第48页
- 第1页
- 第2页
- 第3页
- 第4页
- 第5页
- 第6页
- 第7页
- 第8页
- 第9页
- 第10页
- 第11页
- 第12页
- 第13页
- 第14页
- 第15页
- 第16页
- 第17页
- 第18页
- 第19页
- 第20页
- 第21页
- 第22页
- 第23页
- 第24页
- 第25页
- 第26页
- 第27页
- 第28页
- 第29页
- 第30页
- 第31页
- 第32页
- 第33页
- 第34页
- 第35页
- 第36页
- 第37页
- 第38页
- 第39页
- 第40页
- 第41页
- 第42页
- 第43页
- 第44页
- 第45页
- 第46页
- 第47页
- 第48页
- 第49页
- 第50页
- 第51页
- 第52页
- 第53页
- 第54页
- 第55页
- 第56页
- 第57页
- 第58页
- 第59页
- 第60页
- 第61页
- 第62页
- 第63页
- 第64页
- 第65页
- 第66页
- 第67页
- 第68页
- 第69页
- 第70页
- 第71页
- 第72页
- 第73页
- 第74页
- 第75页
- 第76页
- 第77页
- 第78页
- 第79页
- 第80页
- 第81页
- 第82页
- 第83页
- 第84页
- 第85页
- 第86页
- 第87页
- 第88页
- 第89页
- 第90页
- 第91页
- 第92页
- 第93页
- 第94页
- 第95页
- 第96页
- 第97页
- 第98页
- 第99页
- 第100页
- 第101页
- 第102页
- 第103页
- 第104页
- 第105页
- 第106页
- 第107页
- 第108页
- 第109页
- 第110页
- 第111页
- 第112页
- 第113页
- 第114页
- 第115页
- 第116页
- 第117页
- 第118页
- 第119页
- 第120页
- 第121页
- 第122页
- 第123页
- 第124页
- 第125页
- 第126页
- 第127页
- 第128页
- 第129页
- 第130页
- 第131页
- 第132页
- 第133页
- 第134页
- 第135页
- 第136页
- 第137页
- 第138页
- 第139页
- 第140页
- 第141页
- 第142页
- 第143页
- 第144页
- 第145页
- 第146页
- 第147页
- 第148页
- 第149页
- 第150页
- 第151页
- 第152页
- 第153页
- 第154页
- 第155页
- 第156页
- 第157页
- 第158页
- 第159页
- 第160页
- 第161页
- 第162页
1. 小马做了下列4道题:①$\sqrt{3}+\sqrt{2}= \sqrt{5}$;②$\sqrt{27}= \pm3\sqrt{3}$;③$\sqrt{5^{2}-3^{2}}= \sqrt{5^{2}}-\sqrt{3^{2}}= 5 - 3 = 2$;④$\sqrt{3}-\sqrt{12}= -\sqrt{3}$。小马做对了(
A.1道
B.2道
C.3道
D.4道
A
)。A.1道
B.2道
C.3道
D.4道
答案:
A
2. 陈老师在黑板上写了一个式子:$(\sqrt{3}+1)□(1-\sqrt{3})$。如果要求运算结果是有理数,那么“$□$”中的运算符号可能是(
A.$+或×$
B.$×或÷$
C.$+或-$
D.$-或÷$
A
)A.$+或×$
B.$×或÷$
C.$+或-$
D.$-或÷$
答案:
A
3. (2024·济宁中考)下列运算中正确的是(
A.$\sqrt{2}+\sqrt{3}= \sqrt{5}$
B.$\sqrt{2}×\sqrt{5}= \sqrt{10}$
C.$2÷\sqrt{2}= 1$
D.$\sqrt{(-5)^{2}}= -5$
B
)。A.$\sqrt{2}+\sqrt{3}= \sqrt{5}$
B.$\sqrt{2}×\sqrt{5}= \sqrt{10}$
C.$2÷\sqrt{2}= 1$
D.$\sqrt{(-5)^{2}}= -5$
答案:
B
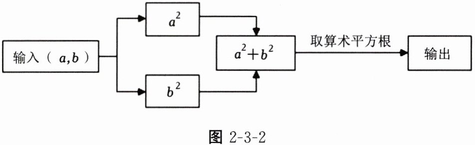
4. 按图2 - 3 - 2的程序计算,若输入$a = 3$,$b = 4$,则输出的结果为

5
。
答案:
5
5. (2024·威海中考)计算:$\sqrt{12}-\sqrt{8}×\sqrt{6}=$
$-2\sqrt{3}$
。
答案:
$-2\sqrt{3}$
6. 已知$\sqrt{5}的整数部分是x$,小数部分是$y$,则$y^{2}+4y= $
1
。
答案:
1
7. 对于任意不相等的两个实数$a$,$b$,定义运算“※”:$a※b= \frac{\sqrt{a + b}}{a - b}$,如$3※2= \frac{\sqrt{3 + 2}}{3 - 2}= \sqrt{5}$。计算:$4※12= $
$-\frac{1}{2}$
。
答案:
$-\frac{1}{2}$
8. 已知$xy < 0$,化简二次根式$x\sqrt{-\frac{y}{x^{2}}}$的结果为
$\sqrt{-y}$
。
答案:
$\sqrt{-y}$
9. 计算:
(1)$-2\sqrt{72}+6\sqrt{\frac{1}{2}}$; (2)$\sqrt{27}-\sqrt{\frac{1}{3}}+\sqrt{12}$;
(3)$(3\sqrt{48}-2\sqrt{27})÷\sqrt{3}$; (4)$\sqrt{18}×\sqrt{3}-24\sqrt{\frac{1}{6}}$;
(5)$(\sqrt{6}-\sqrt{3})^{2}$; (6)$\frac{\sqrt{40}+\sqrt{5}}{\sqrt{5}}$。

(1)$-2\sqrt{72}+6\sqrt{\frac{1}{2}}$; (2)$\sqrt{27}-\sqrt{\frac{1}{3}}+\sqrt{12}$;
(3)$(3\sqrt{48}-2\sqrt{27})÷\sqrt{3}$; (4)$\sqrt{18}×\sqrt{3}-24\sqrt{\frac{1}{6}}$;
(5)$(\sqrt{6}-\sqrt{3})^{2}$; (6)$\frac{\sqrt{40}+\sqrt{5}}{\sqrt{5}}$。
答案:
(1)$-9\sqrt{2}$
(2)$\frac{14\sqrt{3}}{3}$
(3)6
(4)$-\sqrt{6}$
(5)$9-6\sqrt{2}$
(6)$2\sqrt{2}+1$
(1)$-9\sqrt{2}$
(2)$\frac{14\sqrt{3}}{3}$
(3)6
(4)$-\sqrt{6}$
(5)$9-6\sqrt{2}$
(6)$2\sqrt{2}+1$
查看更多完整答案,请扫码查看