第61页
- 第1页
- 第2页
- 第3页
- 第4页
- 第5页
- 第6页
- 第7页
- 第8页
- 第9页
- 第10页
- 第11页
- 第12页
- 第13页
- 第14页
- 第15页
- 第16页
- 第17页
- 第18页
- 第19页
- 第20页
- 第21页
- 第22页
- 第23页
- 第24页
- 第25页
- 第26页
- 第27页
- 第28页
- 第29页
- 第30页
- 第31页
- 第32页
- 第33页
- 第34页
- 第35页
- 第36页
- 第37页
- 第38页
- 第39页
- 第40页
- 第41页
- 第42页
- 第43页
- 第44页
- 第45页
- 第46页
- 第47页
- 第48页
- 第49页
- 第50页
- 第51页
- 第52页
- 第53页
- 第54页
- 第55页
- 第56页
- 第57页
- 第58页
- 第59页
- 第60页
- 第61页
- 第62页
- 第63页
- 第64页
- 第65页
- 第66页
- 第67页
- 第68页
- 第69页
- 第70页
- 第71页
- 第72页
- 第73页
- 第74页
- 第75页
- 第76页
- 第77页
- 第78页
- 第79页
- 第80页
- 第81页
- 第82页
- 第83页
- 第84页
- 第85页
- 第86页
- 第87页
- 第88页
- 第89页
- 第90页
- 第91页
- 第92页
- 第93页
- 第94页
- 第95页
- 第96页
- 第97页
- 第98页
- 第99页
- 第100页
- 第101页
- 第102页
- 第103页
- 第104页
- 第105页
- 第106页
- 第107页
- 第108页
- 第109页
- 第110页
- 第111页
- 第112页
- 第113页
- 第114页
- 第115页
- 第116页
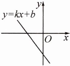
6. 函数$y=kx+b$的图象如图所示,则关于$x$的一元二次方程$x^{2}+bx+k-1=0$的根的情况是(

A. 没有实数根
B. 有两个相等的实数根
C. 有两个不相等的实数根
D. 无法确定
C
)A. 没有实数根
B. 有两个相等的实数根
C. 有两个不相等的实数根
D. 无法确定
答案:
C
7. 已知关于$x$的一元二次方程$(m+1)x^{2}+2x=1$($m$为实数).
(1)如果该方程有两个不相等的实数根,求$m$的取值范围;
(2)如果该方程有两个相等的实数根,求$m$的取值范围;
(3)如果该方程没有实数根,求$m$的取值范围.
(1)如果该方程有两个不相等的实数根,求$m$的取值范围;
(2)如果该方程有两个相等的实数根,求$m$的取值范围;
(3)如果该方程没有实数根,求$m$的取值范围.
答案:
1. 首先将方程化为一般形式:
原方程$(m + 1)x^{2}+2x = 1$化为$(m + 1)x^{2}+2x−1 = 0$。
对于一元二次方程$ax^{2}+bx + c = 0(a\neq0)$,这里$a=m + 1$,$b = 2$,$c=-1$,判别式$\Delta=b^{2}-4ac$。
则$\Delta=2^{2}-4(m + 1)×(-1)=4 + 4(m + 1)=4m+8$。
2. (1)当方程有两个不相等的实数根时:
需满足$\begin{cases}a\neq0\\\Delta>0\end{cases}$,即$\begin{cases}m + 1\neq0\\4m + 8>0\end{cases}$。
解不等式$m + 1\neq0$,得$m\neq - 1$;
解不等式$4m+8>0$,移项得$4m>-8$,两边同时除以$4$,得$m>-2$。
所以$m$的取值范围是$m>-2$且$m\neq - 1$。
3. (2)当方程有两个相等的实数根时:
需满足$\begin{cases}a\neq0\\\Delta = 0\end{cases}$,即$\begin{cases}m + 1\neq0\\4m + 8 = 0\end{cases}$。
解$m + 1\neq0$得$m\neq - 1$;
解$4m+8 = 0$,移项得$4m=-8$,两边同时除以$4$,得$m=-2$。
所以$m$的取值范围是$m=-2$。
4. (3)当方程没有实数根时:
需满足$\begin{cases}a\neq0\\\Delta<0\end{cases}$,即$\begin{cases}m + 1\neq0\\4m + 8<0\end{cases}$。
解$m + 1\neq0$得$m\neq - 1$;
解$4m+8<0$,移项得$4m<-8$,两边同时除以$4$,得$m<-2$。
所以$m$的取值范围是$m<-2$。
综上,(1)$m>-2$且$m\neq - 1$;(2)$m=-2$;(3)$m<-2$。
原方程$(m + 1)x^{2}+2x = 1$化为$(m + 1)x^{2}+2x−1 = 0$。
对于一元二次方程$ax^{2}+bx + c = 0(a\neq0)$,这里$a=m + 1$,$b = 2$,$c=-1$,判别式$\Delta=b^{2}-4ac$。
则$\Delta=2^{2}-4(m + 1)×(-1)=4 + 4(m + 1)=4m+8$。
2. (1)当方程有两个不相等的实数根时:
需满足$\begin{cases}a\neq0\\\Delta>0\end{cases}$,即$\begin{cases}m + 1\neq0\\4m + 8>0\end{cases}$。
解不等式$m + 1\neq0$,得$m\neq - 1$;
解不等式$4m+8>0$,移项得$4m>-8$,两边同时除以$4$,得$m>-2$。
所以$m$的取值范围是$m>-2$且$m\neq - 1$。
3. (2)当方程有两个相等的实数根时:
需满足$\begin{cases}a\neq0\\\Delta = 0\end{cases}$,即$\begin{cases}m + 1\neq0\\4m + 8 = 0\end{cases}$。
解$m + 1\neq0$得$m\neq - 1$;
解$4m+8 = 0$,移项得$4m=-8$,两边同时除以$4$,得$m=-2$。
所以$m$的取值范围是$m=-2$。
4. (3)当方程没有实数根时:
需满足$\begin{cases}a\neq0\\\Delta<0\end{cases}$,即$\begin{cases}m + 1\neq0\\4m + 8<0\end{cases}$。
解$m + 1\neq0$得$m\neq - 1$;
解$4m+8<0$,移项得$4m<-8$,两边同时除以$4$,得$m<-2$。
所以$m$的取值范围是$m<-2$。
综上,(1)$m>-2$且$m\neq - 1$;(2)$m=-2$;(3)$m<-2$。
8. [2023·宜宾]若关于$x$的方程$x^{2}-2(m+1)x+m+4=0$的两根的倒数和为1,则$m$的值为
2
.
答案:
2
9. [2023·内江]已知$a$,$b$是方程$x^{2}+3x-4=0$的两根,则$a^{2}+4a+b-3=$
$-2$
.
答案:
$-2$
10. [2023·湖北]已知关于$x$的一元二次方程$x^{2}-(2m+1)x+m^{2}+m=0$.
(1)求证:无论$m$取何值,方程都有两个不相等的实数根;
(2)设该方程的两个实数根为$a$,$b$,若$(2a+b)(a+2b)=20$,求$m$的值.
(1)求证:无论$m$取何值,方程都有两个不相等的实数根;
(2)设该方程的两个实数根为$a$,$b$,若$(2a+b)(a+2b)=20$,求$m$的值.
$-2$或1
答案:
$(1)$ 证明方程有两个不相等的实数根
对于一元二次方程$Ax^{2}+Bx + C = 0(A\neq0)$,其判别式$\Delta=B^{2}-4AC$。
在方程$x^{2}-(2m + 1)x + m^{2}+m = 0$中,$A = 1$,$B=-(2m + 1)$,$C = m^{2}+m$。
则$\Delta =[-(2m + 1)]^{2}-4×1×(m^{2}+m)$
$=(2m + 1)^{2}-4(m^{2}+m)$
根据完全平方公式$(a+b)^2=a^2+2ab+b^2$展开$(2m + 1)^{2}$得:
$\Delta=4m^{2}+4m + 1-4m^{2}-4m$
$=1$
因为$\Delta=1\gt0$,所以无论$m$取何值,方程都有两个不相等的实数根。
$(2)$ 求$m$的值
根据韦达定理,对于一元二次方程$Ax^{2}+Bx + C = 0(A\neq0)$,若方程的两根为$x_1$和$x_2$,则$x_1 + x_2=-\frac{B}{A}$,$x_1x_2=\frac{C}{A}$。
对于方程$x^{2}-(2m + 1)x + m^{2}+m = 0$,$a + b=2m + 1$,$ab=m^{2}+m$。
对$(2a + b)(a + 2b)$进行化简:
$\begin{aligned}(2a + b)(a + 2b)&=2a^{2}+4ab+ab+2b^{2}\\&=2(a^{2}+2ab + b^{2})+ab\\&=2(a + b)^{2}+ab\end{aligned}$
把$a + b=2m + 1$,$ab=m^{2}+m$代入$2(a + b)^{2}+ab = 20$得:
$2(2m + 1)^{2}+m^{2}+m = 20$
展开$(2m + 1)^{2}$得$2(4m^{2}+4m + 1)+m^{2}+m = 20$
即$8m^{2}+8m + 2+m^{2}+m = 20$
合并同类项得$9m^{2}+9m-18 = 0$
两边同时除以$9$得$m^{2}+m - 2 = 0$
因式分解得$(m + 2)(m - 1)=0$
则$m + 2 = 0$或$m - 1 = 0$
解得$m=-2$或$m = 1$。
综上,$(1)$ 证明过程如上述;$(2)$$\boldsymbol{m=-2}$或$\boldsymbol{m = 1}$。
对于一元二次方程$Ax^{2}+Bx + C = 0(A\neq0)$,其判别式$\Delta=B^{2}-4AC$。
在方程$x^{2}-(2m + 1)x + m^{2}+m = 0$中,$A = 1$,$B=-(2m + 1)$,$C = m^{2}+m$。
则$\Delta =[-(2m + 1)]^{2}-4×1×(m^{2}+m)$
$=(2m + 1)^{2}-4(m^{2}+m)$
根据完全平方公式$(a+b)^2=a^2+2ab+b^2$展开$(2m + 1)^{2}$得:
$\Delta=4m^{2}+4m + 1-4m^{2}-4m$
$=1$
因为$\Delta=1\gt0$,所以无论$m$取何值,方程都有两个不相等的实数根。
$(2)$ 求$m$的值
根据韦达定理,对于一元二次方程$Ax^{2}+Bx + C = 0(A\neq0)$,若方程的两根为$x_1$和$x_2$,则$x_1 + x_2=-\frac{B}{A}$,$x_1x_2=\frac{C}{A}$。
对于方程$x^{2}-(2m + 1)x + m^{2}+m = 0$,$a + b=2m + 1$,$ab=m^{2}+m$。
对$(2a + b)(a + 2b)$进行化简:
$\begin{aligned}(2a + b)(a + 2b)&=2a^{2}+4ab+ab+2b^{2}\\&=2(a^{2}+2ab + b^{2})+ab\\&=2(a + b)^{2}+ab\end{aligned}$
把$a + b=2m + 1$,$ab=m^{2}+m$代入$2(a + b)^{2}+ab = 20$得:
$2(2m + 1)^{2}+m^{2}+m = 20$
展开$(2m + 1)^{2}$得$2(4m^{2}+4m + 1)+m^{2}+m = 20$
即$8m^{2}+8m + 2+m^{2}+m = 20$
合并同类项得$9m^{2}+9m-18 = 0$
两边同时除以$9$得$m^{2}+m - 2 = 0$
因式分解得$(m + 2)(m - 1)=0$
则$m + 2 = 0$或$m - 1 = 0$
解得$m=-2$或$m = 1$。
综上,$(1)$ 证明过程如上述;$(2)$$\boldsymbol{m=-2}$或$\boldsymbol{m = 1}$。
11. 某种商品的标价为200元/件,由于销量不佳,店家决定降价促销,经过两次降价后的价格为128元/件,并且两次降价的百分率相同.
(1)求该种商品每次降价的百分率.
(2)已知该种商品的进价为80元/件,若以128元/件售出,则平均每天能售出20件,另外每天需支付其他各种费用100元.在每件降价幅度不超过10元的情况下,若每件每降价1元,则每天可多售出5件.如果每天盈利1475元,那么每件应降价多少元?
(1)求该种商品每次降价的百分率.
(2)已知该种商品的进价为80元/件,若以128元/件售出,则平均每天能售出20件,另外每天需支付其他各种费用100元.在每件降价幅度不超过10元的情况下,若每件每降价1元,则每天可多售出5件.如果每天盈利1475元,那么每件应降价多少元?
答案:
$(1)$求该种商品每次降价的百分率
设该种商品每次降价的百分率为$x$。
根据公式:$商品原价×(1 - 降价百分率)^{降价次数}=降价后的价格$,已知标价$200$元/件,两次降价后价格为$128$元/件,则可列方程:
$200(1 - x)^{2}=128$
$(1 - x)^{2}=\frac{128}{200}$
$(1 - x)^{2}=0.64$
$1 - x=\pm0.8$
当$1 - x = 0.8$时,$x = 1 - 0.8=0.2 = 20\%$;
当$1 - x=-0.8$时,$x = 1 + 0.8 = 1.8$(降价百分率不能大于$1$,舍去)。
所以该种商品每次降价的百分率为$20\%$。
$(2)$求每件应降价多少元
设每件应降价$y$元。
- **步骤一:分析单件利润和销售量
单件利润:已知进价$80$元/件,原售价$128$元/件,降价$y$元后,单件利润为$(128 - 80 - y)=(48 - y)$元。
销售量:原本每天售出$20$件,每降价$1$元多售出$5$件,降价$y$元后,销售量为$(20 + 5y)$件。
- **步骤二:根据盈利公式列方程
根据公式:$总盈利=(单件利润)×(销售量)-其他费用$,已知每天盈利$1475$元,每天需支付其他各种费用$100$元,可列方程:
$(48 - y)(20 + 5y)-100 = 1475$
展开括号得:$48×20+48×5y-20y-5y^{2}-100 = 1475$
$960 + 240y-20y-5y^{2}-100 = 1475$
$-5y^{2}+220y + 860 - 1475 = 0$
$-5y^{2}+220y - 615 = 0$
两边同时除以$-5$得:$y^{2}-44y + 123 = 0$
- **步骤三:求解方程
对于一元二次方程$y^{2}-44y + 123 = 0$,根据求根公式$y=\frac{-b\pm\sqrt{b^{2}-4ac}}{2a}$(其中$a = 1$,$b=-44$,$c = 123$)
$\Delta=b^{2}-4ac=(-44)^{2}-4×1×123=1936 - 492 = 1444$
$y=\frac{44\pm\sqrt{1444}}{2}=\frac{44\pm38}{2}$
解得$y_{1}=\frac{44 + 38}{2}=41$,$y_{2}=\frac{44 - 38}{2}=3$。
- **步骤四:根据条件筛选答案
因为每件降价幅度不超过$10$元,而$41\gt10$,所以$y = 41$舍去。
所以每件应降价$3$元。
综上,答案依次为:$(1)\boldsymbol{20\%}$;$(2)\boldsymbol{3}$元。
设该种商品每次降价的百分率为$x$。
根据公式:$商品原价×(1 - 降价百分率)^{降价次数}=降价后的价格$,已知标价$200$元/件,两次降价后价格为$128$元/件,则可列方程:
$200(1 - x)^{2}=128$
$(1 - x)^{2}=\frac{128}{200}$
$(1 - x)^{2}=0.64$
$1 - x=\pm0.8$
当$1 - x = 0.8$时,$x = 1 - 0.8=0.2 = 20\%$;
当$1 - x=-0.8$时,$x = 1 + 0.8 = 1.8$(降价百分率不能大于$1$,舍去)。
所以该种商品每次降价的百分率为$20\%$。
$(2)$求每件应降价多少元
设每件应降价$y$元。
- **步骤一:分析单件利润和销售量
单件利润:已知进价$80$元/件,原售价$128$元/件,降价$y$元后,单件利润为$(128 - 80 - y)=(48 - y)$元。
销售量:原本每天售出$20$件,每降价$1$元多售出$5$件,降价$y$元后,销售量为$(20 + 5y)$件。
- **步骤二:根据盈利公式列方程
根据公式:$总盈利=(单件利润)×(销售量)-其他费用$,已知每天盈利$1475$元,每天需支付其他各种费用$100$元,可列方程:
$(48 - y)(20 + 5y)-100 = 1475$
展开括号得:$48×20+48×5y-20y-5y^{2}-100 = 1475$
$960 + 240y-20y-5y^{2}-100 = 1475$
$-5y^{2}+220y + 860 - 1475 = 0$
$-5y^{2}+220y - 615 = 0$
两边同时除以$-5$得:$y^{2}-44y + 123 = 0$
- **步骤三:求解方程
对于一元二次方程$y^{2}-44y + 123 = 0$,根据求根公式$y=\frac{-b\pm\sqrt{b^{2}-4ac}}{2a}$(其中$a = 1$,$b=-44$,$c = 123$)
$\Delta=b^{2}-4ac=(-44)^{2}-4×1×123=1936 - 492 = 1444$
$y=\frac{44\pm\sqrt{1444}}{2}=\frac{44\pm38}{2}$
解得$y_{1}=\frac{44 + 38}{2}=41$,$y_{2}=\frac{44 - 38}{2}=3$。
- **步骤四:根据条件筛选答案
因为每件降价幅度不超过$10$元,而$41\gt10$,所以$y = 41$舍去。
所以每件应降价$3$元。
综上,答案依次为:$(1)\boldsymbol{20\%}$;$(2)\boldsymbol{3}$元。
查看更多完整答案,请扫码查看