2025年实验班中考数学压轴题
注:目前有些书本章节名称可能整理的还不是很完善,但都是按照顺序排列的,请同学们按照顺序仔细查找。练习册 2025年实验班中考数学压轴题 答案主要是用来给同学们做完题方便对答案用的,请勿直接抄袭。
第96页
- 第1页
- 第2页
- 第3页
- 第4页
- 第5页
- 第6页
- 第7页
- 第8页
- 第9页
- 第10页
- 第11页
- 第12页
- 第13页
- 第14页
- 第15页
- 第16页
- 第17页
- 第18页
- 第19页
- 第20页
- 第21页
- 第22页
- 第23页
- 第24页
- 第25页
- 第26页
- 第27页
- 第28页
- 第29页
- 第30页
- 第31页
- 第32页
- 第33页
- 第34页
- 第35页
- 第36页
- 第37页
- 第38页
- 第39页
- 第40页
- 第41页
- 第42页
- 第43页
- 第44页
- 第45页
- 第46页
- 第47页
- 第48页
- 第49页
- 第50页
- 第51页
- 第52页
- 第53页
- 第54页
- 第55页
- 第56页
- 第57页
- 第58页
- 第59页
- 第60页
- 第61页
- 第62页
- 第63页
- 第64页
- 第65页
- 第66页
- 第67页
- 第68页
- 第69页
- 第70页
- 第71页
- 第72页
- 第73页
- 第74页
- 第75页
- 第76页
- 第77页
- 第78页
- 第79页
- 第80页
- 第81页
- 第82页
- 第83页
- 第84页
- 第85页
- 第86页
- 第87页
- 第88页
- 第89页
- 第90页
- 第91页
- 第92页
- 第93页
- 第94页
- 第95页
- 第96页
- 第97页
- 第98页
- 第99页
- 第100页
- 第101页
- 第102页
- 第103页
- 第104页
- 第105页
- 第106页
- 第107页
- 第108页
- 第109页
- 第110页
- 第111页
- 第112页
- 第113页
- 第114页
- 第115页
- 第116页
- 第117页
- 第118页
- 第119页
- 第120页
- 第121页
- 第122页
- 第123页
- 第124页
- 第125页
- 第126页
- 第127页
- 第128页
- 第129页
- 第130页
- 第131页
- 第132页
- 第133页
- 第134页
- 第135页
- 第136页
- 第137页
- 第138页
- 第139页
- 第140页
- 第141页
- 第142页
- 第143页
- 第144页
- 第145页
- 第146页
- 第147页
- 第148页
- 第149页
- 第150页
- 第151页
- 第152页
- 第153页
- 第154页
- 第155页
- 第156页
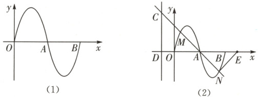
典例 (深圳模拟)新定义:在平面直角坐标系$xOy$中,抛物线$y = ax^{2}+bx(a \lt 0)$交$x$轴于$O,A$两点,交点之间的部分(含交点)记为$w_{1}$,$w_{1}$绕点$A$旋转$180^{\circ}$得到$w_{2}$,$w_{2}$与$x$轴交于$A,B$两点,将$w_{1}$与$w_{2}$合称为$S$形抛物线,对应的函数称为$S$形函数.如图(1),$w_{1}$的解析式为$y = -x^{2}+4x(0\leqslant x\leqslant 4)$.
(1)求$w_{2}$的解析式(不需要写出$x$的取值范围);
(2)如图(2),过点$A$的直线与$S$形抛物线交于$M,N$($M$在$N$的左边)两点,直线$x = -2$交直线$MN$于点$C$,交$x$轴于点$D$,$E$是点$D$关于点$A$的对称点,连接$EN$,若$CM = EN$,求点$M$的横坐标;
(3)若点$E(m,0)$,$C(8 - m,n)$,存在过点$A$的直线与$S$形抛物线交于点$M,N$,使得$CM = EN$,求$n$的取值范围.

(1)(第一步:确定已知参数)由解析式可以得出$w_{1}$的顶点为$($
(第二步:利用几何变换的性质求未知参数)由于$w_{1}$绕点$A$旋转$180^{\circ}$
(1)求$w_{2}$的解析式(不需要写出$x$的取值范围);
(2)如图(2),过点$A$的直线与$S$形抛物线交于$M,N$($M$在$N$的左边)两点,直线$x = -2$交直线$MN$于点$C$,交$x$轴于点$D$,$E$是点$D$关于点$A$的对称点,连接$EN$,若$CM = EN$,求点$M$的横坐标;
(3)若点$E(m,0)$,$C(8 - m,n)$,存在过点$A$的直线与$S$形抛物线交于点$M,N$,使得$CM = EN$,求$n$的取值范围.
(1)(第一步:确定已知参数)由解析式可以得出$w_{1}$的顶点为$($
2
$,$4
$)$;(第二步:利用几何变换的性质求未知参数)由于$w_{1}$绕点$A$旋转$180^{\circ}$
得到 $ w_{2} $,故 $ w_{1} $ 的顶点关于点 $ (4,0) $ 的对称点为 $ w_{2} $ 的顶点,$ w_{2} $ 的解析式中 $ a $ 值与 $ w_{1} $ 的解析式中的 $ a $ 值________,再由顶点式即可得 $ w_{2} $ 的解析式;
(2)设直线 $ MN $ 的解析式为 $ y = kx - 4k $,当 $ kx - 4k = -x^{2} + 4x $ 时,求出 $ M $ (______,________),再由对称性求出 $ N $ (______,________),由 $ CM = EN $,求出 $ k $ 值,可求点 $ M $ 的横坐标;
(3)由 $ CM = EN $ 可以得到等量关系,再应用二次函数性质求得 $ n $ 的取值范围,进而得解。
答案:
解:
(1)y=−x²+4x=−(x−2)²+4,
∴抛物线的顶点为(2,4),点(2,4)关于点(4,0)的对称点为(6,−4),
∴w₂的解析式为y=(x - 6)² - 4 = x² - 12x + 32.
旋转180°不改变开口大小,但开口方向改变
(2)设直线MN的解析式为y=kx−4k,当kx−4k=−x²+4x时,解得x=4或x=−k,
∴M(−k,−k²−4k).
∵点C的横坐标为−2,
∴C(−2,−6k).
∵M,N关于点A对称,D,E关于点A对称,
∴N(8+k,k²+4k),E(10,0).
∵CM=EN,
∴(k−2)²+(−k²+2k)²=(k−2)²+(k²+4k)²,解得k=−1或k=0(舍去),
∴点M的横坐标为1.
(3)由
(2)可知,M(−k,−k²−4k),N(8+k,k²+4k).
∵CM=EN,
∴(8−m+k)²+(n+k²+4k)²=(8−m+k)²+(k²+4k)²,
∴n=0或n=−2k²−8k=−2(k+2)²+8≤8,
∴当n≤8时,存在过点A的直线与S形抛物线交于点M,N,使得CM=EN.
(1)y=−x²+4x=−(x−2)²+4,
∴抛物线的顶点为(2,4),点(2,4)关于点(4,0)的对称点为(6,−4),
∴w₂的解析式为y=(x - 6)² - 4 = x² - 12x + 32.
旋转180°不改变开口大小,但开口方向改变
(2)设直线MN的解析式为y=kx−4k,当kx−4k=−x²+4x时,解得x=4或x=−k,
∴M(−k,−k²−4k).
∵点C的横坐标为−2,
∴C(−2,−6k).
∵M,N关于点A对称,D,E关于点A对称,
∴N(8+k,k²+4k),E(10,0).
∵CM=EN,
∴(k−2)²+(−k²+2k)²=(k−2)²+(k²+4k)²,解得k=−1或k=0(舍去),
∴点M的横坐标为1.
(3)由
(2)可知,M(−k,−k²−4k),N(8+k,k²+4k).
∵CM=EN,
∴(8−m+k)²+(n+k²+4k)²=(8−m+k)²+(k²+4k)²,
∴n=0或n=−2k²−8k=−2(k+2)²+8≤8,
∴当n≤8时,存在过点A的直线与S形抛物线交于点M,N,使得CM=EN.
查看更多完整答案,请扫码查看