第122页
- 第1页
- 第2页
- 第3页
- 第4页
- 第5页
- 第6页
- 第7页
- 第8页
- 第9页
- 第10页
- 第11页
- 第12页
- 第13页
- 第14页
- 第15页
- 第16页
- 第17页
- 第18页
- 第19页
- 第20页
- 第21页
- 第22页
- 第23页
- 第24页
- 第25页
- 第26页
- 第27页
- 第28页
- 第29页
- 第30页
- 第31页
- 第32页
- 第33页
- 第34页
- 第35页
- 第36页
- 第37页
- 第38页
- 第39页
- 第40页
- 第41页
- 第42页
- 第43页
- 第44页
- 第45页
- 第46页
- 第47页
- 第48页
- 第49页
- 第50页
- 第51页
- 第52页
- 第53页
- 第54页
- 第55页
- 第56页
- 第57页
- 第58页
- 第59页
- 第60页
- 第61页
- 第62页
- 第63页
- 第64页
- 第65页
- 第66页
- 第67页
- 第68页
- 第69页
- 第70页
- 第71页
- 第72页
- 第73页
- 第74页
- 第75页
- 第76页
- 第77页
- 第78页
- 第79页
- 第80页
- 第81页
- 第82页
- 第83页
- 第84页
- 第85页
- 第86页
- 第87页
- 第88页
- 第89页
- 第90页
- 第91页
- 第92页
- 第93页
- 第94页
- 第95页
- 第96页
- 第97页
- 第98页
- 第99页
- 第100页
- 第101页
- 第102页
- 第103页
- 第104页
- 第105页
- 第106页
- 第107页
- 第108页
- 第109页
- 第110页
- 第111页
- 第112页
- 第113页
- 第114页
- 第115页
- 第116页
- 第117页
- 第118页
- 第119页
- 第120页
- 第121页
- 第122页
6. 中国的探月工程激发了同学们对太空的兴趣.某晚,淇淇在家透过窗户的最高点P恰好看一颗星星,此时淇淇距窗户的水平距离BQ=4m,仰角为α;淇淇向前走了3m后到达点D,透过点P恰好看月亮,仰角为β,如图是示意图.已知淇淇的眼睛与水平地面BQ的距离AB=CD=1.6m,点P到BQ的距离PQ=2.6m,AC的延长线交PQ于点E.(图中所有点均在同一平面内)
(1)求β的大小及tanα的值;
(2)求CP的长及sin∠APC的值.

(1)求β的大小及tanα的值;
(2)求CP的长及sin∠APC的值.
答案:
$6.(1)\beta=45^{\circ},\tan\alpha=\frac{1}{4}.$
$(2)CP=\sqrt{2}m,\sin\angle APC=\frac{3\sqrt{34}}{34}.$
$(2)CP=\sqrt{2}m,\sin\angle APC=\frac{3\sqrt{34}}{34}.$
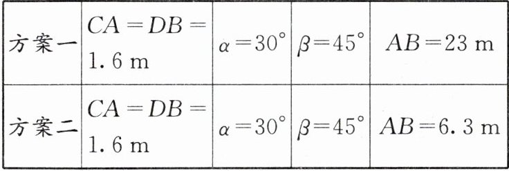
7.(应用意识)[2024秋·屯留区月考]项目化学习.
项目主题:测量校园里古槐的高度.
项目背景:在某校校园里有着一棵历经沧桑的古槐,数学实践小组想要测量这棵古槐树的高度.
研究步骤:
①小组成员讨论后,设计了如下的两种测量方案,并画出相应的测量示意图(方案一对应图1,方案二对应图2).
备注:两位同学的观测点C、D到地面的距离相等,线段EF长表示该树的高度,点A、B、C、D、E、F均在同一平面内.
②准备测量工具:测角仪、皮尺.
③实地测量并记录数据如下表:

问题解决:请你选择一种方案计算这棵古槐树的高度EF.(结果精确到1m;参考数据:√2≈1.41,√3≈1.73)


项目主题:测量校园里古槐的高度.
项目背景:在某校校园里有着一棵历经沧桑的古槐,数学实践小组想要测量这棵古槐树的高度.
研究步骤:
①小组成员讨论后,设计了如下的两种测量方案,并画出相应的测量示意图(方案一对应图1,方案二对应图2).
备注:两位同学的观测点C、D到地面的距离相等,线段EF长表示该树的高度,点A、B、C、D、E、F均在同一平面内.
②准备测量工具:测角仪、皮尺.
③实地测量并记录数据如下表:
问题解决:请你选择一种方案计算这棵古槐树的高度EF.(结果精确到1m;参考数据:√2≈1.41,√3≈1.73)
答案:
10 m
查看更多完整答案,请扫码查看