2025年全品基础小练习高考数学
注:目前有些书本章节名称可能整理的还不是很完善,但都是按照顺序排列的,请同学们按照顺序仔细查找。练习册 2025年全品基础小练习高考数学 答案主要是用来给同学们做完题方便对答案用的,请勿直接抄袭。
第5页
- 第1页
- 第2页
- 第3页
- 第4页
- 第5页
- 第6页
- 第7页
- 第8页
- 第9页
- 第10页
- 第11页
- 第12页
- 第13页
- 第14页
- 第15页
- 第16页
- 第17页
- 第18页
- 第19页
- 第20页
- 第21页
- 第22页
- 第23页
- 第24页
- 第25页
- 第26页
- 第27页
- 第28页
- 第29页
- 第30页
- 第31页
- 第32页
- 第33页
- 第34页
- 第35页
- 第36页
- 第37页
- 第38页
- 第39页
- 第40页
- 第41页
- 第42页
- 第43页
- 第44页
- 第45页
- 第46页
- 第47页
- 第48页
- 第49页
- 第50页
- 第51页
- 第52页
- 第53页
- 第54页
- 第55页
- 第56页
- 第57页
- 第58页
- 第59页
- 第60页
- 第61页
- 第62页
- 第63页
- 第64页
- 第65页
- 第66页
- 第67页
- 第68页
- 第69页
- 第70页
- 第71页
- 第72页
- 第73页
- 第74页
- 第75页
- 第76页
- 第77页
- 第78页
- 第79页
- 第80页
- 第81页
- 第82页
- 第83页
- 第84页
- 第85页
- 第86页
- 第87页
- 第88页
- 第89页
- 第90页
- 第91页
- 第92页
- 第93页
- 第94页
- 第95页
- 第96页
- 第97页
- 第98页
- 第99页
- 第100页
- 第101页
- 第102页
- 第103页
- 第104页
- 第105页
- 第106页
- 第107页
- 第108页
- 第109页
- 第110页
- 第111页
- 第112页
- 第113页
- 第114页
- 第115页
- 第116页
- 第117页
- 第118页
- 第119页
1.[教材改编]不等式$x^{2}+x - 2<0$的解集为 ( )
A. $\{x|-2<x<1\}$
B. $\{x|-1<x<2\}$
C. $\{x|x<-2或x>1\}$
D. $\{x|x<-1或x>2\}$
A. $\{x|-2<x<1\}$
B. $\{x|-1<x<2\}$
C. $\{x|x<-2或x>1\}$
D. $\{x|x<-1或x>2\}$
答案:
1.A
2. 已知“$\forall x\in\mathbf{R}$,不等式$x^{2}-4x - a - 1\geqslant0$恒成立”,则$a$的取值范围为 ( )
A. $(-\infty,-5]$
B. $(-\infty,-2]$
C. $(-5,+\infty)$
D. $[-5,+\infty)$
A. $(-\infty,-5]$
B. $(-\infty,-2]$
C. $(-5,+\infty)$
D. $[-5,+\infty)$
答案:
2.A
3. 如果关于$x$的一元二次方程$x^{2}+2mx+(m + 2)=0$有两个不同的正数实数根,那么$m$的取值范围为 ( )
A. $(-2,-1)$
B. $(-1,2)$
C. $(-\infty,-1)\cup(2,+\infty)$
D. $(-\infty,-2)\cup(-1,+\infty)$
A. $(-2,-1)$
B. $(-1,2)$
C. $(-\infty,-1)\cup(2,+\infty)$
D. $(-\infty,-2)\cup(-1,+\infty)$
答案:
3.A
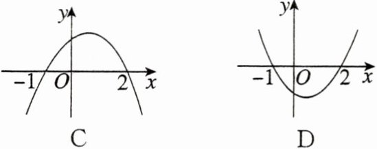
4. 不等式$cx^{2}+ax + b>0$的解集为$\left\{x|-1<x<\frac{1}{2}\right\}$,则函数$y = ax^{2}-bx - c$的图象大致为 ( )


答案:
4.A
5. 已知函数$f(x)=-x^{2}+ax + b^{2}-b + 1(a\in\mathbf{R},b\in\mathbf{R})$,对任意实数$x$都有$f(1 - x)=f(1 + x)$成立.若当$x\in[-1,1]$时,$f(x)>0$恒成立,则$b$的取值范围是 ( )
A. $(-1,0)$
B. $(2,+\infty)$
C. $(-\infty,-1)\cup(2,+\infty)$
D. 不能确定
A. $(-1,0)$
B. $(2,+\infty)$
C. $(-\infty,-1)\cup(2,+\infty)$
D. 不能确定
答案:
5.C
6. 已知二次函数$f(x)=(x - m)(x - n)+1(m<n)$,且$x_{1},x_{2}(x_{1}<x_{2})$是方程$f(x)=0$的两根,则$x_{1},x_{2},m,n$的大小关系是 ( )
A. $x_{1}<x_{2}<m<n$
B. $x_{1}<m<x_{2}<n$
C. $m<n<x_{1}<x_{2}$
D. $m<x_{1}<x_{2}<n$
A. $x_{1}<x_{2}<m<n$
B. $x_{1}<m<x_{2}<n$
C. $m<n<x_{1}<x_{2}$
D. $m<x_{1}<x_{2}<n$
答案:
6.D
7. 若存在实数$x$,使得$mx^{2}-(m - 2)x + m<0$成立,则实数$m$的取值范围为 ( )
A. $(-\infty,2)$
B. $(-\infty,0]\cup\left(\frac{1}{3},\frac{3}{2}\right)$
C. $\left(-\infty,\frac{2}{3}\right)$
D. $(-\infty,1)$
A. $(-\infty,2)$
B. $(-\infty,0]\cup\left(\frac{1}{3},\frac{3}{2}\right)$
C. $\left(-\infty,\frac{2}{3}\right)$
D. $(-\infty,1)$
答案:
7.C
8. 在关于$x$的不等式$x^{2}-(a + 1)x + a<0$的解集中,恰有3个整数,则实数$a$的取值范围是 ( )
A. $(4,5)$
B. $(-3,-2)\cup(4,5)$
C. $(4,5]$
D. $[-3,-2)\cup(4,5]$
A. $(4,5)$
B. $(-3,-2)\cup(4,5)$
C. $(4,5]$
D. $[-3,-2)\cup(4,5]$
答案:
8.D
查看更多完整答案,请扫码查看