第13页
- 第1页
- 第2页
- 第3页
- 第4页
- 第5页
- 第6页
- 第7页
- 第8页
- 第9页
- 第10页
- 第11页
- 第12页
- 第13页
- 第14页
- 第15页
- 第16页
- 第17页
- 第18页
- 第19页
- 第20页
- 第21页
- 第22页
- 第23页
- 第24页
- 第25页
- 第26页
- 第27页
- 第28页
- 第29页
- 第30页
- 第31页
- 第32页
- 第33页
- 第34页
- 第35页
- 第36页
- 第37页
- 第38页
- 第39页
- 第40页
- 第41页
- 第42页
- 第43页
- 第44页
- 第45页
- 第46页
- 第47页
- 第48页
- 第49页
- 第50页
- 第51页
- 第52页
- 第53页
- 第54页
- 第55页
- 第56页
- 第57页
- 第58页
- 第59页
- 第60页
- 第61页
- 第62页
- 第63页
- 第64页
- 第65页
- 第66页
- 第67页
- 第68页
- 第69页
- 第70页
- 第71页
- 第72页
- 第73页
- 第74页
- 第75页
- 第76页
- 第77页
- 第78页
- 第79页
- 第80页
- 第81页
- 第82页
- 第83页
- 第84页
- 第85页
- 第86页
- 第87页
- 第88页
- 第89页
- 第90页
- 第91页
- 第92页
- 第93页
- 第94页
- 第95页
- 第96页
- 第97页
- 第98页
- 第99页
- 第100页
- 第101页
- 第102页
- 第103页
1. [典型习题]用适当的方法解下列方程:
(1)$(x+1)^{2}= 9$; (2)$x(x+4)= -3(x+4)$;
(3)$x^{2}-4x+3= 0$; (4)$2x^{2}-3x-1= 0$.

(1)$(x+1)^{2}= 9$; (2)$x(x+4)= -3(x+4)$;
(3)$x^{2}-4x+3= 0$; (4)$2x^{2}-3x-1= 0$.
答案:
$(1)x_1 = 2$,$x_2 = -4$;
$(2)x_1 = -4$,$x_2 = -3$;
$(3)x_1 = 1$,$x_2 = 3$;
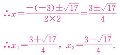
$(4)x_1 = \frac{3 + \sqrt{17}}{4}$,$x_2 = \frac{3 - \sqrt{17}}{4}$。
$(2)x_1 = -4$,$x_2 = -3$;
$(3)x_1 = 1$,$x_2 = 3$;
$(4)x_1 = \frac{3 + \sqrt{17}}{4}$,$x_2 = \frac{3 - \sqrt{17}}{4}$。
2. [变式]用适当的方法解下列方程:
(1)$(x-3)^{2}= 36$; (2)$x^{2}-6x+12= 0$;
(3)$3x^{2}-2= 4x$; (4)$2(x-3)^{2}= 15-5x$;

(5)$(x-5)(x-3)= 24$; (6)$12x^{2}+48x-96= 0$.
(1)$(x-3)^{2}= 36$; (2)$x^{2}-6x+12= 0$;
(3)$3x^{2}-2= 4x$; (4)$2(x-3)^{2}= 15-5x$;
(5)$(x-5)(x-3)= 24$; (6)$12x^{2}+48x-96= 0$.
答案:
(1) $x_1 = 9$,$x_2 = - 3$;
(2) 无实数根;
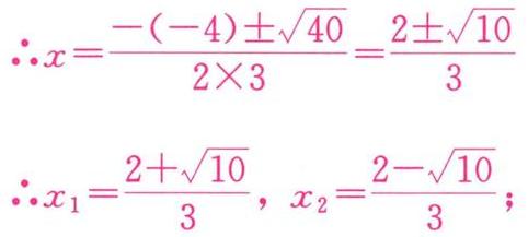
(3) $x_1 = \frac{2 + \sqrt{10}}{3}$,$x_2 = \frac{2 - \sqrt{10}}{3}$;
(4) $x_1 = \frac{1}{2}$,$x_2 = 3$;
(5) $x_1 = 9$,$x_2 = - 1$;
(6) $x_1 = - 2 + 2\sqrt{3}$,$x_2 = - 2 - 2\sqrt{3}$。
(1) $x_1 = 9$,$x_2 = - 3$;
(2) 无实数根;
(3) $x_1 = \frac{2 + \sqrt{10}}{3}$,$x_2 = \frac{2 - \sqrt{10}}{3}$;
(4) $x_1 = \frac{1}{2}$,$x_2 = 3$;
(5) $x_1 = 9$,$x_2 = - 1$;
(6) $x_1 = - 2 + 2\sqrt{3}$,$x_2 = - 2 - 2\sqrt{3}$。
查看更多完整答案,请扫码查看