第114页
- 第1页
- 第2页
- 第3页
- 第4页
- 第5页
- 第6页
- 第7页
- 第8页
- 第9页
- 第10页
- 第11页
- 第12页
- 第13页
- 第14页
- 第15页
- 第16页
- 第17页
- 第18页
- 第19页
- 第20页
- 第21页
- 第22页
- 第23页
- 第24页
- 第25页
- 第26页
- 第27页
- 第28页
- 第29页
- 第30页
- 第31页
- 第32页
- 第33页
- 第34页
- 第35页
- 第36页
- 第37页
- 第38页
- 第39页
- 第40页
- 第41页
- 第42页
- 第43页
- 第44页
- 第45页
- 第46页
- 第47页
- 第48页
- 第49页
- 第50页
- 第51页
- 第52页
- 第53页
- 第54页
- 第55页
- 第56页
- 第57页
- 第58页
- 第59页
- 第60页
- 第61页
- 第62页
- 第63页
- 第64页
- 第65页
- 第66页
- 第67页
- 第68页
- 第69页
- 第70页
- 第71页
- 第72页
- 第73页
- 第74页
- 第75页
- 第76页
- 第77页
- 第78页
- 第79页
- 第80页
- 第81页
- 第82页
- 第83页
- 第84页
- 第85页
- 第86页
- 第87页
- 第88页
- 第89页
- 第90页
- 第91页
- 第92页
- 第93页
- 第94页
- 第95页
- 第96页
- 第97页
- 第98页
- 第99页
- 第100页
- 第101页
- 第102页
- 第103页
- 第104页
- 第105页
- 第106页
- 第107页
- 第108页
- 第109页
- 第110页
- 第111页
- 第112页
- 第113页
- 第114页
- 第115页
- 第116页
- 第117页
- 第118页
- 第119页
- 第120页
- 第121页
- 第122页
- 第123页
- 第124页
- 第125页
- 第126页
- 第127页
- 第128页
- 第129页
- 第130页
- 第131页
- 第132页
- 第133页
- 第134页
- 第135页
- 第136页
- 第137页
- 第138页
- 第139页
- 第140页
- 第141页
- 第142页
- 第143页
- 第144页
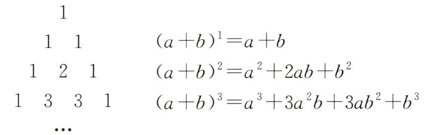
【文化背景】在我国南宋数学家杨辉(约13世纪)所著的《详解九章算法》(1261年)一书中,用如图所示的三角形解释二项和的乘方规律.杨辉在注释中提到,在他之前北宋数学家贾宪(约11世纪上半叶)发明了上述方法,因此我们称这个三角形为“杨辉三角”或“贾宪三角”.
(人教教材P118“阅读与思考”改编)“杨辉三角”两腰上的数都是1,其余每个数为它的上方(左右)两数之和,它给出了$(a + b)^n$(n为正整数)的展开式(按a的次数由大到小的顺序)的系数规律.根据描述及图示完成第1-6题:

探究1 规律探究
1. “杨辉三角”第7排左起第4个数是 ( )
A. 6
B. 10
C. 15
D. 20
2. 观察这些系数的规律,请直接写出$(a + b)^5=$.
3. 观察这些系数的规律,$(a + b)^7$的展开式中,$a^5b^2$的系数是.
探究2 应用规律解决问题
4. 利用上面的规律计算:
(1)$99^3 + 3×99^2 + 3×99 + 1$;
(2)$3^4 - 4×3^3 + 6×3^2 - 4×3 + 1$.
5. 若今天是星期四,经过$8^6$天后是星期几?
(人教教材P118“阅读与思考”改编)“杨辉三角”两腰上的数都是1,其余每个数为它的上方(左右)两数之和,它给出了$(a + b)^n$(n为正整数)的展开式(按a的次数由大到小的顺序)的系数规律.根据描述及图示完成第1-6题:
探究1 规律探究
1. “杨辉三角”第7排左起第4个数是 ( )
A. 6
B. 10
C. 15
D. 20
2. 观察这些系数的规律,请直接写出$(a + b)^5=$.
3. 观察这些系数的规律,$(a + b)^7$的展开式中,$a^5b^2$的系数是.
探究2 应用规律解决问题
4. 利用上面的规律计算:
(1)$99^3 + 3×99^2 + 3×99 + 1$;
(2)$3^4 - 4×3^3 + 6×3^2 - 4×3 + 1$.
5. 若今天是星期四,经过$8^6$天后是星期几?
答案:
1. D2. $ a ^ { 5 } + 5 a ^ { 4 } b + 10 a ^ { 3 } b ^ { 2 } + 10 a ^ { 2 } b ^ { 3 } + 5 a b ^ { 4 } + b ^ { 5 } $3. 214. 解:
(1) 原式 $ = ( 99 + 1 ) ^ { 3 } $$ = 100 ^ { 3 } $$ = 1 000 000 $
(2) 原式 $ = ( 3 - 1 ) ^ { 4 } $$ = 2 ^ { 4 } $$ = 16 $5. 解:$ 8 ^ { 6 } = ( 7 + 1 ) ^ { 6 } = 7 ^ { 6 } + a \times 7 ^ { 5 } + b \times 7 ^ { 4 } + c \times 7 ^ { 3 } + d \times 7 ^ { 2 } + e \times 7 ^ { 1 } + 1 $,其中 $ a $,$ b $,$ c $,$ d $,$ e $ 为各项的系数。$ \because 7 ^ { 6 } + a \times 7 ^ { 5 } + b \times 7 ^ { 4 } + c \times 7 ^ { 3 } + d \times 7 ^ { 2 } + e \times 7 ^ { 1 } $ 都能被 7 整除,$ \therefore 8 ^ { 6 } $ 除以 7 余 1。$ \therefore $ 如果今天是星期四,经过 $ 8 ^ { 6 } $ 天后是星期五。
(1) 原式 $ = ( 99 + 1 ) ^ { 3 } $$ = 100 ^ { 3 } $$ = 1 000 000 $
(2) 原式 $ = ( 3 - 1 ) ^ { 4 } $$ = 2 ^ { 4 } $$ = 16 $5. 解:$ 8 ^ { 6 } = ( 7 + 1 ) ^ { 6 } = 7 ^ { 6 } + a \times 7 ^ { 5 } + b \times 7 ^ { 4 } + c \times 7 ^ { 3 } + d \times 7 ^ { 2 } + e \times 7 ^ { 1 } + 1 $,其中 $ a $,$ b $,$ c $,$ d $,$ e $ 为各项的系数。$ \because 7 ^ { 6 } + a \times 7 ^ { 5 } + b \times 7 ^ { 4 } + c \times 7 ^ { 3 } + d \times 7 ^ { 2 } + e \times 7 ^ { 1 } $ 都能被 7 整除,$ \therefore 8 ^ { 6 } $ 除以 7 余 1。$ \therefore $ 如果今天是星期四,经过 $ 8 ^ { 6 } $ 天后是星期五。
查看更多完整答案,请扫码查看