第76页
- 第1页
- 第2页
- 第3页
- 第4页
- 第5页
- 第6页
- 第7页
- 第8页
- 第9页
- 第10页
- 第11页
- 第12页
- 第13页
- 第14页
- 第15页
- 第16页
- 第17页
- 第18页
- 第19页
- 第20页
- 第21页
- 第22页
- 第23页
- 第24页
- 第25页
- 第26页
- 第27页
- 第28页
- 第29页
- 第30页
- 第31页
- 第32页
- 第33页
- 第34页
- 第35页
- 第36页
- 第37页
- 第38页
- 第39页
- 第40页
- 第41页
- 第42页
- 第43页
- 第44页
- 第45页
- 第46页
- 第47页
- 第48页
- 第49页
- 第50页
- 第51页
- 第52页
- 第53页
- 第54页
- 第55页
- 第56页
- 第57页
- 第58页
- 第59页
- 第60页
- 第61页
- 第62页
- 第63页
- 第64页
- 第65页
- 第66页
- 第67页
- 第68页
- 第69页
- 第70页
- 第71页
- 第72页
- 第73页
- 第74页
- 第75页
- 第76页
- 第77页
- 第78页
- 第79页
- 第80页
- 第81页
- 第82页
- 第83页
- 第84页
- 第85页
- 第86页
- 第87页
- 第88页
- 第89页
- 第90页
- 第91页
- 第92页
- 第93页
- 第94页
- 第95页
- 第96页
- 第97页
- 第98页
- 第99页
- 第100页
- 第101页
- 第102页
- 第103页
- 第104页
- 第105页
- 第106页
- 第107页
- 第108页
- 第109页
- 第110页
- 第111页
- 第112页
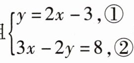
1 [2024武汉期末]解关于x,y的二元一次方程组
将①代入②,消去y后所得到的方程是(
A. $3x-4x-6= 8$
B. $3x+4x-6= 8$
C. $3x+4x+6= 8$
D. $3x-4x+6= 8$
D
)A. $3x-4x-6= 8$
B. $3x+4x-6= 8$
C. $3x+4x+6= 8$
D. $3x-4x+6= 8$
答案:
D 将①代入②,消去 y 后所得到的方程是 $3x - 2(2x - 3) = 8$,去括号,得 $3x - 4x + 6 = 8$。
二元一次方程组$\left\{\begin{array}{l} x+2y= 5,\\ y= 2x\end{array}\right. $的解是
$\begin{cases}x = 1, \\ y = 2\end{cases}$
。
答案:
$\begin{cases}x = 1, \\ y = 2\end{cases}$ $\begin{cases}x + 2y = 5,① \\ y = 2x,②\end{cases}$ 把②代入①,得 $x + 4x = 5$,解得 $x = 1$,把 $x = 1$ 代入②,得 $y = 2$,所以方程组的解为 $\begin{cases}x = 1, \\ y = 2\end{cases}$。
解题通法
用代入消元法解二元一次方程组的一般步骤
(1) 从方程组中选定一个系数比较简单的方程进行变形,用含有 x(或 y) 的代数式表示 y(或 x),即变成 $y = ax + b$(或 $x = ay + b$)的形式,其中 a,b 为常数且 $a \neq 0$;
(2) 将 $y = ax + b$(或 $x = ay + b$)代入另一个方程(不能代入原变形方程),消去 y(或 x),得到一个关于 x(或 y) 的一元一次方程;
(3) 解这个一元一次方程,求出 x(或 y) 的值;
(4) 把 x(或 y) 的值代入 $y = ax + b$(或 $x = ay + b$),求出 y(或 x) 的值;
(5) 用“$\begin{cases}\end{cases}$”联立两个未知数的值,就是方程组的解。
解题通法
用代入消元法解二元一次方程组的一般步骤
(1) 从方程组中选定一个系数比较简单的方程进行变形,用含有 x(或 y) 的代数式表示 y(或 x),即变成 $y = ax + b$(或 $x = ay + b$)的形式,其中 a,b 为常数且 $a \neq 0$;
(2) 将 $y = ax + b$(或 $x = ay + b$)代入另一个方程(不能代入原变形方程),消去 y(或 x),得到一个关于 x(或 y) 的一元一次方程;
(3) 解这个一元一次方程,求出 x(或 y) 的值;
(4) 把 x(或 y) 的值代入 $y = ax + b$(或 $x = ay + b$),求出 y(或 x) 的值;
(5) 用“$\begin{cases}\end{cases}$”联立两个未知数的值,就是方程组的解。
3 用代入消元法解下列二元一次方程组:
(1)$\left\{\begin{array}{l} y= 2x+1,\\ 3x-2y= 2;\end{array}\right. $
解:$\begin{cases}y = 2x + 1,① \\ 3x - 2y = 2,②\end{cases}$
将①代入②,得 $3x - 2(2x + 1) = 2$,解得 $x=$
将 $x=$
所以原方程组的解为 $\begin{cases}x=$
(2)$\left\{\begin{array}{l} y= \frac {2x-1}{3},\\ x+3y= 5。\end{array}\right. $
解:$\begin{cases}y = \frac{2x - 1}{3},① \\ x + 3y = 5,②\end{cases}$
将①代入②,得 $x + 2x - 1 = 5$,解得 $x=$
将 $x=$
所以原方程组的解为 $\begin{cases}x=$
(1)$\left\{\begin{array}{l} y= 2x+1,\\ 3x-2y= 2;\end{array}\right. $
解:$\begin{cases}y = 2x + 1,① \\ 3x - 2y = 2,②\end{cases}$
将①代入②,得 $3x - 2(2x + 1) = 2$,解得 $x=$
-4
,将 $x=$
-4
代入①,得 $y=$-7
,所以原方程组的解为 $\begin{cases}x=$
-4
, \\ y=$-7
\end{cases}$。(2)$\left\{\begin{array}{l} y= \frac {2x-1}{3},\\ x+3y= 5。\end{array}\right. $
解:$\begin{cases}y = \frac{2x - 1}{3},① \\ x + 3y = 5,②\end{cases}$
将①代入②,得 $x + 2x - 1 = 5$,解得 $x=$
2
,将 $x=$
2
代入①,得 $y=$1
,所以原方程组的解为 $\begin{cases}x=$
2
, \\ y=$1
\end{cases}$。
答案:
解:
(1) $\begin{cases}y = 2x + 1,① \\ 3x - 2y = 2,②\end{cases}$
将①代入②,得 $3x - 2(2x + 1) = 2$,解得 $x = -4$,
将 $x = -4$ 代入①,得 $y = -7$,
所以原方程组的解为 $\begin{cases}x = -4, \\ y = -7\end{cases}$。
(2) $\begin{cases}y = \frac{2x - 1}{3},① \\ x + 3y = 5,②\end{cases}$
将①代入②,得 $x + 2x - 1 = 5$,解得 $x = 2$,
将 $x = 2$ 代入①,得 $y = 1$,
所以原方程组的解为 $\begin{cases}x = 2, \\ y = 1\end{cases}$。
(1) $\begin{cases}y = 2x + 1,① \\ 3x - 2y = 2,②\end{cases}$
将①代入②,得 $3x - 2(2x + 1) = 2$,解得 $x = -4$,
将 $x = -4$ 代入①,得 $y = -7$,
所以原方程组的解为 $\begin{cases}x = -4, \\ y = -7\end{cases}$。
(2) $\begin{cases}y = \frac{2x - 1}{3},① \\ x + 3y = 5,②\end{cases}$
将①代入②,得 $x + 2x - 1 = 5$,解得 $x = 2$,
将 $x = 2$ 代入①,得 $y = 1$,
所以原方程组的解为 $\begin{cases}x = 2, \\ y = 1\end{cases}$。
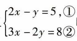
4 用代入消元法解方程组
时,较简单的方法是(
A. 由①得$x= \frac {5+y}{2}$,再代入②
B. 由①得$y= 2x-5$,再代入②
C. 由②得$x= \frac {8+2y}{3}$,再代入①
D. 由②得$y= \frac {3x-8}{2}$,再代入①
B
)A. 由①得$x= \frac {5+y}{2}$,再代入②
B. 由①得$y= 2x-5$,再代入②
C. 由②得$x= \frac {8+2y}{3}$,再代入①
D. 由②得$y= \frac {3x-8}{2}$,再代入①
答案:
B
5 (1)完成框图中解方程组的过程:

(2)上面框图所示的解方程组的方法的名称是____。
(2)上面框图所示的解方程组的方法的名称是____。
答案:
解:
(1) 框图中解方程组的过程如下:
(2) 代入消元法
解:
(1) 框图中解方程组的过程如下:
(2) 代入消元法
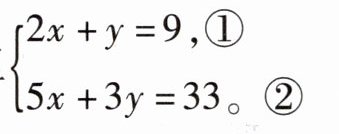
6 新趋势·过程性学习阅读下面的解题过程:
解方程组
解:由①,得$y= 9-2x$,③
将③代入①,得$2x+9-2x= 9$,
所以$9= 9$,故此方程组无解。
以上解题过程是否正确?若不正确,请说明理由,并给出正确的解答过程。
不正确。理由:③是由①变形得到的,再将其代入①,肯定恒等,应将③代入②。
正确的解答过程:由①,得 $y = 9 - 2x$,③
把③代入②,得 $5x + 3(9 - 2x) = 33$,解得 $x = -6$。
把 $x = -6$ 代入③,得 $y = 21$。
所以原方程组的解为 $\begin{cases}x = -6, \\ y = 21\end{cases}$
解方程组
解:由①,得$y= 9-2x$,③
将③代入①,得$2x+9-2x= 9$,
所以$9= 9$,故此方程组无解。
以上解题过程是否正确?若不正确,请说明理由,并给出正确的解答过程。
不正确。理由:③是由①变形得到的,再将其代入①,肯定恒等,应将③代入②。
正确的解答过程:由①,得 $y = 9 - 2x$,③
把③代入②,得 $5x + 3(9 - 2x) = 33$,解得 $x = -6$。
把 $x = -6$ 代入③,得 $y = 21$。
所以原方程组的解为 $\begin{cases}x = -6, \\ y = 21\end{cases}$
答案:
解:不正确。理由:③是由①变形得到的,再将其代入①,肯定恒等,应将③代入②。
正确的解答过程:由①,得 $y = 9 - 2x$,③
把③代入②,得 $5x + 3(9 - 2x) = 33$,解得 $x = -6$。
把 $x = -6$ 代入③,得 $y = 21$。
所以原方程组的解为 $\begin{cases}x = -6, \\ y = 21\end{cases}$。
正确的解答过程:由①,得 $y = 9 - 2x$,③
把③代入②,得 $5x + 3(9 - 2x) = 33$,解得 $x = -6$。
把 $x = -6$ 代入③,得 $y = 21$。
所以原方程组的解为 $\begin{cases}x = -6, \\ y = 21\end{cases}$。
7 [2025兰州城关区期末]用代入消元法解下列二元一次方程组:
(1)$\left\{\begin{array}{l} 3x= 5y,\\ \frac {x}{4}+\frac {y}{3}= 3;\end{array}\right. $
解:原方程组可化为 $\begin{cases}3x = 5y,① \\ 3x + 4y = 36,②\end{cases}$
将①代入②,得 $5y + 4y = 36$,解得 $y=$
将 $y=$
故原方程组的解为 $\begin{cases}x=$
(2)$\left\{\begin{array}{l} \frac {x}{3}-y+1= 0,\\ 2(x+1)-y= 6。\end{array}\right. $
解:$\begin{cases}\frac{x}{3} - y + 1 = 0,① \\ 2(x + 1) - y = 6,②\end{cases}$
由①,得 $x - 3y + 3 = 0$,即 $x=$
由②,得 $2x - y = 4$,④
把③代入④,得 $2(3y - 3) - y = 4$,解得 $y=$
把 $y=$
所以原方程组的解为 $\begin{cases}x=$
(1)$\left\{\begin{array}{l} 3x= 5y,\\ \frac {x}{4}+\frac {y}{3}= 3;\end{array}\right. $
解:原方程组可化为 $\begin{cases}3x = 5y,① \\ 3x + 4y = 36,②\end{cases}$
将①代入②,得 $5y + 4y = 36$,解得 $y=$
4
,将 $y=$
4
代入①,得 $3x = 20$,解得 $x=$$\frac{20}{3}$
,故原方程组的解为 $\begin{cases}x=$
$\frac{20}{3}$
, \\ y=$4
\end{cases}$。(2)$\left\{\begin{array}{l} \frac {x}{3}-y+1= 0,\\ 2(x+1)-y= 6。\end{array}\right. $
解:$\begin{cases}\frac{x}{3} - y + 1 = 0,① \\ 2(x + 1) - y = 6,②\end{cases}$
由①,得 $x - 3y + 3 = 0$,即 $x=$
$3y - 3$
。③由②,得 $2x - y = 4$,④
把③代入④,得 $2(3y - 3) - y = 4$,解得 $y=$
2
。把 $y=$
2
代入③,得 $x=$3
。所以原方程组的解为 $\begin{cases}x=$
3
, \\ y=$2
\end{cases}$。
答案:
解:
(1) 原方程组可化为 $\begin{cases}3x = 5y,① \\ 3x + 4y = 36,②\end{cases}$
将①代入②,得 $5y + 4y = 36$,解得 $y = 4$,
将 $y = 4$ 代入①,得 $3x = 20$,解得 $x = \frac{20}{3}$,
故原方程组的解为 $\begin{cases}x = \frac{20}{3}, \\ y = 4\end{cases}$。
(2) $\begin{cases}\frac{x}{3} - y + 1 = 0,① \\ 2(x + 1) - y = 6,②\end{cases}$
由①,得 $x - 3y + 3 = 0$,即 $x = 3y - 3$。③
由②,得 $2x - y = 4$,④
把③代入④,得 $2(3y - 3) - y = 4$,解得 $y = 2$。
把 $y = 2$ 代入③,得 $x = 3$。
所以原方程组的解为 $\begin{cases}x = 3, \\ y = 2\end{cases}$。
(1) 原方程组可化为 $\begin{cases}3x = 5y,① \\ 3x + 4y = 36,②\end{cases}$
将①代入②,得 $5y + 4y = 36$,解得 $y = 4$,
将 $y = 4$ 代入①,得 $3x = 20$,解得 $x = \frac{20}{3}$,
故原方程组的解为 $\begin{cases}x = \frac{20}{3}, \\ y = 4\end{cases}$。
(2) $\begin{cases}\frac{x}{3} - y + 1 = 0,① \\ 2(x + 1) - y = 6,②\end{cases}$
由①,得 $x - 3y + 3 = 0$,即 $x = 3y - 3$。③
由②,得 $2x - y = 4$,④
把③代入④,得 $2(3y - 3) - y = 4$,解得 $y = 2$。
把 $y = 2$ 代入③,得 $x = 3$。
所以原方程组的解为 $\begin{cases}x = 3, \\ y = 2\end{cases}$。
查看更多完整答案,请扫码查看