第82页
- 第1页
- 第2页
- 第3页
- 第4页
- 第5页
- 第6页
- 第7页
- 第8页
- 第9页
- 第10页
- 第11页
- 第12页
- 第13页
- 第14页
- 第15页
- 第16页
- 第17页
- 第18页
- 第19页
- 第20页
- 第21页
- 第22页
- 第23页
- 第24页
- 第25页
- 第26页
- 第27页
- 第28页
- 第29页
- 第30页
- 第31页
- 第32页
- 第33页
- 第34页
- 第35页
- 第36页
- 第37页
- 第38页
- 第39页
- 第40页
- 第41页
- 第42页
- 第43页
- 第44页
- 第45页
- 第46页
- 第47页
- 第48页
- 第49页
- 第50页
- 第51页
- 第52页
- 第53页
- 第54页
- 第55页
- 第56页
- 第57页
- 第58页
- 第59页
- 第60页
- 第61页
- 第62页
- 第63页
- 第64页
- 第65页
- 第66页
- 第67页
- 第68页
- 第69页
- 第70页
- 第71页
- 第72页
- 第73页
- 第74页
- 第75页
- 第76页
- 第77页
- 第78页
- 第79页
- 第80页
- 第81页
- 第82页
- 第83页
- 第84页
- 第85页
- 第86页
- 第87页
- 第88页
- 第89页
- 第90页
- 第91页
- 第92页
- 第93页
- 第94页
- 第95页
- 第96页
- 第97页
- 第98页
- 第99页
- 第100页
- 第101页
- 第102页
- 第103页
- 第104页
- 第105页
- 第106页
- 第107页
- 第108页
- 第109页
- 第110页
- 第111页
- 第112页
- 第113页
- 第114页
- 第115页
- 第116页
- 第117页
- 第118页
- 第119页
- 第120页
- 第121页
- 第122页
- 第123页
- 第124页
- 第125页
- 第126页
- 第127页
- 第128页
- 第129页
- 第130页
- 第131页
- 第132页
- 第133页
- 第134页
- 第135页
- 第136页
- 第137页
- 第138页
- 第139页
- 第140页
- 第141页
- 第142页
- 第143页
- 第144页
8. (1)问题背景:
如图①,点A,B在直线l同侧,在直线上找一点P,使AP+BP的值最小.
作法如下:作点B关于直线l的对称点B',连接AB',与直线l的交点就是所求的点P,线段AB'的长度即为AP+BP的最小值.
(2)实践应用:
如图②,在等边三角形ABC中,若E是AB的中点,P为高AD上一点,AD=3,连接BP,求BP+PE的最小值.
(3)拓展延伸1:
如图②,在等边三角形ABC中,若P为高CE上一点,AD=3,求BP+ $\frac{1}{2}$CP的最小值.
(4)拓展延伸2:
如图③,∠AOB=30°,P是四边形OACB内一定点,Q,R分别是OA,OB上的动点,当△PQR周长的最小值为5时,求OP的长.

如图①,点A,B在直线l同侧,在直线上找一点P,使AP+BP的值最小.
作法如下:作点B关于直线l的对称点B',连接AB',与直线l的交点就是所求的点P,线段AB'的长度即为AP+BP的最小值.
(2)实践应用:
如图②,在等边三角形ABC中,若E是AB的中点,P为高AD上一点,AD=3,连接BP,求BP+PE的最小值.
(3)拓展延伸1:
如图②,在等边三角形ABC中,若P为高CE上一点,AD=3,求BP+ $\frac{1}{2}$CP的最小值.
(4)拓展延伸2:
如图③,∠AOB=30°,P是四边形OACB内一定点,Q,R分别是OA,OB上的动点,当△PQR周长的最小值为5时,求OP的长.
答案:
(2)
∵ $△ABC$ 是等边三角形,AD 是 BC 边上的高,
∴ 点 B,C 关于 AD 对称,$∠ABC = 60^{\circ}$,
∴ $PB = PC$,
∴ EC 就是 $BP + PE$ 的最小值.
∵ 在等边三角形 ABC 中,E 是 AB 的中点,
∴ $CE⊥AB$,
∴ $CE = AD = 3$,
∴ $BP + PE$ 的最小值为 3.
(3)
∵ CE 为等边三角形 ABC 的高,
∴ CE 平分 $∠ACB$,$BP = AP$,
∴ $∠PCD = \frac{1}{2}∠ACB = 30^{\circ}$,
∴ $DP = \frac{1}{2}CP$,
∴ $BP + \frac{1}{2}CP = AP + DP ≥ AD$,故其最小值为 3.
(4)如图,分别作点 P 关于 OA,OB 的对称点 E,D,连接 ED,分别交 OA,OB 于点 Q,R,连接 OE,OD.
∵ 点 P 关于 OA 的对称点为 E,
∴ $PQ = EQ$,$OP = OE$,$∠EOA = ∠POA$.
∵ 点 P 关于 OB 的对称点为 D,
∴ $PR = DR$,$OP = OD$,$∠DOB = ∠POB$,
∴ $OE = OD = OP$,$∠EOD = ∠EOA + ∠POA + ∠POB + ∠DOB = 2∠POA + 2∠POB = 2∠AOB = 60^{\circ}$,
∴ $△EOD$ 是等边三角形,
∴ $ED = OE = OD$,
∴ $OP = ED$.
∵ $△PQR$ 周长的最小值为 $PQ + QR + PR = EQ + QR + RD = ED = 5$,
∴ $OP = 5$.
(2)
∵ $△ABC$ 是等边三角形,AD 是 BC 边上的高,
∴ 点 B,C 关于 AD 对称,$∠ABC = 60^{\circ}$,
∴ $PB = PC$,
∴ EC 就是 $BP + PE$ 的最小值.
∵ 在等边三角形 ABC 中,E 是 AB 的中点,
∴ $CE⊥AB$,
∴ $CE = AD = 3$,
∴ $BP + PE$ 的最小值为 3.
(3)
∵ CE 为等边三角形 ABC 的高,
∴ CE 平分 $∠ACB$,$BP = AP$,
∴ $∠PCD = \frac{1}{2}∠ACB = 30^{\circ}$,
∴ $DP = \frac{1}{2}CP$,
∴ $BP + \frac{1}{2}CP = AP + DP ≥ AD$,故其最小值为 3.
(4)如图,分别作点 P 关于 OA,OB 的对称点 E,D,连接 ED,分别交 OA,OB 于点 Q,R,连接 OE,OD.
∵ 点 P 关于 OA 的对称点为 E,
∴ $PQ = EQ$,$OP = OE$,$∠EOA = ∠POA$.
∵ 点 P 关于 OB 的对称点为 D,
∴ $PR = DR$,$OP = OD$,$∠DOB = ∠POB$,
∴ $OE = OD = OP$,$∠EOD = ∠EOA + ∠POA + ∠POB + ∠DOB = 2∠POA + 2∠POB = 2∠AOB = 60^{\circ}$,
∴ $△EOD$ 是等边三角形,
∴ $ED = OE = OD$,
∴ $OP = ED$.
∵ $△PQR$ 周长的最小值为 $PQ + QR + PR = EQ + QR + RD = ED = 5$,
∴ $OP = 5$.
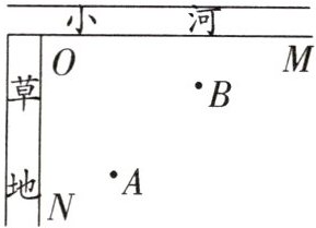
9. 如图,有一条小河和一片草地,一天,某牧民的计划是从A处的牧场到草地牧马,再到小河饮马,最后回到B处,你能为他设计一条最短的路线吗?(在ON上任意一点即可牧马,在OM上任意一点即可饮马,保留作图痕迹,需要证明)

答案:
如图①,分别作点 A,B 关于 ON,OM 的对称点 E,F,连接 EF,分别交 ON,OM 于点 C,D,则最短路线为 $A→C→D→B$.


证明如下:如图②,在 ON 上任意取一点除点 C 外的点 T,在 OM 上任意取一点除点 D 外的点 R,连接 FR,BR,RT,ET,AT,
∵ 点 A,E 关于 ON 对称,
∴ $AC = EC$,$AT = ET$,同理 $BD = FD$,$FR = BR$,
∴ $AC + CD + DB = EC + CD + FD = EF$,$AT + TR + BR = ET + TR + RF$.
∵ $ET + TR + RF > ET + TF > EF$,
∴ $AC + CD + DB < AT + TR + BR$,即 $A→C→D→B$ 是最短的路线.
如图①,分别作点 A,B 关于 ON,OM 的对称点 E,F,连接 EF,分别交 ON,OM 于点 C,D,则最短路线为 $A→C→D→B$.
证明如下:如图②,在 ON 上任意取一点除点 C 外的点 T,在 OM 上任意取一点除点 D 外的点 R,连接 FR,BR,RT,ET,AT,
∵ 点 A,E 关于 ON 对称,
∴ $AC = EC$,$AT = ET$,同理 $BD = FD$,$FR = BR$,
∴ $AC + CD + DB = EC + CD + FD = EF$,$AT + TR + BR = ET + TR + RF$.
∵ $ET + TR + RF > ET + TF > EF$,
∴ $AC + CD + DB < AT + TR + BR$,即 $A→C→D→B$ 是最短的路线.
10. 改编题 如图,一条直的河流l的同侧有A,B两个村庄,要把A处的产品运往B处.按计划这批产品在河岸M处装上船,沿水路行a千米后在N处上岸,要使总路程最短,M,N两点应选在河岸l的什么位置?

答案:
如图所示.作法:①过点 A 作 $AE // l$,在 AE 上截取 $AA' = a$;②作点 B 关于直线 l 的对称点 $B'$,连接 $A'B'$ 交直线 l 于点 N;③过点 A 作 $AM // A'B'$,交直线 l 于点 M,则点 M,N 即为所求.
如图所示.作法:①过点 A 作 $AE // l$,在 AE 上截取 $AA' = a$;②作点 B 关于直线 l 的对称点 $B'$,连接 $A'B'$ 交直线 l 于点 N;③过点 A 作 $AM // A'B'$,交直线 l 于点 M,则点 M,N 即为所求.
11. 如图,某大学建立分校,校本部与分校隔着两条平行的小河,$ l _ { 1 } // l _ { 2 } $表示小河甲,$ l _ { 3 } // l _ { 4 } $表示小河乙,A为校本部大门,B为分校大门,为方便人员来往,要在两条小河上各建一座桥,桥面垂直于河岸.图中的尺寸是:甲河宽8米,乙河宽10米,A到甲河的垂直距离为40米,B到乙河的垂直距离为20米,两河距离为100米,A,B两点水平距离(与小河平行方向)为120米,为使A,B两点间来往路程最短,那么两条小河的桥址应该选在哪里?

答案:
如图,作 $AA'⊥l_1$,且 $AA' = 8$ 米,作 $BB'⊥l_4$,且 $BB' = 10$ 米,连接 $A'B'$ 交 $l_2$,$l_3$ 于点 D,E,过点 D 作 $DC⊥l_1$,垂足为点 C;过点 E 作 $EF⊥l_4$,垂足为点 F,连接 AC,BF.CD 和 EF 即为桥址所在.
如图,作 $AA'⊥l_1$,且 $AA' = 8$ 米,作 $BB'⊥l_4$,且 $BB' = 10$ 米,连接 $A'B'$ 交 $l_2$,$l_3$ 于点 D,E,过点 D 作 $DC⊥l_1$,垂足为点 C;过点 E 作 $EF⊥l_4$,垂足为点 F,连接 AC,BF.CD 和 EF 即为桥址所在.
查看更多完整答案,请扫码查看