2025年经纶学典5星学霸七年级数学上册苏科版
注:目前有些书本章节名称可能整理的还不是很完善,但都是按照顺序排列的,请同学们按照顺序仔细查找。练习册 2025年经纶学典5星学霸七年级数学上册苏科版 答案主要是用来给同学们做完题方便对答案用的,请勿直接抄袭。
第143页
- 第1页
- 第2页
- 第3页
- 第4页
- 第5页
- 第6页
- 第7页
- 第8页
- 第9页
- 第10页
- 第11页
- 第12页
- 第13页
- 第14页
- 第15页
- 第16页
- 第17页
- 第18页
- 第19页
- 第20页
- 第21页
- 第22页
- 第23页
- 第24页
- 第25页
- 第26页
- 第27页
- 第28页
- 第29页
- 第30页
- 第31页
- 第32页
- 第33页
- 第34页
- 第35页
- 第36页
- 第37页
- 第38页
- 第39页
- 第40页
- 第41页
- 第42页
- 第43页
- 第44页
- 第45页
- 第46页
- 第47页
- 第48页
- 第49页
- 第50页
- 第51页
- 第52页
- 第53页
- 第54页
- 第55页
- 第56页
- 第57页
- 第58页
- 第59页
- 第60页
- 第61页
- 第62页
- 第63页
- 第64页
- 第65页
- 第66页
- 第67页
- 第68页
- 第69页
- 第70页
- 第71页
- 第72页
- 第73页
- 第74页
- 第75页
- 第76页
- 第77页
- 第78页
- 第79页
- 第80页
- 第81页
- 第82页
- 第83页
- 第84页
- 第85页
- 第86页
- 第87页
- 第88页
- 第89页
- 第90页
- 第91页
- 第92页
- 第93页
- 第94页
- 第95页
- 第96页
- 第97页
- 第98页
- 第99页
- 第100页
- 第101页
- 第102页
- 第103页
- 第104页
- 第105页
- 第106页
- 第107页
- 第108页
- 第109页
- 第110页
- 第111页
- 第112页
- 第113页
- 第114页
- 第115页
- 第116页
- 第117页
- 第118页
- 第119页
- 第120页
- 第121页
- 第122页
- 第123页
- 第124页
- 第125页
- 第126页
- 第127页
- 第128页
- 第129页
- 第130页
- 第131页
- 第132页
- 第133页
- 第134页
- 第135页
- 第136页
- 第137页
- 第138页
- 第139页
- 第140页
- 第141页
- 第142页
- 第143页
- 第144页
- 第145页
- 第146页
- 第147页
- 第148页
- 第149页
- 第150页
- 第151页
- 第152页
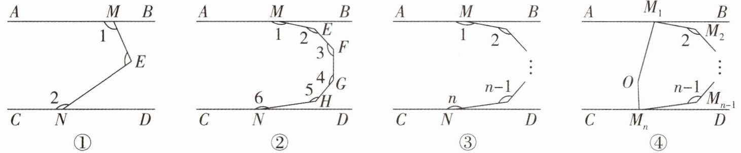
【模型】(1)如图①,已知AB//CD,说明:∠1 + ∠MEN + ∠2 = 360°;
【应用】(2)如图②,已知AB//CD,则∠1 + ∠2 + ∠3 + ∠4 + ∠5 + ∠6的度数为______;
如图③,已知AB//CD,则∠1 + ∠2 + ∠3 + ∠4 + ∠5 + ∠6 + … + ∠n的度数为______;
(3)如图④,已知$AB//CD,∠AM_1M_2$的平分线$M_1O$与$∠CMₙMₙ₋_1$的平分线MₙO交于点O,若$∠M_1OMₙ = m°。$在(2)的基础上,求∠2 + ∠3 + ∠4 + ∠5 + ∠6 + … + ∠(n - 1)的度数(用含m,n的代数式表示)。

【应用】(2)如图②,已知AB//CD,则∠1 + ∠2 + ∠3 + ∠4 + ∠5 + ∠6的度数为______;
如图③,已知AB//CD,则∠1 + ∠2 + ∠3 + ∠4 + ∠5 + ∠6 + … + ∠n的度数为______;
(3)如图④,已知$AB//CD,∠AM_1M_2$的平分线$M_1O$与$∠CMₙMₙ₋_1$的平分线MₙO交于点O,若$∠M_1OMₙ = m°。$在(2)的基础上,求∠2 + ∠3 + ∠4 + ∠5 + ∠6 + … + ∠(n - 1)的度数(用含m,n的代数式表示)。
答案:
如图①,过点E作EF//CD.因为AB//CD,所以EF//AB,所以∠1+∠MEF=180°,同理∠2+∠NEF=180°,所以∠1+∠MEN+∠2=360°.
@@900° 180°(n-1) 解析:如图②,分别过点E,F,G,H作l₁,l₂,l₃,l₄平行于AB,利用
(1)的方法可得∠1+∠2+∠3+∠4+∠5+∠6=180°×5=900°.由上面的解题方法可得∠1+∠2+∠3+∠4+∠5+∠6+…+∠n=180°(n-1).故答案是900°;180°(n-1).
@@如图③,过点O作SR//AB.因为AB//CD,所以SR//CD,所以∠AM₁O=∠M₁OR,同理∠CMₙO=∠MₙOR,所以∠AM₁O+∠CMₙO=∠M₁OR+∠MₙOR,所以∠AM₁O+∠CMₙO=∠M₁OMₙ=m°.因为M₁O平分∠AM₁M₂,所以∠AM₁M₂=2∠AM₁O,同理∠CMₙMₙ₋₁=2∠CMₙO,所以∠AM₁M₂+∠CMₙMₙ₋₁=2∠AM₁O+2∠CMₙO=2∠M₁OMₙ=2m°.又因为∠AM₁M₂+∠2+∠3+∠4+∠5+∠6+…+∠(n-1)+∠CMₙMₙ₋₁=180°(n-1),所以∠2+∠3+∠4+∠5+∠6+…+∠(n-1)=(180n-180-2m)°.
如图①,过点E作EF//CD.因为AB//CD,所以EF//AB,所以∠1+∠MEF=180°,同理∠2+∠NEF=180°,所以∠1+∠MEN+∠2=360°.
@@900° 180°(n-1) 解析:如图②,分别过点E,F,G,H作l₁,l₂,l₃,l₄平行于AB,利用
(1)的方法可得∠1+∠2+∠3+∠4+∠5+∠6=180°×5=900°.由上面的解题方法可得∠1+∠2+∠3+∠4+∠5+∠6+…+∠n=180°(n-1).故答案是900°;180°(n-1).
@@如图③,过点O作SR//AB.因为AB//CD,所以SR//CD,所以∠AM₁O=∠M₁OR,同理∠CMₙO=∠MₙOR,所以∠AM₁O+∠CMₙO=∠M₁OR+∠MₙOR,所以∠AM₁O+∠CMₙO=∠M₁OMₙ=m°.因为M₁O平分∠AM₁M₂,所以∠AM₁M₂=2∠AM₁O,同理∠CMₙMₙ₋₁=2∠CMₙO,所以∠AM₁M₂+∠CMₙMₙ₋₁=2∠AM₁O+2∠CMₙO=2∠M₁OMₙ=2m°.又因为∠AM₁M₂+∠2+∠3+∠4+∠5+∠6+…+∠(n-1)+∠CMₙMₙ₋₁=180°(n-1),所以∠2+∠3+∠4+∠5+∠6+…+∠(n-1)=(180n-180-2m)°.
查看更多完整答案,请扫码查看