2025年全品基础小练习高考数学
注:目前有些书本章节名称可能整理的还不是很完善,但都是按照顺序排列的,请同学们按照顺序仔细查找。练习册 2025年全品基础小练习高考数学 答案主要是用来给同学们做完题方便对答案用的,请勿直接抄袭。
第22页
- 第1页
- 第2页
- 第3页
- 第4页
- 第5页
- 第6页
- 第7页
- 第8页
- 第9页
- 第10页
- 第11页
- 第12页
- 第13页
- 第14页
- 第15页
- 第16页
- 第17页
- 第18页
- 第19页
- 第20页
- 第21页
- 第22页
- 第23页
- 第24页
- 第25页
- 第26页
- 第27页
- 第28页
- 第29页
- 第30页
- 第31页
- 第32页
- 第33页
- 第34页
- 第35页
- 第36页
- 第37页
- 第38页
- 第39页
- 第40页
- 第41页
- 第42页
- 第43页
- 第44页
- 第45页
- 第46页
- 第47页
- 第48页
- 第49页
- 第50页
- 第51页
- 第52页
- 第53页
- 第54页
- 第55页
- 第56页
- 第57页
- 第58页
- 第59页
- 第60页
- 第61页
- 第62页
- 第63页
- 第64页
- 第65页
- 第66页
- 第67页
- 第68页
- 第69页
- 第70页
- 第71页
- 第72页
- 第73页
- 第74页
- 第75页
- 第76页
- 第77页
- 第78页
- 第79页
- 第80页
- 第81页
- 第82页
- 第83页
- 第84页
- 第85页
- 第86页
- 第87页
- 第88页
- 第89页
- 第90页
- 第91页
- 第92页
- 第93页
- 第94页
- 第95页
- 第96页
- 第97页
- 第98页
- 第99页
- 第100页
- 第101页
- 第102页
- 第103页
- 第104页
- 第105页
- 第106页
- 第107页
- 第108页
- 第109页
- 第110页
- 第111页
- 第112页
- 第113页
- 第114页
- 第115页
- 第116页
- 第117页
- 第118页
- 第119页
1. 函数$y=-e^{x}$与$y=e^{-x}$的图象 ( )
A. 关于$x$轴对称
B. 关于$y$轴对称
C. 关于原点对称
D. 关于直线$y = x$对称
A. 关于$x$轴对称
B. 关于$y$轴对称
C. 关于原点对称
D. 关于直线$y = x$对称
答案:
C
2. 下列可能是函数$y=\frac{x^{2}-1}{e^{|x|}}$的图象的是( )

答案:
C
3. 若函数$y = f(x)$的图象如图所示,则函数$y=-f(x + 1)$的图象大致为 ( )


答案:
C
4. 函数$y = x\cos x+\sin x$在区间$[-\pi,\pi]$上的图象可能是 ( )


答案:
A
5. 已知函数$f(x)$的部分图象如图所示,则$f(x)$的解析式可能为 ( )

A. $f(x)=(3^{x}+3^{-x})\sin2x$
B. $f(x)=(3^{x}+3^{-x})\cos2x$
C. $f(x)=(3^{x}-3^{-x})\cos2x$
D. $f(x)=(3^{x}-3^{-x})\sin2x$
A. $f(x)=(3^{x}+3^{-x})\sin2x$
B. $f(x)=(3^{x}+3^{-x})\cos2x$
C. $f(x)=(3^{x}-3^{-x})\cos2x$
D. $f(x)=(3^{x}-3^{-x})\sin2x$
答案:
C
6. 如图所示,动点$P$在边长为1的正方形$ABCD$的边上沿$A\rightarrow B\rightarrow C\rightarrow D$运动,$x$表示动点$P$由$A$点出发所经过的路程,$y$表示$\triangle APD$的面积,则函数$y = f(x)$的大致图象是 ( )



答案:
A
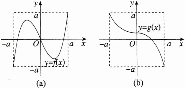
7. 定义域和值域均为$[-a,a](a\gt0)$的函数$y = f(x)$和$y = g(x)$的大致图象分别如图(a)(b)所示,则方程$g[f(x)] = 0$的解的个数不可能是 ( )

A. 1
B. 2
C. 3
D. 4
A. 1
B. 2
C. 3
D. 4
答案:
D
查看更多完整答案,请扫码查看