第62页
- 第1页
- 第2页
- 第3页
- 第4页
- 第5页
- 第6页
- 第7页
- 第8页
- 第9页
- 第10页
- 第11页
- 第12页
- 第13页
- 第14页
- 第15页
- 第16页
- 第17页
- 第18页
- 第19页
- 第20页
- 第21页
- 第22页
- 第23页
- 第24页
- 第25页
- 第26页
- 第27页
- 第28页
- 第29页
- 第30页
- 第31页
- 第32页
- 第33页
- 第34页
- 第35页
- 第36页
- 第37页
- 第38页
- 第39页
- 第40页
- 第41页
- 第42页
- 第43页
- 第44页
- 第45页
- 第46页
- 第47页
- 第48页
- 第49页
- 第50页
- 第51页
- 第52页
- 第53页
- 第54页
- 第55页
- 第56页
- 第57页
- 第58页
- 第59页
- 第60页
- 第61页
- 第62页
- 第63页
- 第64页
- 第65页
- 第66页
- 第67页
- 第68页
- 第69页
- 第70页
- 第71页
- 第72页
- 第73页
- 第74页
- 第75页
- 第76页
- 第77页
- 第78页
- 第79页
- 第80页
- 第81页
- 第82页
- 第83页
- 第84页
- 第85页
- 第86页
- 第87页
- 第88页
- 第89页
- 第90页
- 第91页
- 第92页
- 第93页
- 第94页
- 第95页
- 第96页
- 第97页
- 第98页
- 第99页
- 第100页
- 第101页
- 第102页
- 第103页
- 第104页
- 第105页
- 第106页
- 第107页
- 第108页
- 第109页
- 第110页
- 第111页
- 第112页
- 第113页
- 第114页
- 第115页
- 第116页
- 第117页
- 第118页
- 第119页
- 第120页
- 第121页
- 第122页
- 第123页
- 第124页
- 第125页
- 第126页
- 第127页
- 第128页
- 第129页
- 第130页
- 第131页
- 第132页
- 第133页
- 第134页
- 第135页
- 第136页
- 第137页
- 第138页
- 第139页
- 第140页
- 第141页
- 第142页
- 第143页
- 第144页
- 第145页
- 第146页
- 第147页
- 第148页
- 第149页
- 第150页
- 第151页
- 第152页
- 第153页
- 第154页
- 第155页
- 第156页
- 第157页
- 第158页
- 第159页
- 第160页
- 第161页
- 第162页
- 第163页
- 第164页
- 第165页
- 第166页
- 第167页
- 第168页
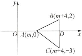
8. 已知 $ \triangle ABC $,建立适当的平面直角坐标系后,其三个顶点的坐标分别为 $ A(m,0),B(m + 4,2),C(m + 4,-3) $,则下列关于该三角形三边关系的判断正确的是 ( )
A.$ AC = BC \neq AB $
B.$ AB = AC \neq BC $
C.$ AB = BC \neq AC $
D.$ AB = AC = BC $
A.$ AC = BC \neq AB $
B.$ AB = AC \neq BC $
C.$ AB = BC \neq AC $
D.$ AB = AC = BC $
答案:
A 解析:如图,设BC与x轴交于点D,则由题意可得∠ADB=∠ADC=90°,AD=4,BD=2,CD=3,所以AC=√(AD²+CD²)=5,BC=BD+CD=5,AB=√(AD²+BD²)=√20,所以AC=BC≠AB。
A 解析:如图,设BC与x轴交于点D,则由题意可得∠ADB=∠ADC=90°,AD=4,BD=2,CD=3,所以AC=√(AD²+CD²)=5,BC=BD+CD=5,AB=√(AD²+BD²)=√20,所以AC=BC≠AB。
9. (2024·甘肃甘南)若点 $ P(3m + 1,2 - m) $ 在 $ x $ 轴上,则点 $ P $ 的坐标是
(7,0)
.
答案:
(7,0)
10. (2023·湖南湘西)在平面直角坐标系中,已知点 $ P(a,1) $ 与点 $ Q(2,b) $ 关于 $ x $ 轴对称,则 $ a + b = $
1
.
答案:
1
11. 如图,在平面直角坐标系中,点 $ A $ 的坐标为 $ (-2,0) $,点 $ B $ 在 $ y $ 轴正半轴上,连接 $ BA $,以点 $ B $ 为圆心,$ BA $ 为半径作弧,交 $ x $ 轴正半轴于点 $ C $,则点 $ C $ 的坐标为
(2,0)
.
答案:
(2,0)
12. 亮点原创 已知点 $ A(a + 2,a^2 - 9) $ 在 $ x $ 轴负半轴上. 将点 $ A $ 先向下平移 3 个单位长度,再关于原点对称后得点 $ B(m,n) $,则 $ (2m - n)^{2025} $ 的立方根为
−1
.
答案:
−1
13. 新素养 应用意识 如图,小刚在兰州市平面地图的部分区域建立了平面直角坐标系. 如果白塔山公园的坐标是 $ (2,2) $,中山桥的坐标是 $ (3,0) $,那么黄河母亲像的坐标是______

(−4,1)
.
答案:
(−4,1)
14. 如图,在平面直角坐标系中,$ O $ 是原点,点 $ A $ 的坐标为 $ (-3,3) $,点 $ C $ 的坐标为 $ (-1,0) $,将点 $ A $ 绕点 $ C $ 顺时针旋转 $ 90^{\circ} $ 得到点 $ B $,则 $ B $ 的坐标为
(2,2)
.
答案:
(2,2)
15. 如图,在平面直角坐标系中,$ O $ 是原点,点 $ A $ 在 $ x $ 轴正半轴上,$ \triangle OAB $ 为等腰三角形,$ OA = AB = 5 $,点 $ B $ 到 $ x $ 轴的距离为 4. 若将 $ \triangle OAB $ 绕点 $ O $ 逆时针旋转 $ 90^{\circ} $,得到 $ \triangle OA'B' $,则点 $ B' $ 的坐标为__
(−4,8)
__.
答案:
(−4,8)
16. 如图,在平面直角坐标系中,点 $ A $ 的坐标为 $ (1,0) $,点 $ B $ 的坐标为 $ (1,4) $,点 $ C $ 的坐标为 $ (-2,6) $. 若存在异于点 $ C $ 的点 $ D $,使得 $ \triangle ABD $ 与 $ \triangle ABC $ 全等,则点 $ D $ 的坐标为
(4,6)或(−2,−2)或(4,−2)
.
答案:
(4,6)或(−2,−2)或(4,−2)
17. (2025·江苏连云港模拟)如图,把平面内一条数轴 $ x $ 绕原点 $ O $ 逆时针旋转角 $ \theta(0^{\circ} \lt \theta \lt 90^{\circ}) $ 得到另一条数轴 $ y $,$ x $ 轴和 $ y $ 轴构成一个平面斜坐标系. 规定:过点 $ P $ 作 $ y $ 轴的平行线,交 $ x $ 轴于点 $ A $,过点 $ P $ 作 $ x $ 轴的平行线,交 $ y $ 轴于点 $ B $. 若点 $ A $ 在 $ x $ 轴上对应的实数为 $ a $,点 $ B $ 在 $ y $ 轴上对应的实数为 $ b $,则称有序实数对 $ (a,b) $ 为点 $ P $ 的斜坐标. 在某平面斜坐标系中,已知 $ \theta = 60^{\circ} $,点 $ M $ 的斜坐标为 $ (3,2) $,点 $ N $ 与点 $ M $ 关于 $ y $ 轴对称,则点 $ N $ 的斜坐标为______.

答案:
(−3,5) 解析:如图,过点M作MA//y轴,MB//x轴,分别交x轴、y轴于点A,B,连接MN,交y轴于点K,过点N作NC//y轴,ND//x轴,分别交x轴、y轴于点C,D,则∠MBK=∠AOB=60°,ND//MB,所以∠DNK=∠BMK。因为点M的斜坐标为(3,2),所以OA=3,OB=2,所以MB=OA=3。因为点N与点M关于y轴对称,所以NK=MK,BD⊥MN,所以∠BKM=90°。在△NDK和△MBK中,{∠DKN=∠BKM,NK=MK,∠DNK=∠BMK},所以△NDK≌△MBK(ASA),所以ND=MB=3,DK=BK。因为∠BMK=90°-∠MBK=30°,所以DK=BK=1/2MB=1.5,所以OD=OB+BK+DK=5。因为OC=ND=3,所以点N的斜坐标为(−3,5)。
(−3,5) 解析:如图,过点M作MA//y轴,MB//x轴,分别交x轴、y轴于点A,B,连接MN,交y轴于点K,过点N作NC//y轴,ND//x轴,分别交x轴、y轴于点C,D,则∠MBK=∠AOB=60°,ND//MB,所以∠DNK=∠BMK。因为点M的斜坐标为(3,2),所以OA=3,OB=2,所以MB=OA=3。因为点N与点M关于y轴对称,所以NK=MK,BD⊥MN,所以∠BKM=90°。在△NDK和△MBK中,{∠DKN=∠BKM,NK=MK,∠DNK=∠BMK},所以△NDK≌△MBK(ASA),所以ND=MB=3,DK=BK。因为∠BMK=90°-∠MBK=30°,所以DK=BK=1/2MB=1.5,所以OD=OB+BK+DK=5。因为OC=ND=3,所以点N的斜坐标为(−3,5)。
查看更多完整答案,请扫码查看