第91页
- 第1页
- 第2页
- 第3页
- 第4页
- 第5页
- 第6页
- 第7页
- 第8页
- 第9页
- 第10页
- 第11页
- 第12页
- 第13页
- 第14页
- 第15页
- 第16页
- 第17页
- 第18页
- 第19页
- 第20页
- 第21页
- 第22页
- 第23页
- 第24页
- 第25页
- 第26页
- 第27页
- 第28页
- 第29页
- 第30页
- 第31页
- 第32页
- 第33页
- 第34页
- 第35页
- 第36页
- 第37页
- 第38页
- 第39页
- 第40页
- 第41页
- 第42页
- 第43页
- 第44页
- 第45页
- 第46页
- 第47页
- 第48页
- 第49页
- 第50页
- 第51页
- 第52页
- 第53页
- 第54页
- 第55页
- 第56页
- 第57页
- 第58页
- 第59页
- 第60页
- 第61页
- 第62页
- 第63页
- 第64页
- 第65页
- 第66页
- 第67页
- 第68页
- 第69页
- 第70页
- 第71页
- 第72页
- 第73页
- 第74页
- 第75页
- 第76页
- 第77页
- 第78页
- 第79页
- 第80页
- 第81页
- 第82页
- 第83页
- 第84页
- 第85页
- 第86页
- 第87页
- 第88页
- 第89页
- 第90页
- 第91页
- 第92页
- 第93页
- 第94页
- 第95页
- 第96页
- 第97页
- 第98页
- 第99页
- 第100页
- 第101页
- 第102页
- 第103页
- 第104页
- 第105页
- 第106页
- 第107页
- 第108页
- 第109页
- 第110页
- 第111页
- 第112页
- 第113页
- 第114页
- 第115页
- 第116页
- 第117页
- 第118页
- 第119页
- 第120页
- 第121页
- 第122页
- 第123页
- 第124页
- 第125页
- 第126页
- 第127页
- 第128页
- 第129页
- 第130页
- 第131页
- 第132页
- 第133页
- 第134页
- 第135页
- 第136页
- 第137页
- 第138页
- 第139页
- 第140页
- 第141页
- 第142页
- 第143页
- 第144页
- 第145页
- 第146页
- 第147页
- 第148页
- 第149页
- 第150页
- 第151页
- 第152页
- 第153页
- 第154页
- 第155页
- 第156页
- 第157页
- 第158页
- 第159页
- 第160页
- 第161页
- 第162页
例2 已知一次函数$y = (m - 2)x - \frac{m^2}{4} + 1$.
(1)当$m$为何值时,函数图象过原点?
(2)当$m$为何值时,函数图象与$y轴交于点(0, -3)$?
(3)当$m$为何值时,函数图象平行于直线$y = 2x$?
思路提示 函数图象上的点一定满足函数关系,$k$值相同的两个一次函数的图象平行或重合.
尝试解答
小结反思 函数图象过原点时,$b = 0$. 图象平行于$x$轴时,点的纵坐标相等;平行于$y$轴时,点的横坐标相等. 图象与$x轴的交点坐标为(-\frac{b}{k}, 0)$,与$y轴的交点坐标为(0, b)$.
(1)当$m$为何值时,函数图象过原点?
(2)当$m$为何值时,函数图象与$y轴交于点(0, -3)$?
(3)当$m$为何值时,函数图象平行于直线$y = 2x$?
思路提示 函数图象上的点一定满足函数关系,$k$值相同的两个一次函数的图象平行或重合.
尝试解答
小结反思 函数图象过原点时,$b = 0$. 图象平行于$x$轴时,点的纵坐标相等;平行于$y$轴时,点的横坐标相等. 图象与$x轴的交点坐标为(-\frac{b}{k}, 0)$,与$y轴的交点坐标为(0, b)$.
答案:
$(1)$ 当函数图象过原点时
- 解:
已知一次函数$y=(m - 2)x-\frac{m^2}{4}+1$,函数图象过原点$(0,0)$,将$(0,0)$代入函数可得:
$0=(m - 2)×0-\frac{m^2}{4}+1$,即$-\frac{m^2}{4}+1 = 0$。
移项可得$\frac{m^2}{4}=1$,两边同时乘以$4$得$m^2 = 4$,解得$m=\pm2$。
又因为一次函数$y = kx + b$($k\neq0$),这里$k=m - 2$,当$m = 2$时,$k=2-2 = 0$,不符合一次函数定义,所以舍去$m = 2$。
故$m=-2$。
$(2)$ 当函数图象与$y$轴交于点$(0,-3)$时
- 解:
因为函数$y=(m - 2)x-\frac{m^2}{4}+1$与$y$轴交于点$(0,-3)$,把$x = 0$,$y=-3$代入函数得:
$-3=(m - 2)×0-\frac{m^2}{4}+1$,即$-\frac{m^2}{4}+1=-3$。
移项可得$-\frac{m^2}{4}=-3 - 1=-4$,两边同时乘以$-4$得$m^2 = 16$,解得$m=\pm4$。
$(3)$ 当函数图象平行于直线$y = 2x$时
- 解:
对于一次函数$y_1=k_1x + b_1$,$y_2=k_2x + b_2$,若两直线平行,则$k_1 = k_2$且$b_1\neq b_2$。
已知一次函数$y=(m - 2)x-\frac{m^2}{4}+1$平行于直线$y = 2x$($y = 2x$中$k = 2$,$b = 0$),则$m - 2=2$,解得$m=4$。
此时$-\frac{m^2}{4}+1=-\frac{4^2}{4}+1=-4 + 1=-3\neq0$,符合条件。
综上,答案依次为:$(1)$$\boldsymbol{m=-2}$;$(2)$$\boldsymbol{m=\pm4}$;$(3)$$\boldsymbol{m = 4}$。
- 解:
已知一次函数$y=(m - 2)x-\frac{m^2}{4}+1$,函数图象过原点$(0,0)$,将$(0,0)$代入函数可得:
$0=(m - 2)×0-\frac{m^2}{4}+1$,即$-\frac{m^2}{4}+1 = 0$。
移项可得$\frac{m^2}{4}=1$,两边同时乘以$4$得$m^2 = 4$,解得$m=\pm2$。
又因为一次函数$y = kx + b$($k\neq0$),这里$k=m - 2$,当$m = 2$时,$k=2-2 = 0$,不符合一次函数定义,所以舍去$m = 2$。
故$m=-2$。
$(2)$ 当函数图象与$y$轴交于点$(0,-3)$时
- 解:
因为函数$y=(m - 2)x-\frac{m^2}{4}+1$与$y$轴交于点$(0,-3)$,把$x = 0$,$y=-3$代入函数得:
$-3=(m - 2)×0-\frac{m^2}{4}+1$,即$-\frac{m^2}{4}+1=-3$。
移项可得$-\frac{m^2}{4}=-3 - 1=-4$,两边同时乘以$-4$得$m^2 = 16$,解得$m=\pm4$。
$(3)$ 当函数图象平行于直线$y = 2x$时
- 解:
对于一次函数$y_1=k_1x + b_1$,$y_2=k_2x + b_2$,若两直线平行,则$k_1 = k_2$且$b_1\neq b_2$。
已知一次函数$y=(m - 2)x-\frac{m^2}{4}+1$平行于直线$y = 2x$($y = 2x$中$k = 2$,$b = 0$),则$m - 2=2$,解得$m=4$。
此时$-\frac{m^2}{4}+1=-\frac{4^2}{4}+1=-4 + 1=-3\neq0$,符合条件。
综上,答案依次为:$(1)$$\boldsymbol{m=-2}$;$(2)$$\boldsymbol{m=\pm4}$;$(3)$$\boldsymbol{m = 4}$。
变式训练2 已知一次函数$y = (1 - 4k)x + 3k - 6$,请解答下列问题:
(1)$k$为何值时,该函数的图象与直线$y = -3x + 1$平行?
(2)$k$为何值时,$y随x$增大而增大?
(3)$k$为何值时,该函数的图象经过第二、三、四象限?
(1)$k$为何值时,该函数的图象与直线$y = -3x + 1$平行?
(2)$k$为何值时,$y随x$增大而增大?
(3)$k$为何值时,该函数的图象经过第二、三、四象限?
答案:
1. **$(1)$求$k$为何值时,函数图象与直线$y = - 3x + 1$平行:
解:对于一次函数$y = k_1x + b_1$与$y = k_2x + b_2$,若两直线平行,则$k_1 = k_2$且$b_1\neq b_2$。
已知一次函数$y=(1 - 4k)x + 3k - 6$与$y=-3x + 1$平行,则$\begin{cases}1 - 4k=-3\\3k - 6\neq1\end{cases}$。
由$1 - 4k=-3$,移项可得$-4k=-3 - 1$,即$-4k=-4$,解得$k = 1$。
当$k = 1$时,$3k-6=3×1 - 6=-3\neq1$,所以$k = 1$。
2. **$(2)$求$k$为何值时,$y$随$x$增大而增大:
解:对于一次函数$y = kx + b$($k\neq0$),当$k\gt0$时,$y$随$x$的增大而增大。
对于函数$y=(1 - 4k)x + 3k - 6$,令$1 - 4k\gt0$。
移项可得$-4k\gt - 1$,两边同时除以$-4$,根据不等式两边同时除以一个负数,不等号方向改变,得$k\lt\frac{1}{4}$。
3. **$(3)$求$k$为何值时,函数图象经过第二、三、四象限:
解:对于一次函数$y = kx + b$($k\neq0$),若图象经过第二、三、四象限,则$\begin{cases}k\lt0\\b\lt0\end{cases}$。
对于函数$y=(1 - 4k)x + 3k - 6$,则$\begin{cases}1 - 4k\lt0\\3k - 6\lt0\end{cases}$。
解不等式$1 - 4k\lt0$:
移项得$-4k\lt - 1$,两边同时除以$-4$,不等号方向改变,得$k\gt\frac{1}{4}$。
解不等式$3k - 6\lt0$:
移项得$3k\lt6$,两边同时除以$3$,得$k\lt2$。
所以$\frac{1}{4}\lt k\lt2$。
综上,答案依次为:$(1)k = 1$;$(2)k\lt\frac{1}{4}$;$(3)\frac{1}{4}\lt k\lt2$。
解:对于一次函数$y = k_1x + b_1$与$y = k_2x + b_2$,若两直线平行,则$k_1 = k_2$且$b_1\neq b_2$。
已知一次函数$y=(1 - 4k)x + 3k - 6$与$y=-3x + 1$平行,则$\begin{cases}1 - 4k=-3\\3k - 6\neq1\end{cases}$。
由$1 - 4k=-3$,移项可得$-4k=-3 - 1$,即$-4k=-4$,解得$k = 1$。
当$k = 1$时,$3k-6=3×1 - 6=-3\neq1$,所以$k = 1$。
2. **$(2)$求$k$为何值时,$y$随$x$增大而增大:
解:对于一次函数$y = kx + b$($k\neq0$),当$k\gt0$时,$y$随$x$的增大而增大。
对于函数$y=(1 - 4k)x + 3k - 6$,令$1 - 4k\gt0$。
移项可得$-4k\gt - 1$,两边同时除以$-4$,根据不等式两边同时除以一个负数,不等号方向改变,得$k\lt\frac{1}{4}$。
3. **$(3)$求$k$为何值时,函数图象经过第二、三、四象限:
解:对于一次函数$y = kx + b$($k\neq0$),若图象经过第二、三、四象限,则$\begin{cases}k\lt0\\b\lt0\end{cases}$。
对于函数$y=(1 - 4k)x + 3k - 6$,则$\begin{cases}1 - 4k\lt0\\3k - 6\lt0\end{cases}$。
解不等式$1 - 4k\lt0$:
移项得$-4k\lt - 1$,两边同时除以$-4$,不等号方向改变,得$k\gt\frac{1}{4}$。
解不等式$3k - 6\lt0$:
移项得$3k\lt6$,两边同时除以$3$,得$k\lt2$。
所以$\frac{1}{4}\lt k\lt2$。
综上,答案依次为:$(1)k = 1$;$(2)k\lt\frac{1}{4}$;$(3)\frac{1}{4}\lt k\lt2$。
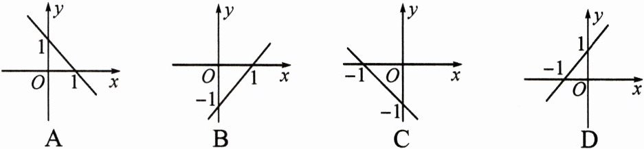
1. 在平面直角坐标系中,一次函数$y = x - 1$的图象是(

B
).
答案:
B
2. 一次函数$y = -2x + 4的图象与y$轴的交点坐标是(
A.$(0, 4)$
B.$(4, 0)$
C.$(2, 0)$
D.$(0, 2)$
A
).A.$(0, 4)$
B.$(4, 0)$
C.$(2, 0)$
D.$(0, 2)$
答案:
A
3. 下列直线中与直线$y = -3x + 5$平行的是(
A.$y = 5x$
B.$y = -5x + 3$
C.$y = -3x + 1$
D.$y = 3x$
C
).A.$y = 5x$
B.$y = -5x + 3$
C.$y = -3x + 1$
D.$y = 3x$
答案:
C
4. 若一次函数$y = kx + b满足kb > 0$,且$y随x$的增大而减小,则该函数的图象不经过(
A.第一象限
B.第二象限
C.第三象限
D.第四象限
A
).A.第一象限
B.第二象限
C.第三象限
D.第四象限
答案:
A
5. 已知一次函数$y = kx - m - 2x的图象与y$轴的负半轴相交,且函数值$y随自变量x$的增大而减小,则下列结论中正确的是(
A.$k < 2, m < 0$
B.$k < 2, m > 0$
C.$k > 2, m > 0$
D.$k < 0, m < 0$
B
).A.$k < 2, m < 0$
B.$k < 2, m > 0$
C.$k > 2, m > 0$
D.$k < 0, m < 0$
答案:
B
查看更多完整答案,请扫码查看