第148页
- 第1页
- 第2页
- 第3页
- 第4页
- 第5页
- 第6页
- 第7页
- 第8页
- 第9页
- 第10页
- 第11页
- 第12页
- 第13页
- 第14页
- 第15页
- 第16页
- 第17页
- 第18页
- 第19页
- 第20页
- 第21页
- 第22页
- 第23页
- 第24页
- 第25页
- 第26页
- 第27页
- 第28页
- 第29页
- 第30页
- 第31页
- 第32页
- 第33页
- 第34页
- 第35页
- 第36页
- 第37页
- 第38页
- 第39页
- 第40页
- 第41页
- 第42页
- 第43页
- 第44页
- 第45页
- 第46页
- 第47页
- 第48页
- 第49页
- 第50页
- 第51页
- 第52页
- 第53页
- 第54页
- 第55页
- 第56页
- 第57页
- 第58页
- 第59页
- 第60页
- 第61页
- 第62页
- 第63页
- 第64页
- 第65页
- 第66页
- 第67页
- 第68页
- 第69页
- 第70页
- 第71页
- 第72页
- 第73页
- 第74页
- 第75页
- 第76页
- 第77页
- 第78页
- 第79页
- 第80页
- 第81页
- 第82页
- 第83页
- 第84页
- 第85页
- 第86页
- 第87页
- 第88页
- 第89页
- 第90页
- 第91页
- 第92页
- 第93页
- 第94页
- 第95页
- 第96页
- 第97页
- 第98页
- 第99页
- 第100页
- 第101页
- 第102页
- 第103页
- 第104页
- 第105页
- 第106页
- 第107页
- 第108页
- 第109页
- 第110页
- 第111页
- 第112页
- 第113页
- 第114页
- 第115页
- 第116页
- 第117页
- 第118页
- 第119页
- 第120页
- 第121页
- 第122页
- 第123页
- 第124页
- 第125页
- 第126页
- 第127页
- 第128页
- 第129页
- 第130页
- 第131页
- 第132页
- 第133页
- 第134页
- 第135页
- 第136页
- 第137页
- 第138页
- 第139页
- 第140页
- 第141页
- 第142页
- 第143页
- 第144页
- 第145页
- 第146页
- 第147页
- 第148页
- 第149页
- 第150页
- 第151页
- 第152页
- 第153页
- 第154页
- 第155页
- 第156页
- 第157页
- 第158页
- 第159页
- 第160页
- 第161页
- 第162页
- 第163页
- 第164页
- 第165页
- 第166页
- 第167页
- 第168页
23. (10分)为了了解八年级学生每天完成课外作业时间的情况,从全区八年级学生中随机抽取部分学生每天完成课外作业的时间进行调查,并将调查结果绘制成如下不完整的统计图表:

(1) $ a = $______, $ b = $______;
(2) 请在图中补全频数分布直方图;
(3) 根据规定,八年级学生每天完成课外作业的时间不超过 $ 1.5 $h,则全区4 800名八年级学生中每天完成课外作业时间超过规定的约有多少人?
(1) $ a = $______, $ b = $______;
(2) 请在图中补全频数分布直方图;
(3) 根据规定,八年级学生每天完成课外作业的时间不超过 $ 1.5 $h,则全区4 800名八年级学生中每天完成课外作业时间超过规定的约有多少人?
答案:
(1)$40$ $0.15$
(2)由(1),得$a = 40$,所以$c = 40 × 0.3 = 12$。补全频数分布直方图如图所示:
(3)由(1),得$b = 0.15$,所以全区$4800$名八年级学生中每天完成课外作业时间超过规定的约有$4800 × (0.15 + 0.05) = 960$(人)。
(1)$40$ $0.15$
(2)由(1),得$a = 40$,所以$c = 40 × 0.3 = 12$。补全频数分布直方图如图所示:
(3)由(1),得$b = 0.15$,所以全区$4800$名八年级学生中每天完成课外作业时间超过规定的约有$4800 × (0.15 + 0.05) = 960$(人)。
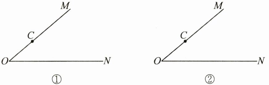
24. (10分)已知 $ C $为 $ \angle MON $的边 $ OM $上的一个点, $ OC = 2 $。
(1) 请在图①中用无刻度的直尺和圆规作图:在直线 $ CM $上确定一个点 $ A $,作 $ \odot A $,使得 $ \odot A $经过点 $ C $,并且与 $ ON $相切于点 $ B $(不写作法,保留作图痕迹);
(2) 在(1)中,连接 $ BC $,过点 $ A $作 $ AD \perp BC $交 $ ON $于点 $ D $,连接 $ CD $。若 $ \odot A $的半径为3,则 $ CD = $______(如需画草图,请使用图②)。

(1) 请在图①中用无刻度的直尺和圆规作图:在直线 $ CM $上确定一个点 $ A $,作 $ \odot A $,使得 $ \odot A $经过点 $ C $,并且与 $ ON $相切于点 $ B $(不写作法,保留作图痕迹);
(2) 在(1)中,连接 $ BC $,过点 $ A $作 $ AD \perp BC $交 $ ON $于点 $ D $,连接 $ CD $。若 $ \odot A $的半径为3,则 $ CD = $______(如需画草图,请使用图②)。
答案:
(1)如图,$A'$,$A''$两点即为所求。
(2)$\frac{3}{2}$ 解析:由(1)及题意,得点$A$在点$C$的右侧,$OC = 2$,$AC = AB = 3$,$AB\perp ON$,$AD\perp BC$,所以$\angle ABD = 90^{\circ}$,直线$AD$是$BC$的垂直平分线。所以$BD = CD$。又$AD = AD$,所以$\triangle ACD\cong\triangle ABD$(SSS)。所以$\angle ACD = \angle ABD = 90^{\circ}$,即$\angle OCD = 180^{\circ} - \angle ACD = 90^{\circ}$。在$Rt\triangle OAB$中,$OA = OC + AC = 5$,由勾股定理,得$OB = \sqrt{OA^{2} - AB^{2}} = 4$。设$BD = x$,则$CD = x$,$OD = 4 - x$。在$Rt\triangle OCD$中,由勾股定理,得$OC^{2} + CD^{2} = OD^{2}$,所以$2^{2} + x^{2} = (4 - x)^{2}$,解得$x = \frac{3}{2}$。所以$CD$的长为$\frac{3}{2}$。
(1)如图,$A'$,$A''$两点即为所求。
(2)$\frac{3}{2}$ 解析:由(1)及题意,得点$A$在点$C$的右侧,$OC = 2$,$AC = AB = 3$,$AB\perp ON$,$AD\perp BC$,所以$\angle ABD = 90^{\circ}$,直线$AD$是$BC$的垂直平分线。所以$BD = CD$。又$AD = AD$,所以$\triangle ACD\cong\triangle ABD$(SSS)。所以$\angle ACD = \angle ABD = 90^{\circ}$,即$\angle OCD = 180^{\circ} - \angle ACD = 90^{\circ}$。在$Rt\triangle OAB$中,$OA = OC + AC = 5$,由勾股定理,得$OB = \sqrt{OA^{2} - AB^{2}} = 4$。设$BD = x$,则$CD = x$,$OD = 4 - x$。在$Rt\triangle OCD$中,由勾股定理,得$OC^{2} + CD^{2} = OD^{2}$,所以$2^{2} + x^{2} = (4 - x)^{2}$,解得$x = \frac{3}{2}$。所以$CD$的长为$\frac{3}{2}$。
25. (10分)新趋势 情境素材 【问题情境】 简车是我国古代发明的一种水利灌溉工具,既经济又环保,明朝科学家徐光启在《农政全书》中用图画描绘了简车的工作原理。假定在水流量稳定的情况下,简车上的每一个盛水筒都按逆时针做匀速圆周运动,每旋转一周用时72 s。
【问题设置】 把简车抽象为一个半径为 $ r $的 $ \odot O $。如图, $ OM $始终垂直于水平面,设简车半径为2 m。当 $ t = 0 $时,某盛水筒恰好位于水面上的点 $ A $处,此时 $ \angle AOM = 45^{\circ} $,经过51 s后该盛水简运动到点 $ B $处。
【问题解决】
(1) 求该盛水筒从点 $ A $处旋转到点 $ B $处时, $ \angle BOM $的度数;
(2) 求该盛水筒旋转至点 $ B $处时,它到水面的距离。

【问题设置】 把简车抽象为一个半径为 $ r $的 $ \odot O $。如图, $ OM $始终垂直于水平面,设简车半径为2 m。当 $ t = 0 $时,某盛水筒恰好位于水面上的点 $ A $处,此时 $ \angle AOM = 45^{\circ} $,经过51 s后该盛水简运动到点 $ B $处。
【问题解决】
(1) 求该盛水筒从点 $ A $处旋转到点 $ B $处时, $ \angle BOM $的度数;
(2) 求该盛水筒旋转至点 $ B $处时,它到水面的距离。
答案:
(1)由题意,得$\angle AOB = 360^{\circ} × \frac{72 - 51}{72} = 105^{\circ}$。又$\angle AOM = 45^{\circ}$,所以$\angle BOM = \angle AOB - \angle AOM = 60^{\circ}$。
(2)如图,过点$B$分别作$BC\perp OM$于点$C$,$BE\perp$水面于点$E$,所以盛水筒旋转至点$B$时,它到水面的距离为$BE$的长。设$OM$与水面交于点$D$,则$OD\perp AD$。所以$\angle BCO = \angle BCD = \angle BED = \angle ODA = \angle ODE = 90^{\circ}$。所以四边形$BCDE$是矩形$BE = CD$。又$\angle AOM = 45^{\circ}$,所以$\angle OAD = 90^{\circ} - \angle AOM = 45^{\circ}$,即$\angle AOM = \angle OAD$。所以$AD = OD$。在$Rt\triangle OAD$中,$OA = 2m$,由勾股定理,得$OD^{2} + AD^{2} = OA^{2}$,所以$2OD^{2} = 4$,解得$OD = \sqrt{2}m$(负值已舍去)。由(1),得$\angle BOM = 60^{\circ}$,且$OB = 2m$,所以$\angle OBC = 90^{\circ} - \angle BOM = 30^{\circ}$,即$OC = \frac{1}{2}OB = 1m$。所以$CD = OD - OC = (\sqrt{2} - 1)m$,即$BE = (\sqrt{2} - 1)m$。则该盛水筒旋转至点$B$处时,它到水面的距离为$(\sqrt{2} - 1)m$。
(1)由题意,得$\angle AOB = 360^{\circ} × \frac{72 - 51}{72} = 105^{\circ}$。又$\angle AOM = 45^{\circ}$,所以$\angle BOM = \angle AOB - \angle AOM = 60^{\circ}$。
(2)如图,过点$B$分别作$BC\perp OM$于点$C$,$BE\perp$水面于点$E$,所以盛水筒旋转至点$B$时,它到水面的距离为$BE$的长。设$OM$与水面交于点$D$,则$OD\perp AD$。所以$\angle BCO = \angle BCD = \angle BED = \angle ODA = \angle ODE = 90^{\circ}$。所以四边形$BCDE$是矩形$BE = CD$。又$\angle AOM = 45^{\circ}$,所以$\angle OAD = 90^{\circ} - \angle AOM = 45^{\circ}$,即$\angle AOM = \angle OAD$。所以$AD = OD$。在$Rt\triangle OAD$中,$OA = 2m$,由勾股定理,得$OD^{2} + AD^{2} = OA^{2}$,所以$2OD^{2} = 4$,解得$OD = \sqrt{2}m$(负值已舍去)。由(1),得$\angle BOM = 60^{\circ}$,且$OB = 2m$,所以$\angle OBC = 90^{\circ} - \angle BOM = 30^{\circ}$,即$OC = \frac{1}{2}OB = 1m$。所以$CD = OD - OC = (\sqrt{2} - 1)m$,即$BE = (\sqrt{2} - 1)m$。则该盛水筒旋转至点$B$处时,它到水面的距离为$(\sqrt{2} - 1)m$。
查看更多完整答案,请扫码查看