2025年点金训练精讲巧练高中数学必修第一册人教版A版
注:目前有些书本章节名称可能整理的还不是很完善,但都是按照顺序排列的,请同学们按照顺序仔细查找。练习册 2025年点金训练精讲巧练高中数学必修第一册人教版A版 答案主要是用来给同学们做完题方便对答案用的,请勿直接抄袭。
第121页
- 第1页
- 第2页
- 第3页
- 第4页
- 第5页
- 第6页
- 第7页
- 第8页
- 第9页
- 第10页
- 第11页
- 第12页
- 第13页
- 第14页
- 第15页
- 第16页
- 第17页
- 第18页
- 第19页
- 第20页
- 第21页
- 第22页
- 第23页
- 第24页
- 第25页
- 第26页
- 第27页
- 第28页
- 第29页
- 第30页
- 第31页
- 第32页
- 第33页
- 第34页
- 第35页
- 第36页
- 第37页
- 第38页
- 第39页
- 第40页
- 第41页
- 第42页
- 第43页
- 第44页
- 第45页
- 第46页
- 第47页
- 第48页
- 第49页
- 第50页
- 第51页
- 第52页
- 第53页
- 第54页
- 第55页
- 第56页
- 第57页
- 第58页
- 第59页
- 第60页
- 第61页
- 第62页
- 第63页
- 第64页
- 第65页
- 第66页
- 第67页
- 第68页
- 第69页
- 第70页
- 第71页
- 第72页
- 第73页
- 第74页
- 第75页
- 第76页
- 第77页
- 第78页
- 第79页
- 第80页
- 第81页
- 第82页
- 第83页
- 第84页
- 第85页
- 第86页
- 第87页
- 第88页
- 第89页
- 第90页
- 第91页
- 第92页
- 第93页
- 第94页
- 第95页
- 第96页
- 第97页
- 第98页
- 第99页
- 第100页
- 第101页
- 第102页
- 第103页
- 第104页
- 第105页
- 第106页
- 第107页
- 第108页
- 第109页
- 第110页
- 第111页
- 第112页
- 第113页
- 第114页
- 第115页
- 第116页
- 第117页
- 第118页
- 第119页
- 第120页
- 第121页
- 第122页
- 第123页
- 第124页
2. 函数 $ y = \cos x $,$ x \in (0, 2\pi) $ 的图象与直线 $ y = \dfrac{1}{2} $ 的交点个数为
2
.
答案:
2.2
3. 请思考并回答下列问题:
(1)作正弦函数、余弦函数的图象时,为什么函数自变量的取值要用弧度制?
(2)利用平移法作余弦函数图象的依据是什么?为什么不能利用 $ \sin \left( \dfrac{\pi}{2} - x \right) = \cos x $ 来确定平移的方向和距离?
(1)作正弦函数、余弦函数的图象时,为什么函数自变量的取值要用弧度制?
(2)利用平移法作余弦函数图象的依据是什么?为什么不能利用 $ \sin \left( \dfrac{\pi}{2} - x \right) = \cos x $ 来确定平移的方向和距离?
答案:
(1)因为弧度制下,角的大小用实数表示,使正弦函数、余弦函数的自变量与函数值均为实数,能在同一平面直角坐标系中建立对应关系,便于作函数图象。
(2)利用平移法作余弦函数图象的依据是诱导公式cosx=sin(x+π/2)及函数y=sin(x+φ)的图象由y=sinx图象平移得到的规律;因为sin(π/2 - x)=cosx中x的系数为-1,对应的函数图象变换包含关于y轴对称的变换,并非单纯的平移变换,所以不能利用该式确定平移的方向和距离。
(1)因为弧度制下,角的大小用实数表示,使正弦函数、余弦函数的自变量与函数值均为实数,能在同一平面直角坐标系中建立对应关系,便于作函数图象。
(2)利用平移法作余弦函数图象的依据是诱导公式cosx=sin(x+π/2)及函数y=sin(x+φ)的图象由y=sinx图象平移得到的规律;因为sin(π/2 - x)=cosx中x的系数为-1,对应的函数图象变换包含关于y轴对称的变换,并非单纯的平移变换,所以不能利用该式确定平移的方向和距离。
1. 对于正弦函数 $ y = \sin x $ 的图象,下列说法错误的是(
A.向左、右无限伸展
B.与 $ y = \cos x $ 的图象形状相同,只是位置不同
C.与 $ x $ 轴有无数个交点
D.关于 $ y $ 轴对称
D
)A.向左、右无限伸展
B.与 $ y = \cos x $ 的图象形状相同,只是位置不同
C.与 $ x $ 轴有无数个交点
D.关于 $ y $ 轴对称
答案:
1.D
2. 在同一平面直角坐标系内,函数 $ y = \sin x $,$ x \in [0, 2\pi] $ 与 $ y = \cos x $,$ x \in [2\pi, 4\pi] $ 的图象(
A.重合
B.形状相同,位置不同
C.关于 $ y $ 轴对称
D.形状不同,位置不同
D
)A.重合
B.形状相同,位置不同
C.关于 $ y $ 轴对称
D.形状不同,位置不同
答案:
2.D
3. 函数 $ y = \sin(-x) $,$ x \in [0, 2\pi] $ 的简图是(

B
)
答案:
3.B
探究活动
例 1 作出下列函数的简图:
(1)$ y = 2 - \sin x $,$ x \in [0, 2\pi] $;
(2)$ y = \sin \left( x + \dfrac{\pi}{2} \right) $,$ x \in \left[ -\dfrac{\pi}{6}, \dfrac{11\pi}{6} \right] $.
例 1 作出下列函数的简图:
(1)$ y = 2 - \sin x $,$ x \in [0, 2\pi] $;
(2)$ y = \sin \left( x + \dfrac{\pi}{2} \right) $,$ x \in \left[ -\dfrac{\pi}{6}, \dfrac{11\pi}{6} \right] $.
答案:
例1 解:
(1)由题知 $y = 2 - \sin x$,$x \in [0, 2\pi]$,列表如下:
$x$ 0 $\frac{\pi}{2}$ $\pi$ $\frac{3\pi}{2}$ $2\pi$
$y$ 2 1 2 3 2
描点并用光滑的曲线连接起来,画图如下:

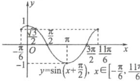
(2)由题知 $y = \sin \left(x + \frac{\pi}{2}\right) = \cos x$,$x \in \left[-\frac{\pi}{6}, \frac{11\pi}{6}\right]$,列表如下:
$x$ $-\frac{\pi}{6}$ 0 $\frac{\pi}{2}$ $\pi$ $\frac{3\pi}{2}$ $\frac{11\pi}{6}$
$y$ $\frac{\sqrt{3}}{2}$ 1 0 -1 0 $\frac{\sqrt{3}}{2}$
描点并用光滑的曲线连接起来,画图如下:
例1 解:
(1)由题知 $y = 2 - \sin x$,$x \in [0, 2\pi]$,列表如下:
$x$ 0 $\frac{\pi}{2}$ $\pi$ $\frac{3\pi}{2}$ $2\pi$
$y$ 2 1 2 3 2
描点并用光滑的曲线连接起来,画图如下:
(2)由题知 $y = \sin \left(x + \frac{\pi}{2}\right) = \cos x$,$x \in \left[-\frac{\pi}{6}, \frac{11\pi}{6}\right]$,列表如下:
$x$ $-\frac{\pi}{6}$ 0 $\frac{\pi}{2}$ $\pi$ $\frac{3\pi}{2}$ $\frac{11\pi}{6}$
$y$ $\frac{\sqrt{3}}{2}$ 1 0 -1 0 $\frac{\sqrt{3}}{2}$
描点并用光滑的曲线连接起来,画图如下:
查看更多完整答案,请扫码查看