第42页
- 第1页
- 第2页
- 第3页
- 第4页
- 第5页
- 第6页
- 第7页
- 第8页
- 第9页
- 第10页
- 第11页
- 第12页
- 第13页
- 第14页
- 第15页
- 第16页
- 第17页
- 第18页
- 第19页
- 第20页
- 第21页
- 第22页
- 第23页
- 第24页
- 第25页
- 第26页
- 第27页
- 第28页
- 第29页
- 第30页
- 第31页
- 第32页
- 第33页
- 第34页
- 第35页
- 第36页
- 第37页
- 第38页
- 第39页
- 第40页
- 第41页
- 第42页
- 第43页
- 第44页
- 第45页
- 第46页
- 第47页
- 第48页
- 第49页
- 第50页
- 第51页
- 第52页
- 第53页
- 第54页
- 第55页
- 第56页
- 第57页
- 第58页
- 第59页
- 第60页
- 第61页
- 第62页
- 第63页
- 第64页
- 第65页
- 第66页
- 第67页
- 第68页
- 第69页
- 第70页
- 第71页
- 第72页
- 第73页
- 第74页
- 第75页
- 第76页
- 第77页
- 第78页
- 第79页
- 第80页
- 第81页
- 第82页
- 第83页
- 第84页
- 第85页
- 第86页
- 第87页
- 第88页
- 第89页
- 第90页
- 第91页
- 第92页
- 第93页
- 第94页
- 第95页
- 第96页
- 第97页
- 第98页
- 第99页
- 第100页
- 第101页
- 第102页
- 第103页
- 第104页
- 第105页
- 第106页
- 第107页
- 第108页
- 第109页
- 第110页
- 第111页
1. [2025·永州蓝山县期末]若分式$\frac{|x| - 2}{x - 2}$的值为0,则(
A.$x = \pm2$
B.$x = 2$
C.$x = -2$
D.$x = 0$或-2
C
)A.$x = \pm2$
B.$x = 2$
C.$x = -2$
D.$x = 0$或-2
答案:
C
2. 若分式$\frac{(x + 1)(x + 3)}{x^2 - 9}$的值为0,则$x$的值是
-1
。
答案:
-1
3. [2025·怀化期末]先化简$(1-\frac{2}{a + 1})÷\frac{a^2 - 2a + 1}{a + 1}$,再从$-1$,0,1,2中选取一个合适的数作为$a$的值代入求值。
答案:
解:原式=((a+1)/(a+1)-2/(a+1))·(a+1)/(a-1)²=(a-1)/(a+1)·(a+1)/(a-1)²=1/(a-1).因为a+1≠0,(a-1)²≠0,所以a≠±1.所以a的值可选取0或2.当a=0时,1/(a-1)=1/(0-1)=-1.(或当a=2时,1/(a-1)=1/(2-1)=1.)
4. 解方程:$\frac{x + 1}{x - 1}-1= \frac{4}{x^2 - 1}$。
答案:
无解.
5. 若关于$x的分式方程\frac{mx}{x + 3}-2= \frac{2x}{x + 3}$无解,则$m=$
4或2
。
答案:
4或2
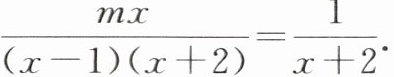
6. [2025·祁阳期末]已知关于$x的分式方程\frac{2}{x - 1}+\frac{mx}{(x - 1)(x + 2)}= \frac{1}{x + 2}$。

(1)若$m = 4$,求方程的解;
(2)若该分式方程无解,求$m$的值。
(1)若$m = 4$,求方程的解;
(2)若该分式方程无解,求$m$的值。
答案:
(1)x=-1.
(2)-1或3/2或-6.
(1)x=-1.
(2)-1或3/2或-6.
7. [2025·贵港期末]若关于$x的方程\frac{x}{x - 1}-2= \frac{3m}{2x - 2}$的解为正数,则$m$的取值范围是(
A.$m > -\frac{2}{3}$
B.$m < \frac{4}{3}$
C.$m > -\frac{2}{3}且m\neq0$
D.$m < \frac{4}{3}且m\neq\frac{2}{3}$
D
)A.$m > -\frac{2}{3}$
B.$m < \frac{4}{3}$
C.$m > -\frac{2}{3}且m\neq0$
D.$m < \frac{4}{3}且m\neq\frac{2}{3}$
答案:
D
8. 若关于$x的方程\frac{2x}{x - 3}-\frac{m - 7}{3 - x}= 1$的解为非负数,则$m$的取值范围为
m≤4且m≠1
。
答案:
m≤4且m≠1
查看更多完整答案,请扫码查看