第99页
- 第1页
- 第2页
- 第3页
- 第4页
- 第5页
- 第6页
- 第7页
- 第8页
- 第9页
- 第10页
- 第11页
- 第12页
- 第13页
- 第14页
- 第15页
- 第16页
- 第17页
- 第18页
- 第19页
- 第20页
- 第21页
- 第22页
- 第23页
- 第24页
- 第25页
- 第26页
- 第27页
- 第28页
- 第29页
- 第30页
- 第31页
- 第32页
- 第33页
- 第34页
- 第35页
- 第36页
- 第37页
- 第38页
- 第39页
- 第40页
- 第41页
- 第42页
- 第43页
- 第44页
- 第45页
- 第46页
- 第47页
- 第48页
- 第49页
- 第50页
- 第51页
- 第52页
- 第53页
- 第54页
- 第55页
- 第56页
- 第57页
- 第58页
- 第59页
- 第60页
- 第61页
- 第62页
- 第63页
- 第64页
- 第65页
- 第66页
- 第67页
- 第68页
- 第69页
- 第70页
- 第71页
- 第72页
- 第73页
- 第74页
- 第75页
- 第76页
- 第77页
- 第78页
- 第79页
- 第80页
- 第81页
- 第82页
- 第83页
- 第84页
- 第85页
- 第86页
- 第87页
- 第88页
- 第89页
- 第90页
- 第91页
- 第92页
- 第93页
- 第94页
- 第95页
- 第96页
- 第97页
- 第98页
- 第99页
- 第100页
- 第101页
- 第102页
- 第103页
- 第104页
- 第105页
- 第106页
- 第107页
- 第108页
- 第109页
1. 运用平方差公式分解因式:$a^{2}-b^{2}=(a + b)(a - b)$,即两个数的平方差,等于这两个数的
和
与这两个数的差
的积。
答案:
1.和差
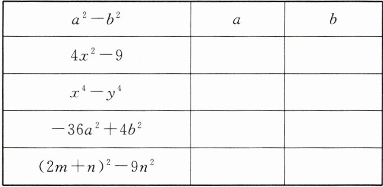
2. 根据平方差公式的结构特征,完成下面的表格。

答案:
$2.2x3x^{2}y^{2}2b6a2m+n3n$
例 1 分解因式:
(1)$4m^{2}-1$; (2)$-\frac{9}{4}x^{2}+\frac{16}{25}y^{2}$;
(3)$4a^{2}b - a^{2}b^{3}$;(4)$9(a + b)^{2}-4(a - b)^{2}$。
(1)$4m^{2}-1$; (2)$-\frac{9}{4}x^{2}+\frac{16}{25}y^{2}$;
(3)$4a^{2}b - a^{2}b^{3}$;(4)$9(a + b)^{2}-4(a - b)^{2}$。
答案:
例1解:
(1)原式$=(2m)^{2}-1^{2}=(2m+1)(2m-1).(2)$原式=
$\frac{16}{25}y^{2}-\frac{9}{4}x^{2}=(\frac{4}{5}y)^{2}-(\frac{3}{2}x)^{2}=(\frac{4}{5}y+$
$\frac{3}{2}x)(\frac{4}{5}y-\frac{3}{2}x).(3)$原式$=a^{2}b(4-b^{2})=a^{2}b(2+b)$
(2-b).
(4)原式$=[3(a+b)]^{2}-[2(a-b)]^{2}=[3(a+b)+$
2(a-b)][3(a+b)-2(a-b)]=(5a+b)(a+5b).
(1)原式$=(2m)^{2}-1^{2}=(2m+1)(2m-1).(2)$原式=
$\frac{16}{25}y^{2}-\frac{9}{4}x^{2}=(\frac{4}{5}y)^{2}-(\frac{3}{2}x)^{2}=(\frac{4}{5}y+$
$\frac{3}{2}x)(\frac{4}{5}y-\frac{3}{2}x).(3)$原式$=a^{2}b(4-b^{2})=a^{2}b(2+b)$
(2-b).
(4)原式$=[3(a+b)]^{2}-[2(a-b)]^{2}=[3(a+b)+$
2(a-b)][3(a+b)-2(a-b)]=(5a+b)(a+5b).
例 2 如图,某小区规划在半径为 $R$ 的圆形场地上修建四个半径都为 $r$ 的喷水池$(2r < R)$,其余部分种花草。当 $R = 5m$,$r = 1.25m$ 时,求种花草部分的面积($\pi$ 取 $3.14$)。

答案:
例2解:种花草部分的面积为$\pi R^{2}-4\pi r^{2}=\pi(R^{2}-4r^{2})=\pi(R+$
2r)(R-2r).当R=5m,r=1.25m时,原式=3.14×(5+
$2×1.25)×(5-2×1.25)=3.14×7.5×2.5=58.875(m^{2}).$
答:种花草部分的面积为$58.875m^{2}.$
2r)(R-2r).当R=5m,r=1.25m时,原式=3.14×(5+
$2×1.25)×(5-2×1.25)=3.14×7.5×2.5=58.875(m^{2}).$
答:种花草部分的面积为$58.875m^{2}.$
1. 给出下列各式:①$x^{2}+y^{2}$;②$x^{2}-y^{2}$;③$-x^{2}+y^{2}$;④$-x^{2}-y^{2}$;⑤$x^{2}+(-y)^{2}$;⑥$1-\frac{1}{4}x^{2}y^{2}$;⑦$x^{4}-y^{4}$。其中能用平方差公式分解因式的有(
A.$2$ 个
B.$3$ 个
C.$4$ 个
D.$5$ 个
C
)A.$2$ 个
B.$3$ 个
C.$4$ 个
D.$5$ 个
答案:
1.C
2. 分解因式:
(1)[2023·绵阳]$x^{2}-9y^{2}=$
(2)[2023·北京]$x^{2}y - y^{3}=$
(3)$(a - b)^{2}-4b^{2}=$
(4)$x^{2}(x - 2)+16(2 - x)=$
(1)[2023·绵阳]$x^{2}-9y^{2}=$
(x+3y)(x-3y)
。(2)[2023·北京]$x^{2}y - y^{3}=$
y(x+y)(x-y)
。(3)$(a - b)^{2}-4b^{2}=$
(a+b)(a-3b)
。(4)$x^{2}(x - 2)+16(2 - x)=$
(x-2)(x+4)(x-4)
。
答案:
2.
(1)(x+3y)(x-3y)
(2)y(x+y)(x-y)
(3)(a+
b)(a-3b)
(4)(x-2)(x+4)(x-4)
(1)(x+3y)(x-3y)
(2)y(x+y)(x-y)
(3)(a+
b)(a-3b)
(4)(x-2)(x+4)(x-4)
查看更多完整答案,请扫码查看