2025年点金训练精讲巧练高中数学必修第一册人教版A版
注:目前有些书本章节名称可能整理的还不是很完善,但都是按照顺序排列的,请同学们按照顺序仔细查找。练习册 2025年点金训练精讲巧练高中数学必修第一册人教版A版 答案主要是用来给同学们做完题方便对答案用的,请勿直接抄袭。
第63页
- 第1页
- 第2页
- 第3页
- 第4页
- 第5页
- 第6页
- 第7页
- 第8页
- 第9页
- 第10页
- 第11页
- 第12页
- 第13页
- 第14页
- 第15页
- 第16页
- 第17页
- 第18页
- 第19页
- 第20页
- 第21页
- 第22页
- 第23页
- 第24页
- 第25页
- 第26页
- 第27页
- 第28页
- 第29页
- 第30页
- 第31页
- 第32页
- 第33页
- 第34页
- 第35页
- 第36页
- 第37页
- 第38页
- 第39页
- 第40页
- 第41页
- 第42页
- 第43页
- 第44页
- 第45页
- 第46页
- 第47页
- 第48页
- 第49页
- 第50页
- 第51页
- 第52页
- 第53页
- 第54页
- 第55页
- 第56页
- 第57页
- 第58页
- 第59页
- 第60页
- 第61页
- 第62页
- 第63页
- 第64页
- 第65页
- 第66页
- 第67页
- 第68页
- 第69页
- 第70页
- 第71页
- 第72页
- 第73页
- 第74页
- 第75页
- 第76页
- 第77页
- 第78页
- 第79页
- 第80页
- 第81页
- 第82页
- 第83页
- 第84页
- 第85页
- 第86页
- 第87页
- 第88页
- 第89页
- 第90页
- 第91页
- 第92页
- 第93页
- 第94页
- 第95页
- 第96页
- 第97页
- 第98页
- 第99页
- 第100页
- 第101页
- 第102页
- 第103页
- 第104页
- 第105页
- 第106页
- 第107页
- 第108页
- 第109页
- 第110页
- 第111页
- 第112页
- 第113页
- 第114页
- 第115页
- 第116页
- 第117页
- 第118页
- 第119页
- 第120页
- 第121页
- 第122页
- 第123页
- 第124页
知识点一 $ n $ 次方根
(1) 定义:一般地,如果 $ x^n = a $,那么
(2) 性质:

(1) 定义:一般地,如果 $ x^n = a $,那么
x
叫做a
的 $ n $ 次方根,其中 $ n > 1 $,且 $ n \in \mathbf{N}^* $.(2) 性质:
答案:
知识点一
(1)$x$ $a$
(2)$\sqrt[n]{a}$ $\pm\sqrt[n]{a}$
(1)$x$ $a$
(2)$\sqrt[n]{a}$ $\pm\sqrt[n]{a}$
知识点二$ $根式
$(1) $定义:式子
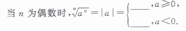
$(2) $性质:当$ n $为奇数时,$\sqrt[n]{a^n} = a;$

$(1) $定义:式子
$\sqrt[n]{a}$
叫做根式,这里$ n $叫做 根指数
,$ a $叫做 被开方数
$.$ $(2) $性质:当$ n $为奇数时,$\sqrt[n]{a^n} = a;$
答案:
知识点二
(1)$\sqrt[n]{a}$ 根指数 被开方数
(2)$a$ $-a$
(1)$\sqrt[n]{a}$ 根指数 被开方数
(2)$a$ $-a$
知识点三 分数指数幂的意义

答案:
知识点三
0 没有意义
0 没有意义
知识点四 有理数指数幂的运算性质
(1) $ a^r a^s = a^{r + s} $($ a > 0 $,$ r $,$ s \in \mathbf{Q} $);
(2) $ (a^r)^s = $
(3) $ (ab)^r = $
(1) $ a^r a^s = a^{r + s} $($ a > 0 $,$ r $,$ s \in \mathbf{Q} $);
(2) $ (a^r)^s = $
$a^{n}$
$ $($ a > 0 $,$ r $,$ s \in \mathbf{Q} $);(3) $ (ab)^r = $
$a^{r}b^{r}$
$ $($ a > 0 $,$ b > 0 $,$ r \in \mathbf{Q} $).
答案:
知识点四
(2)$a^{n}$
(3)$a^{r}b^{r}$
(2)$a^{n}$
(3)$a^{r}b^{r}$
【概念辨析】
1. 判断正误(正确的打“√”,错误的打“×”).
(1) 实数 $ a $ 的偶次方根有两个. ()
(2) $ 0 $ 的任何次幂都等于 $ 0 $. ()
(3) $ a^{\frac{m}{n}} $ 就是 $ \frac{m}{n} $ 个 $ a $ 相乘. ()
(4) $ (-2)^{\frac{1}{3}} = \sqrt[6]{(-2)^2} $. ()
1. 判断正误(正确的打“√”,错误的打“×”).
(1) 实数 $ a $ 的偶次方根有两个. ()
(2) $ 0 $ 的任何次幂都等于 $ 0 $. ()
(3) $ a^{\frac{m}{n}} $ 就是 $ \frac{m}{n} $ 个 $ a $ 相乘. ()
(4) $ (-2)^{\frac{1}{3}} = \sqrt[6]{(-2)^2} $. ()
答案:
【概念辨析】
1.
(1)$×$
(2)$×$
(3)$×$
(4)$×$
1.
(1)$×$
(2)$×$
(3)$×$
(4)$×$
2. 计算:$ 4^{\frac{1}{2}} - (\frac{1}{2})^{-1} = $(
A.$-2$
B.$-1$
C.$0$
D.$1$
C
)A.$-2$
B.$-1$
C.$0$
D.$1$
答案:
2.C
3. 请思考并回答下列问题:
(1) 任意实数 $ a $ 是否都存在 $ n $ 次方根?
(2) $ (-4)^{\frac{2}{4}} $ 与 $ (-4)^{\frac{1}{2}} $ 相等吗?为什么?
(3) $ (\sqrt[n]{a})^n $ 中实数 $ a $ 的取值范围是任意实数吗?
(1) 任意实数 $ a $ 是否都存在 $ n $ 次方根?
(2) $ (-4)^{\frac{2}{4}} $ 与 $ (-4)^{\frac{1}{2}} $ 相等吗?为什么?
(3) $ (\sqrt[n]{a})^n $ 中实数 $ a $ 的取值范围是任意实数吗?
答案:
1. 对于问题$(1)$:
当$n$为奇数时,任意实数$a$都存在$n$次方根,$\sqrt[n]{a}$,其中$a\in R$;
当$n$为偶数时,只有$a\geqslant0$时,$a$才存在$n$次方根$\pm\sqrt[n]{a}$,当$a\lt0$时,$a$不存在$n$次方根(在实数范围内)。
2. 对于问题$(2)$:
先看$(-4)^{\frac{2}{4}}$,根据分数指数幂的定义$a^{\frac{m}{n}}=\sqrt[n]{a^{m}}$($a\gt0,m,n\in N^+$,$n\gt1$),$(-4)^{\frac{2}{4}}=\sqrt[4]{(-4)^{2}}=\sqrt[4]{16} = 2$(因为$\sqrt[4]{x^{4}}=\vert x\vert$,这里$x = - 4$,$(-4)^{2}=16$);
再看$(-4)^{\frac{1}{2}}$,根据$a^{\frac{1}{2}}=\sqrt{a}(a\geqslant0)$,在实数范围内,$(-4)^{\frac{1}{2}}=\sqrt{-4}$无意义。所以$(-4)^{\frac{2}{4}}$与$(-4)^{\frac{1}{2}}$不相等。
3. 对于问题$(3)$:
当$n$为奇数时,$a\in R$,$(\sqrt[n]{a})^n=a$;
当$n$为偶数时,$\sqrt[n]{a}$有意义的条件是$a\geqslant0$,此时$(\sqrt[n]{a})^n=a$。所以$(\sqrt[n]{a})^n$中,当$n$为奇数时,$a$的取值范围是任意实数;当$n$为偶数时,$a$的取值范围是$a\geqslant0$。
综上:
$(1)$当$n$为奇数时,任意实数$a$都存在$n$次方根;当$n$为偶数时,$a\geqslant0$时$a$存在$n$次方根,$a\lt0$时$a$不存在$n$次方根(在实数范围内)。
$(2)$不相等,因为$(-4)^{\frac{2}{4}} = 2$(有意义),$(-4)^{\frac{1}{2}}$在实数范围内无意义。
$(3)$当$n$为奇数时,$a$的取值范围是任意实数;当$n$为偶数时,$a$的取值范围是$a\geqslant0$。
当$n$为奇数时,任意实数$a$都存在$n$次方根,$\sqrt[n]{a}$,其中$a\in R$;
当$n$为偶数时,只有$a\geqslant0$时,$a$才存在$n$次方根$\pm\sqrt[n]{a}$,当$a\lt0$时,$a$不存在$n$次方根(在实数范围内)。
2. 对于问题$(2)$:
先看$(-4)^{\frac{2}{4}}$,根据分数指数幂的定义$a^{\frac{m}{n}}=\sqrt[n]{a^{m}}$($a\gt0,m,n\in N^+$,$n\gt1$),$(-4)^{\frac{2}{4}}=\sqrt[4]{(-4)^{2}}=\sqrt[4]{16} = 2$(因为$\sqrt[4]{x^{4}}=\vert x\vert$,这里$x = - 4$,$(-4)^{2}=16$);
再看$(-4)^{\frac{1}{2}}$,根据$a^{\frac{1}{2}}=\sqrt{a}(a\geqslant0)$,在实数范围内,$(-4)^{\frac{1}{2}}=\sqrt{-4}$无意义。所以$(-4)^{\frac{2}{4}}$与$(-4)^{\frac{1}{2}}$不相等。
3. 对于问题$(3)$:
当$n$为奇数时,$a\in R$,$(\sqrt[n]{a})^n=a$;
当$n$为偶数时,$\sqrt[n]{a}$有意义的条件是$a\geqslant0$,此时$(\sqrt[n]{a})^n=a$。所以$(\sqrt[n]{a})^n$中,当$n$为奇数时,$a$的取值范围是任意实数;当$n$为偶数时,$a$的取值范围是$a\geqslant0$。
综上:
$(1)$当$n$为奇数时,任意实数$a$都存在$n$次方根;当$n$为偶数时,$a\geqslant0$时$a$存在$n$次方根,$a\lt0$时$a$不存在$n$次方根(在实数范围内)。
$(2)$不相等,因为$(-4)^{\frac{2}{4}} = 2$(有意义),$(-4)^{\frac{1}{2}}$在实数范围内无意义。
$(3)$当$n$为奇数时,$a$的取值范围是任意实数;当$n$为偶数时,$a$的取值范围是$a\geqslant0$。
查看更多完整答案,请扫码查看