2025年优化探究同步导学案高中数学必修第一册人教版
注:目前有些书本章节名称可能整理的还不是很完善,但都是按照顺序排列的,请同学们按照顺序仔细查找。练习册 2025年优化探究同步导学案高中数学必修第一册人教版 答案主要是用来给同学们做完题方便对答案用的,请勿直接抄袭。
第101页
- 第1页
- 第2页
- 第3页
- 第4页
- 第5页
- 第6页
- 第7页
- 第8页
- 第9页
- 第10页
- 第11页
- 第12页
- 第13页
- 第14页
- 第15页
- 第16页
- 第17页
- 第18页
- 第19页
- 第20页
- 第21页
- 第22页
- 第23页
- 第24页
- 第25页
- 第26页
- 第27页
- 第28页
- 第29页
- 第30页
- 第31页
- 第32页
- 第33页
- 第34页
- 第35页
- 第36页
- 第37页
- 第38页
- 第39页
- 第40页
- 第41页
- 第42页
- 第43页
- 第44页
- 第45页
- 第46页
- 第47页
- 第48页
- 第49页
- 第50页
- 第51页
- 第52页
- 第53页
- 第54页
- 第55页
- 第56页
- 第57页
- 第58页
- 第59页
- 第60页
- 第61页
- 第62页
- 第63页
- 第64页
- 第65页
- 第66页
- 第67页
- 第68页
- 第69页
- 第70页
- 第71页
- 第72页
- 第73页
- 第74页
- 第75页
- 第76页
- 第77页
- 第78页
- 第79页
- 第80页
- 第81页
- 第82页
- 第83页
- 第84页
- 第85页
- 第86页
- 第87页
- 第88页
- 第89页
- 第90页
- 第91页
- 第92页
- 第93页
- 第94页
- 第95页
- 第96页
- 第97页
- 第98页
- 第99页
- 第100页
- 第101页
- 第102页
- 第103页
- 第104页
- 第105页
- 第106页
- 第107页
- 第108页
- 第109页
- 第110页
- 第111页
- 第112页
- 第113页
- 第114页
- 第115页
- 第116页
- 第117页
- 第118页
- 第119页
- 第120页
- 第121页
- 第122页
- 第123页
- 第124页
- 第125页
- 第126页
- 第127页
- 第128页
- 第129页
- 第130页
- 第131页
- 第132页
- 第133页
- 第134页
- 第135页
- 第136页
- 第137页
- 第138页
- 第139页
- 第140页
- 第141页
- 第142页
- 第143页
- 第144页
- 第145页
- 第146页
- 第147页
- 第148页
- 第149页
- 第150页
- 第151页
- 第152页
- 第153页
- 第154页
- 第155页
- 第156页
- 第157页
- 第158页
- 第159页
- 第160页
- 第161页
- 第162页
- 第163页
- 第164页
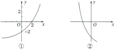
1. 已知函数 $ f(x) = a^{x} + b(a > 0 $,且 $ a \neq 1) $.

(1) 若 $ f(x) $ 的图象如图①所示,求 $ a $,$ b $ 的值;
(2) 若 $ f(x) $ 的图象如图②所示,求 $ a $,$ b $ 的取值范围;
(3) 在(1)中,若 $ |f(x)| = m $ 有且仅有一个实数根,求 $ m $ 的取值范围.
(1) 若 $ f(x) $ 的图象如图①所示,求 $ a $,$ b $ 的值;
(2) 若 $ f(x) $ 的图象如图②所示,求 $ a $,$ b $ 的取值范围;
(3) 在(1)中,若 $ |f(x)| = m $ 有且仅有一个实数根,求 $ m $ 的取值范围.
答案:
跟踪训练 1.解:
(1)$f(x)$的图象过点$(2,0)$,$(0,-2)$,
所以$\begin{cases}a^{2}+b=0,\\a^{0}+b=-2.\end{cases}$
又因为$a>0$,且$a\neq1$,
所以$a=\sqrt{3}$,$b=-3$。
(2)因为$f(x)$单调递减,所以$0<a<1$。
又$f(0)<0$,即$a^{0}+b<0$,所以$b<-1$。
故$a$的取值范围为$(0,1)$,$b$的取值范围为$(-\infty,-1)$。
(3)画出$\vert f(x)\vert=\vert(\sqrt{3})^{x}-3\vert$的图象如图所示,要使$\vert f(x)\vert=m$有且仅有一个实数根,则$m=0$或$m\geq3$。
故$m$的取值范围为$\{0\}\cup[3,+\infty)$。
跟踪训练 1.解:
(1)$f(x)$的图象过点$(2,0)$,$(0,-2)$,
所以$\begin{cases}a^{2}+b=0,\\a^{0}+b=-2.\end{cases}$
又因为$a>0$,且$a\neq1$,
所以$a=\sqrt{3}$,$b=-3$。
(2)因为$f(x)$单调递减,所以$0<a<1$。
又$f(0)<0$,即$a^{0}+b<0$,所以$b<-1$。
故$a$的取值范围为$(0,1)$,$b$的取值范围为$(-\infty,-1)$。
(3)画出$\vert f(x)\vert=\vert(\sqrt{3})^{x}-3\vert$的图象如图所示,要使$\vert f(x)\vert=m$有且仅有一个实数根,则$m=0$或$m\geq3$。
故$m$的取值范围为$\{0\}\cup[3,+\infty)$。
查看更多完整答案,请扫码查看