第101页
- 第1页
- 第2页
- 第3页
- 第4页
- 第5页
- 第6页
- 第7页
- 第8页
- 第9页
- 第10页
- 第11页
- 第12页
- 第13页
- 第14页
- 第15页
- 第16页
- 第17页
- 第18页
- 第19页
- 第20页
- 第21页
- 第22页
- 第23页
- 第24页
- 第25页
- 第26页
- 第27页
- 第28页
- 第29页
- 第30页
- 第31页
- 第32页
- 第33页
- 第34页
- 第35页
- 第36页
- 第37页
- 第38页
- 第39页
- 第40页
- 第41页
- 第42页
- 第43页
- 第44页
- 第45页
- 第46页
- 第47页
- 第48页
- 第49页
- 第50页
- 第51页
- 第52页
- 第53页
- 第54页
- 第55页
- 第56页
- 第57页
- 第58页
- 第59页
- 第60页
- 第61页
- 第62页
- 第63页
- 第64页
- 第65页
- 第66页
- 第67页
- 第68页
- 第69页
- 第70页
- 第71页
- 第72页
- 第73页
- 第74页
- 第75页
- 第76页
- 第77页
- 第78页
- 第79页
- 第80页
- 第81页
- 第82页
- 第83页
- 第84页
- 第85页
- 第86页
- 第87页
- 第88页
- 第89页
- 第90页
- 第91页
- 第92页
- 第93页
- 第94页
- 第95页
- 第96页
- 第97页
- 第98页
- 第99页
- 第100页
- 第101页
- 第102页
- 第103页
- 第104页
- 第105页
- 第106页
- 第107页
- 第108页
- 第109页
- 第110页
- 第111页
- 第112页
- 第113页
- 第114页
- 第115页
- 第116页
- 第117页
- 第118页
- 第119页
- 第120页
- 第121页
- 第122页
- 第123页
- 第124页
- 第125页
- 第126页
- 第127页
- 第128页
- 第129页
- 第130页
- 第131页
- 第132页
- 第133页
- 第134页
- 第135页
- 第136页
- 第137页
- 第138页
- 第139页
- 第140页
- 第141页
- 第142页
- 第143页
- 第144页
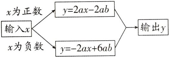
10. 如图所示的运算程序中,甲输入的$x$为$3a + 2b$,乙输入的$x$为$-3a - 2b$,丙输入的$x$为$2b - 3a$.若$a > b > 0$,则输出结果相同的是 (

A. 甲和乙
B. 甲和丙
C. 乙和丙
D. 三人均不相同
B
)A. 甲和乙
B. 甲和丙
C. 乙和丙
D. 三人均不相同
答案:
B 解析:$\because a > b > 0$,$\therefore 3a + 2b > 0$,$-3a - 2b < 0$,$2b - 3a < 0$,$\therefore$甲输出的结果为$y = 2a(3a + 2b)-2ab = 6a^{2}+2ab$;乙输出的结果为$y = -2a(-3a - 2b)+6ab = 6a^{2}+10ab$;丙输出的结果为$y = -2a(2b - 3a)+6ab = 6a^{2}+2ab$,输出结果相同的是甲和丙,故选B。
11. 解方程:
(1)方程$2x(3x - 5)+3x(1 - 2x)=14$的解是
(2)方程$\left(\frac{1}{3}\right)^{x}(27^{x}-3^{x})=80$的解是
(1)方程$2x(3x - 5)+3x(1 - 2x)=14$的解是
$x = -2$
;(2)方程$\left(\frac{1}{3}\right)^{x}(27^{x}-3^{x})=80$的解是
$x = 2$
.
答案:
(1)$x = -2$
(2)$x = 2$
(1)$x = -2$
(2)$x = 2$
12. 用"☆"定义新运算:对于任意实数$a,b$,都有$a☆b = b^{2}+1$,例如:$7☆4 = 4^{2}+1 = 17$,那么$99☆3+3=$
13
;当$m$为实数时,$m☆(m☆2)-(2☆m)=$$25 - m^{2}$
.
答案:
13 $25 - m^{2}$ 解析:当$m$为实数时,$m☆(m☆2)-(2☆m)=m☆(2^{2}+1)-(m^{2}+1)=m☆5 - m^{2}-1 = 25 - m^{2}$。
13. 当$m,n$为何值时,$\frac{1}{2}x[x(x + m)+nx(x + 1)+m]$的展开式中不含$x^{2}$和$x^{3}$项?
答案:
原式$=\frac{1}{2}x(x^{2}+mx + nx^{2}+nx + m)=\frac{1}{2}(1 + n)x^{3}+\frac{1}{2}(m + n)x^{2}+\frac{1}{2}mx$。
根据展开式中不含$x^{2}$和$x^{3}$项,得到$\begin{cases}1 + n = 0,\\m + n = 0,\end{cases}$解得$\begin{cases}m = 1,\\n = -1.\end{cases}$
根据展开式中不含$x^{2}$和$x^{3}$项,得到$\begin{cases}1 + n = 0,\\m + n = 0,\end{cases}$解得$\begin{cases}m = 1,\\n = -1.\end{cases}$
14. (1)已知$a(x^{2}+x - c)+b(2x^{2}-x - 2)=x(7x + 4)+3$,求$a(b + c)$的值;
(2)已知等式$x(ax^{3}+x^{2}+b)+3x - 2c = x^{3}+5x + 4$恒成立,求$a^{2}+3b + 2c$的值.
0
(2)已知等式$x(ax^{3}+x^{2}+b)+3x - 2c = x^{3}+5x + 4$恒成立,求$a^{2}+3b + 2c$的值.
2
答案:
(1)$\because a(x^{2}+x - c)+b(2x^{2}-x - 2)=x(7x + 4)+3 = 7x^{2}+4x + 3$,
$\therefore (a + 2b)x^{2}+(a - b)x-(ac + 2b)=7x^{2}+4x + 3$,$\therefore a + 2b = 7$,$a - b = 4$,$-(ac + 2b)=3$,解得$a = 5$,$b = 1$,$c = -1$,$\therefore a(b + c)=0$。
(2)$\because x(ax^{3}+x^{2}+b)+3x - 2c = x^{3}+5x + 4$,$\therefore ax^{4}+x^{3}+(b + 3)x - 2c = x^{3}+5x + 4$,$\therefore\begin{cases}a = 0,\\b + 3 = 5,\\-2c = 4,\end{cases}$解得$\begin{cases}a = 0,\\b = 2,\\c = -2,\end{cases}$ $\therefore a^{2}+3b + 2c = 0^{2}+3×2 + 2×(-2)=2$。
(1)$\because a(x^{2}+x - c)+b(2x^{2}-x - 2)=x(7x + 4)+3 = 7x^{2}+4x + 3$,
$\therefore (a + 2b)x^{2}+(a - b)x-(ac + 2b)=7x^{2}+4x + 3$,$\therefore a + 2b = 7$,$a - b = 4$,$-(ac + 2b)=3$,解得$a = 5$,$b = 1$,$c = -1$,$\therefore a(b + c)=0$。
(2)$\because x(ax^{3}+x^{2}+b)+3x - 2c = x^{3}+5x + 4$,$\therefore ax^{4}+x^{3}+(b + 3)x - 2c = x^{3}+5x + 4$,$\therefore\begin{cases}a = 0,\\b + 3 = 5,\\-2c = 4,\end{cases}$解得$\begin{cases}a = 0,\\b = 2,\\c = -2,\end{cases}$ $\therefore a^{2}+3b + 2c = 0^{2}+3×2 + 2×(-2)=2$。
15. (2024·南京期末改编)在长方形$ABCD$中将边长分别为$a$和$b$的两张正方形纸片$(a > b)$按图①和图②两种方式放置(两张正方形纸片均有部分重叠),长方形中未被这两张正方形纸片覆盖的部分用阴影表示,设图①、图②中阴影部分的面积分别为$S_{1},S_{2}$.当$AD=\frac{3}{2}AB$时,$S_{2}-S_{1}$的值为 (

A. $am$
B. $bm$
C. $3am$
D. $3bm$
B
)A. $am$
B. $bm$
C. $3am$
D. $3bm$
答案:
B 解析:$\because AD=\frac{3}{2}AB$,设$AB = 2m$,则$AD = 3m$,$\therefore S_{1}=S_{长方形ABCD}-S_{图①覆盖}=2m\cdot 3m - a^{2}-b(3m - a)=6m^{2}-a^{2}-3bm + ab$,$S_{2}=S_{长方形ABCD}-S_{图②覆盖}=2m\cdot 3m - a^{2}-b(2m - a)=6m^{2}-a^{2}-2bm + ab$,$\therefore S_{2}-S_{1}=6m^{2}-a^{2}-2bm + ab-(6m^{2}-a^{2}-3bm + ab)=bm$。故选B。
16. 先阅读下面的材料,再解答问题:
已知$x^{2}y = 3$,求$2xy(x^{5}y^{2}-3x^{3}y - 4x)$的值.
分析:由$x^{2}y = 3$无法求出$x,y$的值,故考虑用整体思想,将$x^{2}y = 3$整体代入.
解:$2xy(x^{5}y^{2}-3x^{3}y - 4x)=2x^{6}y^{3}-6x^{4}y^{2}-8x^{2}y$
$=2(x^{2}y)^{3}-6(x^{2}y)^{2}-8x^{2}y$
$=2×3^{3}-6×3^{2}-8×3$
$=-24$.
问题:(1)已知$ab = 3$,求$(2a^{3}b^{2}-3a^{2}b + 4a)\cdot(-2b)$的值;
(2)已知$ab^{2}=6$,求$ab(a^{2}b^{5}-ab^{3}-b)$的值.
(1)
(2)
已知$x^{2}y = 3$,求$2xy(x^{5}y^{2}-3x^{3}y - 4x)$的值.
分析:由$x^{2}y = 3$无法求出$x,y$的值,故考虑用整体思想,将$x^{2}y = 3$整体代入.
解:$2xy(x^{5}y^{2}-3x^{3}y - 4x)=2x^{6}y^{3}-6x^{4}y^{2}-8x^{2}y$
$=2(x^{2}y)^{3}-6(x^{2}y)^{2}-8x^{2}y$
$=2×3^{3}-6×3^{2}-8×3$
$=-24$.
问题:(1)已知$ab = 3$,求$(2a^{3}b^{2}-3a^{2}b + 4a)\cdot(-2b)$的值;
(2)已知$ab^{2}=6$,求$ab(a^{2}b^{5}-ab^{3}-b)$的值.
(1)
-78
(2)
174
答案:
(1) 当$ab = 3$时,$(2a^{3}b^{2}-3a^{2}b + 4a)\cdot(-2b)=2a^{3}b^{2}\cdot(-2b)+3a^{2}b\cdot 2b - 4a\cdot 2b=-4a^{3}b^{3}+6a^{2}b^{2}-8ab=-4(ab)^{3}+6(ab)^{2}-8ab=-4×3^{3}+6×3^{2}-8×3=-78$。
(2) 当$ab^{2}=6$时,$ab(a^{2}b^{5}-ab^{3}-b)=(ab^{2})^{3}-(ab^{2})^{2}-ab^{2}=6^{3}-6^{2}-6 = 174$。
(1) 当$ab = 3$时,$(2a^{3}b^{2}-3a^{2}b + 4a)\cdot(-2b)=2a^{3}b^{2}\cdot(-2b)+3a^{2}b\cdot 2b - 4a\cdot 2b=-4a^{3}b^{3}+6a^{2}b^{2}-8ab=-4(ab)^{3}+6(ab)^{2}-8ab=-4×3^{3}+6×3^{2}-8×3=-78$。
(2) 当$ab^{2}=6$时,$ab(a^{2}b^{5}-ab^{3}-b)=(ab^{2})^{3}-(ab^{2})^{2}-ab^{2}=6^{3}-6^{2}-6 = 174$。
查看更多完整答案,请扫码查看