2025年实验班中考数学压轴题
注:目前有些书本章节名称可能整理的还不是很完善,但都是按照顺序排列的,请同学们按照顺序仔细查找。练习册 2025年实验班中考数学压轴题 答案主要是用来给同学们做完题方便对答案用的,请勿直接抄袭。
第19页
- 第1页
- 第2页
- 第3页
- 第4页
- 第5页
- 第6页
- 第7页
- 第8页
- 第9页
- 第10页
- 第11页
- 第12页
- 第13页
- 第14页
- 第15页
- 第16页
- 第17页
- 第18页
- 第19页
- 第20页
- 第21页
- 第22页
- 第23页
- 第24页
- 第25页
- 第26页
- 第27页
- 第28页
- 第29页
- 第30页
- 第31页
- 第32页
- 第33页
- 第34页
- 第35页
- 第36页
- 第37页
- 第38页
- 第39页
- 第40页
- 第41页
- 第42页
- 第43页
- 第44页
- 第45页
- 第46页
- 第47页
- 第48页
- 第49页
- 第50页
- 第51页
- 第52页
- 第53页
- 第54页
- 第55页
- 第56页
- 第57页
- 第58页
- 第59页
- 第60页
- 第61页
- 第62页
- 第63页
- 第64页
- 第65页
- 第66页
- 第67页
- 第68页
- 第69页
- 第70页
- 第71页
- 第72页
- 第73页
- 第74页
- 第75页
- 第76页
- 第77页
- 第78页
- 第79页
- 第80页
- 第81页
- 第82页
- 第83页
- 第84页
- 第85页
- 第86页
- 第87页
- 第88页
- 第89页
- 第90页
- 第91页
- 第92页
- 第93页
- 第94页
- 第95页
- 第96页
- 第97页
- 第98页
- 第99页
- 第100页
- 第101页
- 第102页
- 第103页
- 第104页
- 第105页
- 第106页
- 第107页
- 第108页
- 第109页
- 第110页
- 第111页
- 第112页
- 第113页
- 第114页
- 第115页
- 第116页
- 第117页
- 第118页
- 第119页
- 第120页
- 第121页
- 第122页
- 第123页
- 第124页
- 第125页
- 第126页
- 第127页
- 第128页
- 第129页
- 第130页
- 第131页
- 第132页
- 第133页
- 第134页
- 第135页
- 第136页
- 第137页
- 第138页
- 第139页
- 第140页
- 第141页
- 第142页
- 第143页
- 第144页
- 第145页
- 第146页
- 第147页
- 第148页
- 第149页
- 第150页
- 第151页
- 第152页
- 第153页
- 第154页
- 第155页
- 第156页
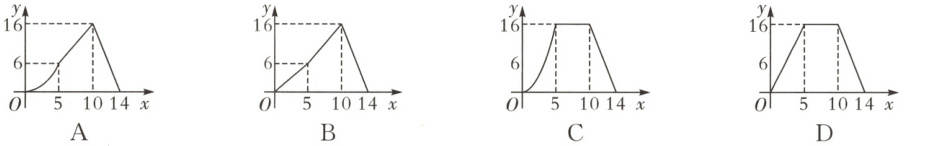
典例 (茂名高州二模)如图,在四边形$ ABCD $中,$ AD // BC $,$ \angle D = 90° $,$ AB = BC = 5 $,$ \tan A = \frac{4}{3} $。动点$ P $沿路径$ A \to B \to C \to D $从点$ A $出发,以每秒 1 个单位长度的速度向点$ D $运动。过点$ P $作$ PH \perp AD $,垂足为$ H $。设点$ P $运动的时间为$ x $(单位:$ s $),$ \triangle APH $的面积为$ y $,则$ y $关于$ x $的函数图象大致是(

思路分步拆解
(第一步:根据题意确定动点$ P $的运动位置)根据题意可判断函数为分段函数,每段图象分别表示点$ P $在$ AB $上运动,点$ P $在$ BC $上运动,点$ P $在$ CD $上运动;
(第二步:分别求出点$ P $运动时的函数解析式)点$ P $在$ AB $上运动时的函数解析式为 y = \boldsymbol{
(第三步:确定图象)根据确定的函数解析式,确定相应的函数图象,进而求解。

A
)。思路分步拆解
(第一步:根据题意确定动点$ P $的运动位置)根据题意可判断函数为分段函数,每段图象分别表示点$ P $在$ AB $上运动,点$ P $在$ BC $上运动,点$ P $在$ CD $上运动;
(第二步:分别求出点$ P $运动时的函数解析式)点$ P $在$ AB $上运动时的函数解析式为 y = \boldsymbol{
$\frac{6}{25}x^{2}$
} ,点$ P $在$ BC $上运动时的函数解析式为 y = \boldsymbol{$2x - 4$
} ,点$ P $在$ CD $上运动时的函数解析式为 y = \boldsymbol{$- 4x + 56$
} ;(第三步:确定图象)根据确定的函数解析式,确定相应的函数图象,进而求解。
答案:
典例 思路分步拆解:$\frac{6}{25}x^{2}$ $2x - 4$ $- 4x + 56$
A [解析]①当点P在AB上运动时.
∵AB = BC = 5,tanA = $\frac{4}{3}$,
∴AP:PH:AH = 5:4:3.
∵AP = x,
∴PH = $\frac{4}{5}x$,AH = $\frac{3}{5}x$,y = $\frac{1}{2}$AH·PH = $\frac{1}{2}$·$\frac{3}{5}x$·$\frac{4}{5}x$ = $\frac{6}{25}x^{2}$,图象为抛物线,且当x = 5时,y = 6;②当点P在BC上运动时,如图
(1),过点B作BE⊥AD于点E.

∵tanA = $\frac{4}{3}$,AB = 5,
∴BE = 4,AE = 3.
∵AB + BP = x,
∴BP = EH = x - 5,
∴AH = 3 + x - 5 = x - 2,
∴y = $\frac{1}{2}$AH·PH = $\frac{1}{2}$·(x - 2)·4 = 2x - 4,为一次函数,且当x = 10时,y = 16;③当点P在CD上运动时,如图
(2),此时,AD = AH = 3 + 5 = 8.
∵AB + BC + CP = x,
∴PH = AB + BC + CD - x = 14 - x,
∴y = $\frac{1}{2}$AH·PH = $\frac{1}{2}$×8·(14 - x) = - 4x + 56,且当x = 14时,y = 0.故B,C,D不正确,A正确.故选A.
典例 思路分步拆解:$\frac{6}{25}x^{2}$ $2x - 4$ $- 4x + 56$
A [解析]①当点P在AB上运动时.
∵AB = BC = 5,tanA = $\frac{4}{3}$,
∴AP:PH:AH = 5:4:3.
∵AP = x,
∴PH = $\frac{4}{5}x$,AH = $\frac{3}{5}x$,y = $\frac{1}{2}$AH·PH = $\frac{1}{2}$·$\frac{3}{5}x$·$\frac{4}{5}x$ = $\frac{6}{25}x^{2}$,图象为抛物线,且当x = 5时,y = 6;②当点P在BC上运动时,如图
(1),过点B作BE⊥AD于点E.
∵tanA = $\frac{4}{3}$,AB = 5,
∴BE = 4,AE = 3.
∵AB + BP = x,
∴BP = EH = x - 5,
∴AH = 3 + x - 5 = x - 2,
∴y = $\frac{1}{2}$AH·PH = $\frac{1}{2}$·(x - 2)·4 = 2x - 4,为一次函数,且当x = 10时,y = 16;③当点P在CD上运动时,如图
(2),此时,AD = AH = 3 + 5 = 8.
∵AB + BC + CP = x,
∴PH = AB + BC + CD - x = 14 - x,
∴y = $\frac{1}{2}$AH·PH = $\frac{1}{2}$×8·(14 - x) = - 4x + 56,且当x = 14时,y = 0.故B,C,D不正确,A正确.故选A.
查看更多完整答案,请扫码查看