第9页
- 第1页
- 第2页
- 第3页
- 第4页
- 第5页
- 第6页
- 第7页
- 第8页
- 第9页
- 第10页
- 第11页
- 第12页
- 第13页
- 第14页
- 第15页
- 第16页
- 第17页
- 第18页
- 第19页
- 第20页
- 第21页
- 第22页
- 第23页
- 第24页
- 第25页
- 第26页
- 第27页
- 第28页
- 第29页
- 第30页
- 第31页
- 第32页
- 第33页
- 第34页
- 第35页
- 第36页
- 第37页
- 第38页
- 第39页
- 第40页
- 第41页
- 第42页
- 第43页
- 第44页
- 第45页
- 第46页
- 第47页
- 第48页
- 第49页
- 第50页
- 第51页
- 第52页
- 第53页
- 第54页
- 第55页
- 第56页
- 第57页
- 第58页
- 第59页
- 第60页
- 第61页
- 第62页
- 第63页
- 第64页
- 第65页
- 第66页
- 第67页
- 第68页
- 第69页
- 第70页
- 第71页
- 第72页
- 第73页
- 第74页
- 第75页
- 第76页
- 第77页
- 第78页
- 第79页
- 第80页
- 第81页
- 第82页
- 第83页
- 第84页
- 第85页
- 第86页
- 第87页
- 第88页
- 第89页
- 第90页
- 第91页
- 第92页
- 第93页
- 第94页
- 第95页
- 第96页
- 第97页
- 第98页
- 第99页
- 第100页
- 第101页
- 第102页
- 第103页
1. [典型习题]用公式法解下列方程:
(1) $ x^{2}+2 x-1= 0 $; (2) $ 2 x^{2}-4 x-1= 0 $;

(3) [2024 齐齐哈尔中考]$ x^{2}-5 x+6= 0 $; (4) $ 3 x^{2}-2 x-7= 0 $.

(1) $ x^{2}+2 x-1= 0 $; (2) $ 2 x^{2}-4 x-1= 0 $;
(3) [2024 齐齐哈尔中考]$ x^{2}-5 x+6= 0 $; (4) $ 3 x^{2}-2 x-7= 0 $.
答案:
(1)$x_{1}=-1+\sqrt{2}$,$x_{2}=-1-\sqrt{2}$;
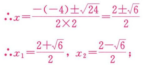
(2)$x_{1}=\frac{2+\sqrt{6}}{2}$,$x_{2}=\frac{2-\sqrt{6}}{2}$;
(3)$x_{1}=3$,$x_{2}=2$;
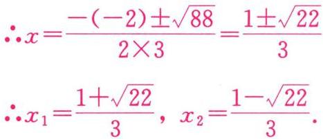
(4)$x_{1}=\frac{1+\sqrt{22}}{3}$,$x_{2}=\frac{1-\sqrt{22}}{3}$。
(2)$x_{1}=\frac{2+\sqrt{6}}{2}$,$x_{2}=\frac{2-\sqrt{6}}{2}$;
(3)$x_{1}=3$,$x_{2}=2$;
(4)$x_{1}=\frac{1+\sqrt{22}}{3}$,$x_{2}=\frac{1-\sqrt{22}}{3}$。
2. [变式]用公式法解下列方程:
(1) $ x^{2}+4 x+1= 0 $; (2) $ x^{2}+x-3= 0 $;

(3) $ 2 x^{2}-4 x-3= 0 $; (4) $ -3 x= 1-x^{2} $;


(5) $ x^{2}-2 x+5= 0 $; (6) $ (x+2)(x-3)= 4 x+8 $.
(1) $ x^{2}+4 x+1= 0 $; (2) $ x^{2}+x-3= 0 $;
(3) $ 2 x^{2}-4 x-3= 0 $; (4) $ -3 x= 1-x^{2} $;
(5) $ x^{2}-2 x+5= 0 $; (6) $ (x+2)(x-3)= 4 x+8 $.
答案:
(1)$x_{1}=-2+\sqrt{3}$,$x_{2}=-2-\sqrt{3}$;
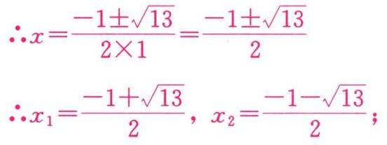
(2)$x_{1}=\frac{-1+\sqrt{13}}{2}$,$x_{2}=\frac{-1-\sqrt{13}}{2}$;
(3)$x_{1}=\frac{2+\sqrt{10}}{2}$,$x_{2}=\frac{2-\sqrt{10}}{2}$;
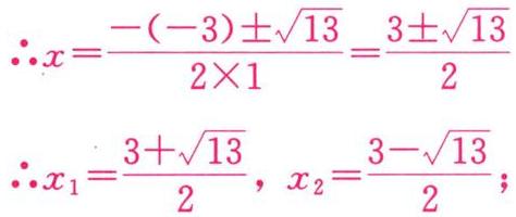
(4)$x_{1}=\frac{3+\sqrt{13}}{2}$,$x_{2}=\frac{3-\sqrt{13}}{2}$;
(5)无实数根;
(6)$x_{1}=7$,$x_{2}=-2$。
(2)$x_{1}=\frac{-1+\sqrt{13}}{2}$,$x_{2}=\frac{-1-\sqrt{13}}{2}$;
(3)$x_{1}=\frac{2+\sqrt{10}}{2}$,$x_{2}=\frac{2-\sqrt{10}}{2}$;
(4)$x_{1}=\frac{3+\sqrt{13}}{2}$,$x_{2}=\frac{3-\sqrt{13}}{2}$;
(5)无实数根;
(6)$x_{1}=7$,$x_{2}=-2$。
查看更多完整答案,请扫码查看