第52页
- 第1页
- 第2页
- 第3页
- 第4页
- 第5页
- 第6页
- 第7页
- 第8页
- 第9页
- 第10页
- 第11页
- 第12页
- 第13页
- 第14页
- 第15页
- 第16页
- 第17页
- 第18页
- 第19页
- 第20页
- 第21页
- 第22页
- 第23页
- 第24页
- 第25页
- 第26页
- 第27页
- 第28页
- 第29页
- 第30页
- 第31页
- 第32页
- 第33页
- 第34页
- 第35页
- 第36页
- 第37页
- 第38页
- 第39页
- 第40页
- 第41页
- 第42页
- 第43页
- 第44页
- 第45页
- 第46页
- 第47页
- 第48页
- 第49页
- 第50页
- 第51页
- 第52页
- 第53页
- 第54页
- 第55页
- 第56页
- 第57页
- 第58页
- 第59页
- 第60页
- 第61页
- 第62页
- 第63页
- 第64页
- 第65页
- 第66页
- 第67页
- 第68页
- 第69页
- 第70页
- 第71页
- 第72页
- 第73页
- 第74页
- 第75页
- 第76页
- 第77页
- 第78页
- 第79页
- 第80页
- 第81页
- 第82页
- 第83页
- 第84页
- 第85页
- 第86页
- 第87页
- 第88页
- 第89页
- 第90页
- 第91页
- 第92页
- 第93页
- 第94页
- 第95页
- 第96页
- 第97页
- 第98页
- 第99页
- 第100页
- 第101页
- 第102页
- 第103页
- 第104页
- 第105页
- 第106页
- 第107页
- 第108页
- 第109页
1. 关于坐标轴对称的点的坐标特征:
(1)点$(x,y)$关于$x$轴对称的点的坐标为
(2)点$(x,y)$关于$y$轴对称的点的坐标为
(1)点$(x,y)$关于$x$轴对称的点的坐标为
(x,-y)
;(2)点$(x,y)$关于$y$轴对称的点的坐标为
(-x,y)
。
答案:
1.
(1)$(x,-y)$
(2)$(-x,y)$
(1)$(x,-y)$
(2)$(-x,y)$
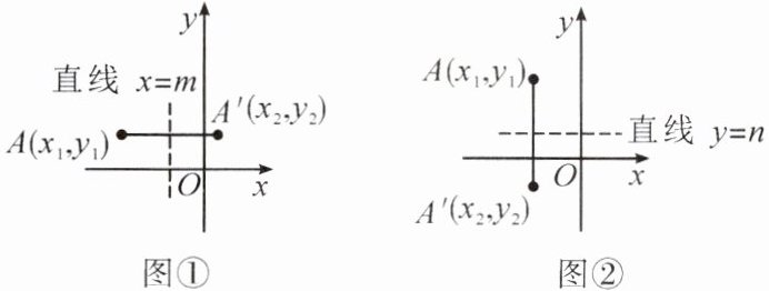
2. 关于直线$x = m$或$y = n$对称的点的坐标特征:
(1)对称轴与对称点连线的交点为对称点所连线段的
(2)如图①,点$A$,$A'$关于直线$x = m$对称,则有$y_1 = y_2$且$x_1 + x_2 = 2m$;如图②,点$A$,$A'$关于直线$y = n$对称,则有$x_1 = x_2$且$y_1 + y_2 = 2n$。

(1)对称轴与对称点连线的交点为对称点所连线段的
中点
。(2)如图①,点$A$,$A'$关于直线$x = m$对称,则有$y_1 = y_2$且$x_1 + x_2 = 2m$;如图②,点$A$,$A'$关于直线$y = n$对称,则有$x_1 = x_2$且$y_1 + y_2 = 2n$。
答案:
2.
(1)中点
(1)中点
例 1 如图,已知$\triangle ABC$各顶点的坐标分别为$A(-1,4)$,$B(3,3)$,$C(1,1)$。
(1)作出与$\triangle ABC$关于$x$轴对称的$\triangle A_1B_1C_1$,并写出$\triangle A_1B_1C_1$的顶点坐标;
(2)作出与$\triangle ABC$关于$y$轴对称的$\triangle A_2B_2C_2$,并写出$\triangle A_2B_2C_2$的顶点坐标。

解题策略:确定对称点的坐标时,先要确定点关于哪条坐标轴对称,然后确定哪个坐标变符号。具体法则是关于哪条坐标轴对称,哪条坐标轴上的坐标就不变,另一个坐标则变为相反数。
(1)作出与$\triangle ABC$关于$x$轴对称的$\triangle A_1B_1C_1$,并写出$\triangle A_1B_1C_1$的顶点坐标;
(2)作出与$\triangle ABC$关于$y$轴对称的$\triangle A_2B_2C_2$,并写出$\triangle A_2B_2C_2$的顶点坐标。
解题策略:确定对称点的坐标时,先要确定点关于哪条坐标轴对称,然后确定哪个坐标变符号。具体法则是关于哪条坐标轴对称,哪条坐标轴上的坐标就不变,另一个坐标则变为相反数。
答案:
例1 解:
(1)$\triangle A_1B_1C_1$如图所示,$A_1(-1,-4)$,$B_1(3,-3)$,$C_1(1,-1)$.
(2)$\triangle A_2B_2C_2$如图所示,$A_2(1,4)$,$B_2(-3,3)$,$C_2(-1,1)$.
例1 解:
(1)$\triangle A_1B_1C_1$如图所示,$A_1(-1,-4)$,$B_1(3,-3)$,$C_1(1,-1)$.
(2)$\triangle A_2B_2C_2$如图所示,$A_2(1,4)$,$B_2(-3,3)$,$C_2(-1,1)$.
知识点 2 关于直线$x = m$或$y = n$对称的点的坐标
例 2 $\triangle ABC$在平面直角坐标系中的位置如图所示($\triangle ABC$的顶点均在网格线的格点上,每个小正方形的边长为 1)。
(1)作出与$\triangle ABC$关于直线$x = 1$对称的$\triangle A_1B_1C_1$;
(2)作出与$\triangle ABC$关于直线$y = -1$对称的$\triangle A_2B_2C_2$,并写出$\triangle A_2B_2C_2$的顶点坐标。

解题策略:若点$A(a,b)$与点$B(c,d)$关于直线$x = m$对称,则$m=\frac{a + c}{2}$,$b = d$;若点$A(a,b)$与点$B(c,d)$关于直线$y = n$对称,则$a = c$,$n=\frac{b + d}{2}$。
例 2 $\triangle ABC$在平面直角坐标系中的位置如图所示($\triangle ABC$的顶点均在网格线的格点上,每个小正方形的边长为 1)。
(1)作出与$\triangle ABC$关于直线$x = 1$对称的$\triangle A_1B_1C_1$;
(2)作出与$\triangle ABC$关于直线$y = -1$对称的$\triangle A_2B_2C_2$,并写出$\triangle A_2B_2C_2$的顶点坐标。
解题策略:若点$A(a,b)$与点$B(c,d)$关于直线$x = m$对称,则$m=\frac{a + c}{2}$,$b = d$;若点$A(a,b)$与点$B(c,d)$关于直线$y = n$对称,则$a = c$,$n=\frac{b + d}{2}$。
答案:
例2 解:
(1)$\triangle A_1B_1C_1$如图所示.
(2)$\triangle A_2B_2C_2$如图所示,$A_2(-4,-7)$,$B_2(-3,-3)$,$C_2(-1,-5)$.
例2 解:
(1)$\triangle A_1B_1C_1$如图所示.
(2)$\triangle A_2B_2C_2$如图所示,$A_2(-4,-7)$,$B_2(-3,-3)$,$C_2(-1,-5)$.
1. 在平面直角坐标系中,若点$A(2,1)$与点$B$关于$x$轴对称,则点$B$的坐标是(
A. $(2,-1)$
B. $(-2,1)$
C. $(-2,-1)$
D. $(2,1)$
A
)A. $(2,-1)$
B. $(-2,1)$
C. $(-2,-1)$
D. $(2,1)$
答案:
1.A
2. [2024·雅安]在平面直角坐标系中,将点$P(1,-1)$向右平移 2 个单位长度后,得到的点$P_1$关于$x$轴的对称点的坐标是(
A. $(1,1)$
B. $(3,1)$
C. $(3,-1)$
D. $(1,-1)$
B
)A. $(1,1)$
B. $(3,1)$
C. $(3,-1)$
D. $(1,-1)$
答案:
2.B
查看更多完整答案,请扫码查看