第43页
- 第1页
- 第2页
- 第3页
- 第4页
- 第5页
- 第6页
- 第7页
- 第8页
- 第9页
- 第10页
- 第11页
- 第12页
- 第13页
- 第14页
- 第15页
- 第16页
- 第17页
- 第18页
- 第19页
- 第20页
- 第21页
- 第22页
- 第23页
- 第24页
- 第25页
- 第26页
- 第27页
- 第28页
- 第29页
- 第30页
- 第31页
- 第32页
- 第33页
- 第34页
- 第35页
- 第36页
- 第37页
- 第38页
- 第39页
- 第40页
- 第41页
- 第42页
- 第43页
- 第44页
- 第45页
- 第46页
- 第47页
- 第48页
- 第49页
- 第50页
- 第51页
- 第52页
- 第53页
- 第54页
- 第55页
- 第56页
- 第57页
- 第58页
- 第59页
- 第60页
- 第61页
- 第62页
- 第63页
- 第64页
- 第65页
- 第66页
- 第67页
- 第68页
- 第69页
- 第70页
- 第71页
- 第72页
- 第73页
- 第74页
- 第75页
- 第76页
- 第77页
- 第78页
- 第79页
- 第80页
- 第81页
- 第82页
- 第83页
- 第84页
- 第85页
- 第86页
- 第87页
- 第88页
- 第89页
- 第90页
- 第91页
- 第92页
- 第93页
- 第94页
- 第95页
- 第96页
- 第97页
- 第98页
- 第99页
- 第100页
- 第101页
- 第102页
- 第103页
- 第104页
- 第105页
- 第106页
- 第107页
- 第108页
- 第109页
- 第110页
- 第111页
- 第112页
- 第113页
- 第114页
- 第115页
- 第116页
5. 已知抛物线$y = ax^{2}+bx + c(a\neq0)$,写出下列各情形中,常数$a$,$b$,$c$满足的条件.
(1)若抛物线的顶点是原点,则______;
(2)若抛物线经过原点,则______;
(3)若抛物线的顶点在$y$轴上,则______;
(4)若抛物线的顶点在$x$轴上,则______.
(1)若抛物线的顶点是原点,则______;
(2)若抛物线经过原点,则______;
(3)若抛物线的顶点在$y$轴上,则______;
(4)若抛物线的顶点在$x$轴上,则______.
答案:
(1)b=c=0;(2)c=0;(3)b=0;(4)b²-4ac=0.
6. 若二次函数$y = mx^{2}-3x + m^{2}-2m$的图象经过原点,则$m = $______,这个函数的表达式是______.
答案:
2;y=2x²-3x.
7. 已知抛物线$y = ax^{2}+bx + c$,若$ac\lt0$,则该抛物线与$x$轴有______个交点.
答案:
两
8. 二次函数$y = ax^{2}+bx + c$,若$a\gt0$,$b\lt0$,$c = 0$,则它的图象的顶点在______象限,图象不经过______象限,必经过______象限.
答案:
第四;第三;第二、四、一
9. 已知抛物线$y = 2x^{2}-4x + k与x$轴只有一个公共点,则$k = $______,顶点坐标为______.
答案:
2;(1,0)
10. 二次函数$y = ax^{2}-3x + a^{2}-1$的图象如图所示,则$a$的值是______.

答案:
-1
11. 函数$y = -x^{2}+2x + c$的部分图象如图所示,则$c = $______,当$y\gt0$时,$x$的取值范围是______.

答案:
3;-1<x<3
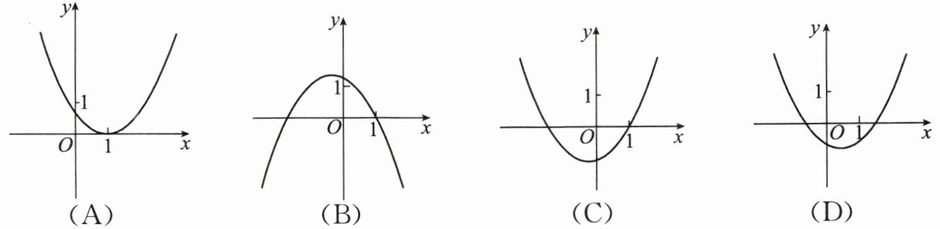
12. 已知$a\gt b\gt c$,且$a + b + c = 0$,则二次函数$y = ax^{2}+bx + c$的图象可能是下列图象中的( ).

A.
B.
C.
D.
A.
B.
C.
D.
答案:
C
查看更多完整答案,请扫码查看