60页
- 第61页
- 第62页
- 第63页
- 第64页
- 第65页
- 第66页
- 第67页
- 第68页
- 第69页
- 第70页
- 第71页
- 第72页
- 第73页
- 第74页
- 第75页
- 第76页
- 第77页
- 第78页
- 第79页
- 第80页
- 第81页
- 第82页
- 第83页
- 第84页
- 第85页
- 第86页
- 第87页
- 第88页
- 第89页
- 第90页
- 第91页
- 第92页
- 第93页
- 第94页
- 第95页
- 第96页
- 第97页
- 第98页
- 第99页
- 第100页
- 第101页
- 第102页
- 第103页
- 第104页
- 第105页
- 第106页
- 第107页
- 第108页
- 第109页
- 第110页
- 第111页
- 第112页
- 第113页
- 第114页
- 第115页
- 第116页
- 第117页
- 第118页
- 第119页
- 第120页
- 第121页
- 第122页
- 第123页
- 第124页
- 第125页
- 第126页
- 第127页
- 第128页
- 第129页
- 第130页
- 第131页
- 第132页
- 第133页
- 第134页
- 第135页
- 第136页
- 第137页
- 第138页
- 第139页
- 第140页
- 第141页
- 第142页
- 第143页
- 第144页
- 第145页
- 第146页
- 第147页
- 第148页
- 第149页
- 第150页
- 第151页
- 第152页
- 第153页
- 第154页
- 第155页
- 第156页
- 第157页
- 第158页
- 第159页
- 第160页
- 第161页
- 第162页
- 第163页
- 第164页
- 第165页
- 第166页
- 第167页
- 第168页
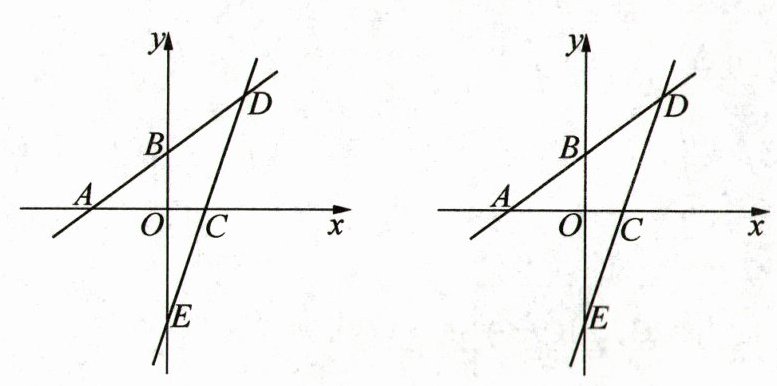
27. (12分)新趋势 推导探究 如图,一次函数$y= \frac{3}{4}x+3的图象分别与x$轴、$y轴相交于点A,B$,且与经过点$C(2,0)的一次函数y= kx+b的图象相交于点D$,点$D$的横坐标为4,直线$CD与y轴相交于点E$.
(1) 直线$CD$的函数表达式为
(2) 在$x轴上求一点P$,使$\triangle PAD$为等腰三角形,直接写出所有满足条件的点$P$的坐标;
(3) 若$Q为线段DE$上的一个动点,连接$BQ$,则点$Q$是否存在某个位置,使得将$\triangle BQD沿着直线BQ$翻折后,点$D恰好落在直线AB下方的y$轴上? 若存在,求点$Q$的坐标;若不存在,请说明理由.

(1) 直线$CD$的函数表达式为
y = 3x - 6
;(2) 在$x轴上求一点P$,使$\triangle PAD$为等腰三角形,直接写出所有满足条件的点$P$的坐标;
(6,0),(-14,0),(12,0),($\frac{9}{4}$,0)
(3) 若$Q为线段DE$上的一个动点,连接$BQ$,则点$Q$是否存在某个位置,使得将$\triangle BQD沿着直线BQ$翻折后,点$D恰好落在直线AB下方的y$轴上? 若存在,求点$Q$的坐标;若不存在,请说明理由.
存在,点Q的坐标为($\frac{18}{13}$,$-\frac{12}{13}$)
答案:
(1)y = 3x - 6
(2)过点D作DF⊥x轴于点F,则∠AFD = 90°.因为D(4,6),所以OF = 4,DF = 6.在y = $\frac{3}{4}$x + 3中,令y = 0,得$\frac{3}{4}$x + 3 = 0,解得x = - 4,所以A(- 4,0),所以OA = 4,所以AF = OA + OF = 8,所以AD = $\sqrt{AF² + DF²}$ = 10.因为△PAD为等腰三角形,所以分类讨论如下:①若AP = AD = 10,则点P的坐标为(- 4 + 10,0)或(- 4 - 10,0),即(6,0)或(- 14,0);②若DP = AD,则PF = AF = 8,所以点P的坐标为(4 + 8,0),即(12,0);③若AP = DP,则P为线段AD的垂直平分线与x轴的交点.设AP = DP = x,则PF = AF - AP = 8 - x.因为PF² + DF² = DP²,所以(8 - x)² + 6² = x²,解得x = $\frac{25}{4}$,即AP = $\frac{25}{4}$,所以点P的坐标为($\frac{25}{4}$ - 4,0),即($\frac{9}{4}$,0).综上所述,所有满足条件的点P的坐标为(6,0),(- 14,0),(12,0),($\frac{9}{4}$,0).
(3)假设存在.如图,设翻折后点D的对应点为D',连接DD'交BQ于点H.由翻折的性质,得BD' = BD,H是DD'的中点.在y = $\frac{3}{4}$x + 3中,令x = 0,得y = 3,所以B(0,
(1)y = 3x - 6
(2)过点D作DF⊥x轴于点F,则∠AFD = 90°.因为D(4,6),所以OF = 4,DF = 6.在y = $\frac{3}{4}$x + 3中,令y = 0,得$\frac{3}{4}$x + 3 = 0,解得x = - 4,所以A(- 4,0),所以OA = 4,所以AF = OA + OF = 8,所以AD = $\sqrt{AF² + DF²}$ = 10.因为△PAD为等腰三角形,所以分类讨论如下:①若AP = AD = 10,则点P的坐标为(- 4 + 10,0)或(- 4 - 10,0),即(6,0)或(- 14,0);②若DP = AD,则PF = AF = 8,所以点P的坐标为(4 + 8,0),即(12,0);③若AP = DP,则P为线段AD的垂直平分线与x轴的交点.设AP = DP = x,则PF = AF - AP = 8 - x.因为PF² + DF² = DP²,所以(8 - x)² + 6² = x²,解得x = $\frac{25}{4}$,即AP = $\frac{25}{4}$,所以点P的坐标为($\frac{25}{4}$ - 4,0),即($\frac{9}{4}$,0).综上所述,所有满足条件的点P的坐标为(6,0),(- 14,0),(12,0),($\frac{9}{4}$,0).
(3)假设存在.如图,设翻折后点D的对应点为D',连接DD'交BQ于点H.由翻折的性质,得BD' = BD,H是DD'的中点.在y = $\frac{3}{4}$x + 3中,令x = 0,得y = 3,所以B(0,
查看更多完整答案,请扫码查看