第29页
- 第1页
- 第2页
- 第3页
- 第4页
- 第5页
- 第6页
- 第7页
- 第8页
- 第9页
- 第10页
- 第11页
- 第12页
- 第13页
- 第14页
- 第15页
- 第16页
- 第17页
- 第18页
- 第19页
- 第20页
- 第21页
- 第22页
- 第23页
- 第24页
- 第25页
- 第26页
- 第27页
- 第28页
- 第29页
- 第30页
- 第31页
- 第32页
- 第33页
- 第34页
- 第35页
- 第36页
- 第37页
- 第38页
- 第39页
- 第40页
- 第41页
- 第42页
- 第43页
- 第44页
- 第45页
- 第46页
- 第47页
- 第48页
- 第49页
- 第50页
- 第51页
- 第52页
- 第53页
- 第54页
- 第55页
- 第56页
- 第57页
- 第58页
- 第59页
- 第60页
- 第61页
- 第62页
- 第63页
- 第64页
- 第65页
- 第66页
- 第67页
- 第68页
- 第69页
- 第70页
- 第71页
- 第72页
- 第73页
- 第74页
- 第75页
- 第76页
- 第77页
- 第78页
- 第79页
- 第80页
- 第81页
- 第82页
- 第83页
- 第84页
- 第85页
- 第86页
- 第87页
- 第88页
- 第89页
- 第90页
- 第91页
- 第92页
- 第93页
- 第94页
- 第95页
- 第96页
- 第97页
- 第98页
- 第99页
- 第100页
- 第101页
- 第102页
- 第103页
- 第104页
- 第105页
- 第106页
- 第107页
- 第108页
- 第109页
- 第110页
- 第111页
- 第112页
- 第113页
- 第114页
- 第115页
- 第116页
- 第117页
- 第118页
- 第119页
- 第120页
- 第121页
- 第122页
用配方法解一元二次方程
配方法:通过配成________的形式来解一元二次方程的方法,叫做配方法.
目的:降次,把一元二次方程转化为两个一元一次方程求解.
步骤:(1)移项,把常数项移到方程右边,左边只含二次项和一次项;
(2)二次项系数化为1;
(3)配方,方程两边分别加上一次项系数______的平方,然后将方程整理成$(x + n)^2 = p$的形式;
(4)降次,若$p \geq 0$,则根据直接开平方法求其解;若$p < 0$,则原方程______实数根.
配方法:通过配成________的形式来解一元二次方程的方法,叫做配方法.
目的:降次,把一元二次方程转化为两个一元一次方程求解.
步骤:(1)移项,把常数项移到方程右边,左边只含二次项和一次项;
(2)二次项系数化为1;
(3)配方,方程两边分别加上一次项系数______的平方,然后将方程整理成$(x + n)^2 = p$的形式;
(4)降次,若$p \geq 0$,则根据直接开平方法求其解;若$p < 0$,则原方程______实数根.
答案:
配方法:通过配成完全平方式的形式来解一元二次方程的方法,叫做配方法.目的:降次,把一元二次方程转化为两个一元一次方程求解.步骤:
(1)移项,把常数项移到方程右边,左边只含二次项和一次项;
(2)二次项系数化为1;
(3)配方,方程两边分别加上一次项系数一半的平方,然后将方程整理成$(x + n)^2 = p$的形式;
(4)降次,若$p \geq 0$,则根据直接开平方法求其解;若$p < 0$,则原方程无实数根.
(1)移项,把常数项移到方程右边,左边只含二次项和一次项;
(2)二次项系数化为1;
(3)配方,方程两边分别加上一次项系数一半的平方,然后将方程整理成$(x + n)^2 = p$的形式;
(4)降次,若$p \geq 0$,则根据直接开平方法求其解;若$p < 0$,则原方程无实数根.
例1 用配方法解下列一元二次方程:
(1)$x^2 - 2x - 3 = 0$;
(2)$x^2 - 5x + 6 = 0$.
(1)$x^2 - 2x - 3 = 0$;
(2)$x^2 - 5x + 6 = 0$.
答案:
【例1】
(1)x₁=3,x₂=-1.
(2)x₁=2,x₂=3.
(1)x₁=3,x₂=-1.
(2)x₁=2,x₂=3.
例2 用配方法解下列一元二次方程:
(1)$4x^2 - 4x - 1 = 0$;
(2)$7x^2 - 28x + 7 = 0$;
(3)$2x^2 - \sqrt{2}x - 30 = 0$.
(1)$4x^2 - 4x - 1 = 0$;
(2)$7x^2 - 28x + 7 = 0$;
(3)$2x^2 - \sqrt{2}x - 30 = 0$.
答案:
【例$2】(1)x₁=\frac{1 + \sqrt{2}}{2},x₂=\frac{1 - \sqrt{2}}{2}. (2)x₁=2 + \sqrt{3},x₂=2 - \sqrt{3}. (3)x₁=3\sqrt{2},x₂=-\frac{5\sqrt{2}}{2}.$
1. [2024春·宜宾期中]用配方法解一元二次方程$x^2 - 6x - 3 = 0$,下列变形正确的是( )
A.$(x - 6)^2 = 39$
B.$(x - 3)^2 = 3$
C.$(x - 3)^2 = 6$
D.$(x - 3)^2 = 12$
A.$(x - 6)^2 = 39$
B.$(x - 3)^2 = 3$
C.$(x - 3)^2 = 6$
D.$(x - 3)^2 = 12$
答案:
1. D
2. [2024春·眉山期中]用配方法解一元二次方程$2x^2 - x - 1 = 0$时,下列变形正确的是( )
A.$(x - \frac{1}{4})^2 = \frac{9}{16}$
B.$(x - \frac{1}{2})^2 = \frac{3}{4}$
C.$(x - \frac{1}{4})^2 = \frac{17}{16}$
D.$(x - \frac{1}{4})^2 = \frac{3}{4}$
A.$(x - \frac{1}{4})^2 = \frac{9}{16}$
B.$(x - \frac{1}{2})^2 = \frac{3}{4}$
C.$(x - \frac{1}{4})^2 = \frac{17}{16}$
D.$(x - \frac{1}{4})^2 = \frac{3}{4}$
答案:
2. A
3. 将下列各式配方:
(1)$x^2 - 4x + $______$ = (x - $______$)^2$;
(2)$x^2 + 12x + $______$ = (x + $______$)^2$;
(3)$x^2 - \frac{3}{2}x + $______$ = (x - $______$)^2$;
(4)$x^2 + 2\sqrt{2}x + $______$ = (x + $______$)^2$.
(1)$x^2 - 4x + $______$ = (x - $______$)^2$;
(2)$x^2 + 12x + $______$ = (x + $______$)^2$;
(3)$x^2 - \frac{3}{2}x + $______$ = (x - $______$)^2$;
(4)$x^2 + 2\sqrt{2}x + $______$ = (x + $______$)^2$.
答案:
$3. (1)4 2 (2)36 6 (3)\frac{9}{16} \frac{3}{4} (4)2 \sqrt{2}$
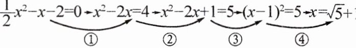
4. 下列用配方法解方程$\frac{1}{2}x^2 - x - 2 = 0$的四个步骤中,出现错误的是______.(填序号)

$\frac{1}{2}x^2 - x - 2 = 0 \xrightarrow{①} x^2 - 2x = 4 \xrightarrow{②} x^2 - 2x + 1 = 5 \xrightarrow{③} (x - 1)^2 = 5 \xrightarrow{④} x = \sqrt{5} + 1$
$\frac{1}{2}x^2 - x - 2 = 0 \xrightarrow{①} x^2 - 2x = 4 \xrightarrow{②} x^2 - 2x + 1 = 5 \xrightarrow{③} (x - 1)^2 = 5 \xrightarrow{④} x = \sqrt{5} + 1$
答案:
4. ④
查看更多完整答案,请扫码查看