第5页
- 第1页
- 第2页
- 第3页
- 第4页
- 第5页
- 第6页
- 第7页
- 第8页
- 第9页
- 第10页
- 第11页
- 第12页
- 第13页
- 第14页
- 第15页
- 第16页
- 第17页
- 第18页
- 第19页
- 第20页
- 第21页
- 第22页
- 第23页
- 第24页
- 第25页
- 第26页
- 第27页
- 第28页
- 第29页
- 第30页
- 第31页
- 第32页
- 第33页
- 第34页
- 第35页
- 第36页
- 第37页
- 第38页
- 第39页
- 第40页
- 第41页
- 第42页
- 第43页
- 第44页
- 第45页
- 第46页
- 第47页
- 第48页
- 第49页
- 第50页
- 第51页
- 第52页
- 第53页
- 第54页
- 第55页
- 第56页
- 第57页
- 第58页
- 第59页
- 第60页
- 第61页
- 第62页
- 第63页
- 第64页
- 第65页
- 第66页
- 第67页
- 第68页
- 第69页
- 第70页
- 第71页
- 第72页
- 第73页
- 第74页
- 第75页
- 第76页
- 第77页
- 第78页
- 第79页
- 第80页
- 第81页
- 第82页
- 第83页
- 第84页
- 第85页
- 第86页
- 第87页
- 第88页
- 第89页
- 第90页
- 第91页
- 第92页
- 第93页
- 第94页
- 第95页
- 第96页
- 第97页
- 第98页
- 第99页
- 第100页
- 第101页
- 第102页
- 第103页
- 第104页
- 第105页
- 第106页
- 第107页
- 第108页
- 第109页
- 第110页
- 第111页
- 第112页
- 第113页
- 第114页
- 第115页
- 第116页
10. 用配方法解方程$ x^{2}-6x+5= 0 $,配方后所得的方程是( ).
A.$ (x + 3)^{2}= -4 $
B.$ (x - 3)^{2}= -4 $
C.$ (x + 3)^{2}= 4 $
D.$ (x - 3)^{2}= 4 $
A.$ (x + 3)^{2}= -4 $
B.$ (x - 3)^{2}= -4 $
C.$ (x + 3)^{2}= 4 $
D.$ (x - 3)^{2}= 4 $
答案:
D.
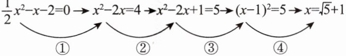
11. 下列用配方法解方程$\frac{1}{2}x^{2}-x-2= 0$的四个步骤中,出现
$\frac{1}{2}x^{2}-x-2= 0\xrightarrow{①}x^{2}-2x= 4\xrightarrow{②}x^{2}-2x+1= 5\xrightarrow{③}(x - 1)^{2}= 5\xrightarrow{④}x= \sqrt{5}+1$

A.①
B.②
C.③
D.④
错
误
的是( ).$\frac{1}{2}x^{2}-x-2= 0\xrightarrow{①}x^{2}-2x= 4\xrightarrow{②}x^{2}-2x+1= 5\xrightarrow{③}(x - 1)^{2}= 5\xrightarrow{④}x= \sqrt{5}+1$
A.①
B.②
C.③
D.④
答案:
D.
二、解方程(用配方法解一元二次方程)
12. $ 2x^{2}-4x-3= 0 $.
13. $ 2x^{2}-10x= 3 $.
12. $ 2x^{2}-4x-3= 0 $.
13. $ 2x^{2}-10x= 3 $.
答案:
12. $x_{1}=\frac{2+\sqrt{10}}{2}$,$x_{2}=\frac{2-\sqrt{10}}{2}$.13. $x_{1}=\frac{5+\sqrt{31}}{2}$,$x_{2}=\frac{5-\sqrt{31}}{2}$.
查看更多完整答案,请扫码查看