2025年经纶学典5星学霸七年级数学上册苏科版
注:目前有些书本章节名称可能整理的还不是很完善,但都是按照顺序排列的,请同学们按照顺序仔细查找。练习册 2025年经纶学典5星学霸七年级数学上册苏科版 答案主要是用来给同学们做完题方便对答案用的,请勿直接抄袭。
第121页
- 第1页
- 第2页
- 第3页
- 第4页
- 第5页
- 第6页
- 第7页
- 第8页
- 第9页
- 第10页
- 第11页
- 第12页
- 第13页
- 第14页
- 第15页
- 第16页
- 第17页
- 第18页
- 第19页
- 第20页
- 第21页
- 第22页
- 第23页
- 第24页
- 第25页
- 第26页
- 第27页
- 第28页
- 第29页
- 第30页
- 第31页
- 第32页
- 第33页
- 第34页
- 第35页
- 第36页
- 第37页
- 第38页
- 第39页
- 第40页
- 第41页
- 第42页
- 第43页
- 第44页
- 第45页
- 第46页
- 第47页
- 第48页
- 第49页
- 第50页
- 第51页
- 第52页
- 第53页
- 第54页
- 第55页
- 第56页
- 第57页
- 第58页
- 第59页
- 第60页
- 第61页
- 第62页
- 第63页
- 第64页
- 第65页
- 第66页
- 第67页
- 第68页
- 第69页
- 第70页
- 第71页
- 第72页
- 第73页
- 第74页
- 第75页
- 第76页
- 第77页
- 第78页
- 第79页
- 第80页
- 第81页
- 第82页
- 第83页
- 第84页
- 第85页
- 第86页
- 第87页
- 第88页
- 第89页
- 第90页
- 第91页
- 第92页
- 第93页
- 第94页
- 第95页
- 第96页
- 第97页
- 第98页
- 第99页
- 第100页
- 第101页
- 第102页
- 第103页
- 第104页
- 第105页
- 第106页
- 第107页
- 第108页
- 第109页
- 第110页
- 第111页
- 第112页
- 第113页
- 第114页
- 第115页
- 第116页
- 第117页
- 第118页
- 第119页
- 第120页
- 第121页
- 第122页
- 第123页
- 第124页
- 第125页
- 第126页
- 第127页
- 第128页
- 第129页
- 第130页
- 第131页
- 第132页
- 第133页
- 第134页
- 第135页
- 第136页
- 第137页
- 第138页
- 第139页
- 第140页
- 第141页
- 第142页
- 第143页
- 第144页
- 第145页
- 第146页
- 第147页
- 第148页
- 第149页
- 第150页
- 第151页
- 第152页
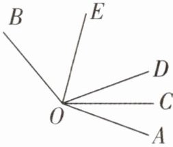
1. (1)写出图中所有能用一个字母表示的角.
(2)写出图中所有以A为顶点的角.
(3)图中共有几个角(大于$0^{\circ}小于等于180^{\circ}$)?把它们都写出来.

(2)写出图中所有以A为顶点的角.
(3)图中共有几个角(大于$0^{\circ}小于等于180^{\circ}$)?把它们都写出来.
答案:
1.
(1)能用一个字母表示的角有 2 个:∠B,∠D.
(2)以 A 为顶点的角有 6 个:∠BAD,∠BAC,∠BAE,∠DAC,∠CAE,∠DAE.
(3)图中所有的角有 11 个:∠BAD,∠BAC,∠BAE,∠DAC,∠CAE,∠DAE,∠D,∠ACD,∠ACB,∠BCD,∠B.
(1)能用一个字母表示的角有 2 个:∠B,∠D.
(2)以 A 为顶点的角有 6 个:∠BAD,∠BAC,∠BAE,∠DAC,∠CAE,∠DAE.
(3)图中所有的角有 11 个:∠BAD,∠BAC,∠BAE,∠DAC,∠CAE,∠DAE,∠D,∠ACD,∠ACB,∠BCD,∠B.
2. (1)若$∠α = 66^{\circ}12'$,则$∠α$的余角为
(2)已知$∠A与∠B$互余,且$∠A = 25^{\circ}$,则$∠B$的补角为
(3)一个角的余角比它的补角的$\frac{2}{3}还少40^{\circ}$,则这个角的度数为
23°48'
;$∠α$的补角为113°48'
.(2)已知$∠A与∠B$互余,且$∠A = 25^{\circ}$,则$∠B$的补角为
115
$^{\circ}$.(3)一个角的余角比它的补角的$\frac{2}{3}还少40^{\circ}$,则这个角的度数为
30
$^{\circ}$.
答案:
2.
(1)23°48' 113°48'
(2)115
(3)30
(1)23°48' 113°48'
(2)115
(3)30
3. 在直线AB上任取一点O,过点O作射线OC,OD,使$∠COD = 100^{\circ}$,当$∠AOC = 30^{\circ}$时,$∠BOD$的度数是
50°或 110°
.
答案:
3. 50°或 110°
4. 把一副三角尺按如图所示拼在一起.
(1)写出图中$∠A,∠B,∠BCD,∠D,∠AED$的度数;
(2)用“<”将上述各角连接起来.

(1)写出图中$∠A,∠B,∠BCD,∠D,∠AED$的度数;
(2)用“<”将上述各角连接起来.
答案:
4.
(1)∠A=30°,∠B=90°,∠BCD=150°,∠D=45°,∠AED=135°.
(2)∠A<∠D<∠B<∠AED<∠BCD.
(1)∠A=30°,∠B=90°,∠BCD=150°,∠D=45°,∠AED=135°.
(2)∠A<∠D<∠B<∠AED<∠BCD.
5. 整体思想 如图,已知OC是$∠AOD$的平分线,OE是$∠BOD$的平分线.
(1)若$∠AOB = 150^{\circ}$,求$∠COE$的度数;
(2)若$∠AOB = α$,则$∠COE = $
对点专练P134

(1)若$∠AOB = 150^{\circ}$,求$∠COE$的度数;
(2)若$∠AOB = α$,则$∠COE = $
$\frac{1}{2}\alpha$
.对点专练P134
(1)因为 OC 是∠AOD 的平分线,所以∠COD=$\frac{1}{2}$∠AOD.
因为 OE 是∠BOD 的平分线,所以∠EOD=$\frac{1}{2}$∠BOD,所以∠COE=∠COD+∠EOD=$\frac{1}{2}$∠AOD+$\frac{1}{2}$∠BOD=$\frac{1}{2}$(∠AOD+∠BOD)=$\frac{1}{2}$∠AOB.因为∠AOB=150°,所以∠COE=75°.
因为 OE 是∠BOD 的平分线,所以∠EOD=$\frac{1}{2}$∠BOD,所以∠COE=∠COD+∠EOD=$\frac{1}{2}$∠AOD+$\frac{1}{2}$∠BOD=$\frac{1}{2}$(∠AOD+∠BOD)=$\frac{1}{2}$∠AOB.因为∠AOB=150°,所以∠COE=75°.
答案:
5.
(1)因为 OC 是∠AOD 的平分线,所以∠COD=$\frac{1}{2}$∠AOD.
因为 OE 是∠BOD 的平分线,所以∠EOD=$\frac{1}{2}$∠BOD,所以∠COE=∠COD+∠EOD=$\frac{1}{2}$∠AOD+$\frac{1}{2}$∠BOD=$\frac{1}{2}$(∠AOD+∠BOD)=$\frac{1}{2}$∠AOB.因为∠AOB=150°,所以∠COE=75°.
(2)$\frac{1}{2}\alpha$
(1)因为 OC 是∠AOD 的平分线,所以∠COD=$\frac{1}{2}$∠AOD.
因为 OE 是∠BOD 的平分线,所以∠EOD=$\frac{1}{2}$∠BOD,所以∠COE=∠COD+∠EOD=$\frac{1}{2}$∠AOD+$\frac{1}{2}$∠BOD=$\frac{1}{2}$(∠AOD+∠BOD)=$\frac{1}{2}$∠AOB.因为∠AOB=150°,所以∠COE=75°.
(2)$\frac{1}{2}\alpha$
查看更多完整答案,请扫码查看