第78页
- 第1页
- 第2页
- 第3页
- 第4页
- 第5页
- 第6页
- 第7页
- 第8页
- 第9页
- 第10页
- 第11页
- 第12页
- 第13页
- 第14页
- 第15页
- 第16页
- 第17页
- 第18页
- 第19页
- 第20页
- 第21页
- 第22页
- 第23页
- 第24页
- 第25页
- 第26页
- 第27页
- 第28页
- 第29页
- 第30页
- 第31页
- 第32页
- 第33页
- 第34页
- 第35页
- 第36页
- 第37页
- 第38页
- 第39页
- 第40页
- 第41页
- 第42页
- 第43页
- 第44页
- 第45页
- 第46页
- 第47页
- 第48页
- 第49页
- 第50页
- 第51页
- 第52页
- 第53页
- 第54页
- 第55页
- 第56页
- 第57页
- 第58页
- 第59页
- 第60页
- 第61页
- 第62页
- 第63页
- 第64页
- 第65页
- 第66页
- 第67页
- 第68页
- 第69页
- 第70页
- 第71页
- 第72页
- 第73页
- 第74页
- 第75页
- 第76页
- 第77页
- 第78页
- 第79页
- 第80页
- 第81页
- 第82页
- 第83页
- 第84页
- 第85页
- 第86页
- 第87页
- 第88页
- 第89页
- 第90页
- 第91页
- 第92页
- 第93页
- 第94页
- 第95页
- 第96页
- 第97页
- 第98页
- 第99页
- 第100页
- 第101页
- 第102页
- 第103页
- 第104页
- 第105页
- 第106页
- 第107页
- 第108页
- 第109页
- 第110页
- 第111页
- 第112页
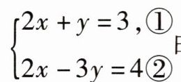
1 [2024贵阳花溪区质检]解方程组
. 时,若将①-②可得(
A. $-2y= -1$
B. $-2y= 1$
C. $4y= 1$
D. $4y= -1$
D
)A. $-2y= -1$
B. $-2y= 1$
C. $4y= 1$
D. $4y= -1$
答案:
D ① - ②,得$(2x + y) - (2x - 3y) = 3 - 4$,即$4y = -1$。
在解关于x,y的二元一次方程组$\begin{cases}6x + my = 3,①\\2x + ny = -6,②\end{cases}$时,若①+②可以直接消去一个未知数,则m,n之间的数量关系可以用等式表示为
$m + n = 0$
。
答案:
$m + n = 0$ $\begin{cases}6x + my = 3,①\\2x + ny = -6,②\end{cases}$ ① + ②,得$8x + (m + n)y = -3$,因为① + ②可以直接消去一个未知数,所以$m + n = 0$。
3 用加减消元法解下列方程组:
(1)$\left\{\begin{array}{l} 3x+5y= 21,\\ 2x-5y= -11;\end{array}\right. $
解:$\begin{cases}3x + 5y = 21,①\\2x - 5y = -11,②\end{cases}$
① + ②,得$5x = 10$,解得$x = $
将$x = $
所以原方程组的解为$\begin{cases}x = $
(2)$\left\{\begin{array}{l} 3m-2n= 7,\\ 3m-n= 5;\end{array}\right. $
解:$\begin{cases}3m - 2n = 7,①\\3m - n = 5,②\end{cases}$
① - ②,得$-n = 2$,解得$n = $
将$n = $
所以原方程组的解为$\begin{cases}m = $
(3)$\left\{\begin{array}{l} 2y-2x= 2,\\ 2x+2y= 8。\end{array}\right. $
解:$\begin{cases}2y - 2x = 2,①\\2x + 2y = 8,②\end{cases}$
① + ②,得$4y = 10$,解得$y = $
将$y = $
所以原方程组的解为$\begin{cases}x = $
(1)$\left\{\begin{array}{l} 3x+5y= 21,\\ 2x-5y= -11;\end{array}\right. $
解:$\begin{cases}3x + 5y = 21,①\\2x - 5y = -11,②\end{cases}$
① + ②,得$5x = 10$,解得$x = $
2
,将$x = $
2
代入①,得$6 + 5y = 21$,解得$y = $3
,所以原方程组的解为$\begin{cases}x = $
2
,\\y = $3
\end{cases}$。(2)$\left\{\begin{array}{l} 3m-2n= 7,\\ 3m-n= 5;\end{array}\right. $
解:$\begin{cases}3m - 2n = 7,①\\3m - n = 5,②\end{cases}$
① - ②,得$-n = 2$,解得$n = $
-2
,将$n = $
-2
代入②,得$3m + 2 = 5$,解得$m = $1
,所以原方程组的解为$\begin{cases}m = $
1
,\\n = $-2
\end{cases}$。(3)$\left\{\begin{array}{l} 2y-2x= 2,\\ 2x+2y= 8。\end{array}\right. $
解:$\begin{cases}2y - 2x = 2,①\\2x + 2y = 8,②\end{cases}$
① + ②,得$4y = 10$,解得$y = $
$\frac{5}{2}$
,将$y = $
$\frac{5}{2}$
代入②,得$2x + 5 = 8$,解得$x = $$\frac{3}{2}$
,所以原方程组的解为$\begin{cases}x = $
$\frac{3}{2}$
,\\y = $$\frac{5}{2}$
\end{cases}$。
答案:
解:
(1)$\begin{cases}3x + 5y = 21,①\\2x - 5y = -11,②\end{cases}$
① + ②,得$5x = 10$,解得$x = 2$,
将$x = 2$代入①,得$6 + 5y = 21$,解得$y = 3$,
所以原方程组的解为$\begin{cases}x = 2,\\y = 3\end{cases}$。
(2)$\begin{cases}3m - 2n = 7,①\\3m - n = 5,②\end{cases}$
① - ②,得$-n = 2$,解得$n = -2$,
将$n = -2$代入②,得$3m + 2 = 5$,解得$m = 1$,
所以原方程组的解为$\begin{cases}m = 1,\\n = -2\end{cases}$。
(3)$\begin{cases}2y - 2x = 2,①\\2x + 2y = 8,②\end{cases}$
① + ②,得$4y = 10$,解得$y = \frac{5}{2}$,
将$y = \frac{5}{2}$代入②,得$2x + 5 = 8$,解得$x = \frac{3}{2}$,
所以原方程组的解为$\begin{cases}x = \frac{3}{2},\\y = \frac{5}{2}\end{cases}$。
(1)$\begin{cases}3x + 5y = 21,①\\2x - 5y = -11,②\end{cases}$
① + ②,得$5x = 10$,解得$x = 2$,
将$x = 2$代入①,得$6 + 5y = 21$,解得$y = 3$,
所以原方程组的解为$\begin{cases}x = 2,\\y = 3\end{cases}$。
(2)$\begin{cases}3m - 2n = 7,①\\3m - n = 5,②\end{cases}$
① - ②,得$-n = 2$,解得$n = -2$,
将$n = -2$代入②,得$3m + 2 = 5$,解得$m = 1$,
所以原方程组的解为$\begin{cases}m = 1,\\n = -2\end{cases}$。
(3)$\begin{cases}2y - 2x = 2,①\\2x + 2y = 8,②\end{cases}$
① + ②,得$4y = 10$,解得$y = \frac{5}{2}$,
将$y = \frac{5}{2}$代入②,得$2x + 5 = 8$,解得$x = \frac{3}{2}$,
所以原方程组的解为$\begin{cases}x = \frac{3}{2},\\y = \frac{5}{2}\end{cases}$。
4 [2024咸宁期末]已知二元一次方程组
. 用加减消元法解方程组正确的是(
A. ①×5 - ②×7
B. ①×2 + ②×3
C. ①×3 - ②×2
D. ①×7 - ②×5
C
)A. ①×5 - ②×7
B. ①×2 + ②×3
C. ①×3 - ②×2
D. ①×7 - ②×5
答案:
C 用加减消元法解方程组时,可以①×3 - ②×2消去$x$,或①×7 + ②×5消去$y$。
5 [2025毕节期末]小丽在用加减消元法解二元一次方程组
时,利用①×a + ②×b消去x,则a,b的值可能是(
A. 2,5
B. 3,2
C. -3,2
D. 2,-5
D
)A. 2,5
B. 3,2
C. -3,2
D. 2,-5
答案:
D
6 [2024文山州期末]已知二元一次方程组①$\left\{\begin{array}{l} x= y,\\ 3x-2y= 1;\end{array}\right. $②$\left\{\begin{array}{l} 5x-3y= 2,\\ 3x+2y= 0;\end{array}\right. $③$\left\{\begin{array}{l} 5x-3y= 2,\\ y= 6+2x;\end{array}\right. $④$\left\{\begin{array}{l} 2x+y= -2,\\ 2x-6y= 1。\end{array}\right. $解以上方程组比较适合选择的方法是(
A. ①②用代入法,③④用加减法
B. ①③用代入法,②④用加减法
C. ②③用代入法,①④用加减法
D. ②④用代入法,①③用加减法
B
)A. ①②用代入法,③④用加减法
B. ①③用代入法,②④用加减法
C. ②③用代入法,①④用加减法
D. ②④用代入法,①③用加减法
答案:
B
7 [2024恩施州月考]已知$\left\{\begin{array}{l} 2x+4y= 5,\\ x-y= 10,\end{array}\right. $则x + y的值是(
A. 4
B. 5
C. 6
D. 7
5
)A. 4
B. 5
C. 6
D. 7
答案:
B $\begin{cases}2x + 4y = 5,①\\x - y = 10,②\end{cases}$ ① + ②,得$3x + 3y = 15$,所以$x + y = 5$。
8 解下列方程组:
(1)$\left\{\begin{array}{l} 9x+2y= 15,\\ 3x+4y= 10;\end{array}\right. $
解:$\begin{cases}9x + 2y = 15,①\\3x + 4y = 10,②\end{cases}$
①×2,得$18x + 4y = 30$,③
③ - ②,得$15x = 20$,解得$x = \frac{4}{3}$。
把$x = \frac{4}{3}$代入②,得$3×\frac{4}{3} + 4y = 10$,解得$y = \frac{3}{2}$。
所以原方程组的解为$\begin{cases}x =
(2)$\left\{\begin{array}{l} x-4y= 10,\\ 2x+y= 11;\end{array}\right. $
解:$\begin{cases}x - 4y = 10,①\\2x + y = 11,②\end{cases}$
① + ②×4,得$9x = 54$,解得$x = 6$,
把$x = 6$代入②,得$12 + y = 11$,解得$y = -1$。
所以原方程组的解为$\begin{cases}x =
(3)一题多解$\left\{\begin{array}{l} 3x+2y= 7,\\ 2x+3y= 8。\end{array}\right. $
通解 ①×2,得$6x + 4y = 14$,③
②×3,得$6x + 9y = 24$,④
④ - ③,得$5y = 10$,解得$y = 2$。
把$y = 2$代入①,得$3x + 2×2 = 7$,解得$x = 1$。
所以原方程组的解为$\begin{cases}x =
优解 ① + ②,得$5x + 5y = 15$,
整理,得$x + y = 3$,③
① - ②,得$x - y = -1$,④
③ + ④,得$2x = 2$,解得$x = 1$。
把$x = 1$代入③,得$1 + y = 3$,解得$y = 2$。
所以原方程组的解为$\begin{cases}x =
解题通法
用加减消元法解二元一次方程组的一般步骤
(1)根据“方程两边都乘(或除以)同一个不等于0的数,所得方程与原方程是同解方程”的原理,将原方程组化成有一个未知数的系数相等或互为相反数的方程组;(2)根据“方程两边都加上(或减去)同一个数,所得方程与原方程是同解方程”的原理,将变形后的两个方程相加(或相减),消去一个未知数,得到一个一元一次方程;(3)解这个一元一次方程,得到一个未知数的值;(4)将求出的未知数的值代入原方程组的任意一个方程中,求出另一个未知数的值;(5)将两个未知数的值用“|”写在一起,即可得原方程组的解。
(1)$\left\{\begin{array}{l} 9x+2y= 15,\\ 3x+4y= 10;\end{array}\right. $
解:$\begin{cases}9x + 2y = 15,①\\3x + 4y = 10,②\end{cases}$
①×2,得$18x + 4y = 30$,③
③ - ②,得$15x = 20$,解得$x = \frac{4}{3}$。
把$x = \frac{4}{3}$代入②,得$3×\frac{4}{3} + 4y = 10$,解得$y = \frac{3}{2}$。
所以原方程组的解为$\begin{cases}x =
\frac{4}{3}
,\\y = \frac{3}{2}
\end{cases}$。(2)$\left\{\begin{array}{l} x-4y= 10,\\ 2x+y= 11;\end{array}\right. $
解:$\begin{cases}x - 4y = 10,①\\2x + y = 11,②\end{cases}$
① + ②×4,得$9x = 54$,解得$x = 6$,
把$x = 6$代入②,得$12 + y = 11$,解得$y = -1$。
所以原方程组的解为$\begin{cases}x =
6
,\\y = -1
\end{cases}$。(3)一题多解$\left\{\begin{array}{l} 3x+2y= 7,\\ 2x+3y= 8。\end{array}\right. $
通解 ①×2,得$6x + 4y = 14$,③
②×3,得$6x + 9y = 24$,④
④ - ③,得$5y = 10$,解得$y = 2$。
把$y = 2$代入①,得$3x + 2×2 = 7$,解得$x = 1$。
所以原方程组的解为$\begin{cases}x =
1
,\\y = 2
\end{cases}$。优解 ① + ②,得$5x + 5y = 15$,
整理,得$x + y = 3$,③
① - ②,得$x - y = -1$,④
③ + ④,得$2x = 2$,解得$x = 1$。
把$x = 1$代入③,得$1 + y = 3$,解得$y = 2$。
所以原方程组的解为$\begin{cases}x =
1
,\\y = 2
\end{cases}$。解题通法
用加减消元法解二元一次方程组的一般步骤
(1)根据“方程两边都乘(或除以)同一个不等于0的数,所得方程与原方程是同解方程”的原理,将原方程组化成有一个未知数的系数相等或互为相反数的方程组;(2)根据“方程两边都加上(或减去)同一个数,所得方程与原方程是同解方程”的原理,将变形后的两个方程相加(或相减),消去一个未知数,得到一个一元一次方程;(3)解这个一元一次方程,得到一个未知数的值;(4)将求出的未知数的值代入原方程组的任意一个方程中,求出另一个未知数的值;(5)将两个未知数的值用“|”写在一起,即可得原方程组的解。
答案:
解:
(1)$\begin{cases}9x + 2y = 15,①\\3x + 4y = 10,②\end{cases}$
①×2,得$18x + 4y = 30$,③
③ - ②,得$15x = 20$,解得$x = \frac{4}{3}$。
把$x = \frac{4}{3}$代入②,得$3×\frac{4}{3} + 4y = 10$,解得$y = \frac{3}{2}$。
所以原方程组的解为$\begin{cases}x = \frac{4}{3},\\y = \frac{3}{2}\end{cases}$。
(2)$\begin{cases}x - 4y = 10,①\\2x + y = 11,②\end{cases}$
① + ②×4,得$9x = 54$,解得$x = 6$,
把$x = 6$代入②,得$12 + y = 11$,解得$y = -1$。
所以原方程组的解为$\begin{cases}x = 6,\\y = -1\end{cases}$。
(3)$\begin{cases}3x + 2y = 7,①\\2x + 3y = 8,②\end{cases}$
通解 ①×2,得$6x + 4y = 14$,③
②×3,得$6x + 9y = 24$,④
④ - ③,得$5y = 10$,解得$y = 2$。
把$y = 2$代入①,得$3x + 2×2 = 7$,解得$x = 1$。
所以原方程组的解为$\begin{cases}x = 1,\\y = 2\end{cases}$。
优解 ① + ②,得$5x + 5y = 15$,
整理,得$x + y = 3$,③
① - ②,得$x - y = -1$,④
③ + ④,得$2x = 2$,解得$x = 1$。
把$x = 1$代入③,得$1 + y = 3$,解得$y = 2$。
所以原方程组的解为$\begin{cases}x = 1,\\y = 2\end{cases}$。
解题通法
用加减消元法解二元一次方程组的一般步骤
(1)根据“方程两边都乘(或除以)同一个不等于0的数,所得方程与原方程是同解方程”的原理,将原方程组化成有一个未知数的系数相等或互为相反数的方程组;
(2)根据“方程两边都加上(或减去)同一个数,所得方程与原方程是同解方程”的原理,将变形后的两个方程相加(或相减),消去一个未知数,得到一个一元一次方程;
(3)解这个一元一次方程,得到一个未知数的值;
(4)将求出的未知数的值代入原方程组的任意一个方程中,求出另一个未知数的值;
(5)将两个未知数的值用“|”写在一起,即可得原方程组的解。
(1)$\begin{cases}9x + 2y = 15,①\\3x + 4y = 10,②\end{cases}$
①×2,得$18x + 4y = 30$,③
③ - ②,得$15x = 20$,解得$x = \frac{4}{3}$。
把$x = \frac{4}{3}$代入②,得$3×\frac{4}{3} + 4y = 10$,解得$y = \frac{3}{2}$。
所以原方程组的解为$\begin{cases}x = \frac{4}{3},\\y = \frac{3}{2}\end{cases}$。
(2)$\begin{cases}x - 4y = 10,①\\2x + y = 11,②\end{cases}$
① + ②×4,得$9x = 54$,解得$x = 6$,
把$x = 6$代入②,得$12 + y = 11$,解得$y = -1$。
所以原方程组的解为$\begin{cases}x = 6,\\y = -1\end{cases}$。
(3)$\begin{cases}3x + 2y = 7,①\\2x + 3y = 8,②\end{cases}$
通解 ①×2,得$6x + 4y = 14$,③
②×3,得$6x + 9y = 24$,④
④ - ③,得$5y = 10$,解得$y = 2$。
把$y = 2$代入①,得$3x + 2×2 = 7$,解得$x = 1$。
所以原方程组的解为$\begin{cases}x = 1,\\y = 2\end{cases}$。
优解 ① + ②,得$5x + 5y = 15$,
整理,得$x + y = 3$,③
① - ②,得$x - y = -1$,④
③ + ④,得$2x = 2$,解得$x = 1$。
把$x = 1$代入③,得$1 + y = 3$,解得$y = 2$。
所以原方程组的解为$\begin{cases}x = 1,\\y = 2\end{cases}$。
解题通法
用加减消元法解二元一次方程组的一般步骤
(1)根据“方程两边都乘(或除以)同一个不等于0的数,所得方程与原方程是同解方程”的原理,将原方程组化成有一个未知数的系数相等或互为相反数的方程组;
(2)根据“方程两边都加上(或减去)同一个数,所得方程与原方程是同解方程”的原理,将变形后的两个方程相加(或相减),消去一个未知数,得到一个一元一次方程;
(3)解这个一元一次方程,得到一个未知数的值;
(4)将求出的未知数的值代入原方程组的任意一个方程中,求出另一个未知数的值;
(5)将两个未知数的值用“|”写在一起,即可得原方程组的解。
查看更多完整答案,请扫码查看