第30页
- 第1页
- 第2页
- 第3页
- 第4页
- 第5页
- 第6页
- 第7页
- 第8页
- 第9页
- 第10页
- 第11页
- 第12页
- 第13页
- 第14页
- 第15页
- 第16页
- 第17页
- 第18页
- 第19页
- 第20页
- 第21页
- 第22页
- 第23页
- 第24页
- 第25页
- 第26页
- 第27页
- 第28页
- 第29页
- 第30页
- 第31页
- 第32页
- 第33页
- 第34页
- 第35页
- 第36页
- 第37页
- 第38页
- 第39页
- 第40页
- 第41页
- 第42页
- 第43页
- 第44页
- 第45页
- 第46页
- 第47页
- 第48页
- 第49页
- 第50页
- 第51页
- 第52页
- 第53页
- 第54页
- 第55页
- 第56页
- 第57页
- 第58页
- 第59页
- 第60页
- 第61页
- 第62页
- 第63页
- 第64页
- 第65页
- 第66页
- 第67页
- 第68页
- 第69页
- 第70页
- 第71页
- 第72页
- 第73页
- 第74页
- 第75页
- 第76页
- 第77页
- 第78页
- 第79页
- 第80页
- 第81页
- 第82页
- 第83页
- 第84页
- 第85页
- 第86页
- 第87页
- 第88页
- 第89页
- 第90页
- 第91页
- 第92页
- 第93页
- 第94页
- 第95页
- 第96页
- 第97页
- 第98页
- 第99页
- 第100页
- 第101页
- 第102页
- 第103页
- 第104页
- 第105页
- 第106页
- 第107页
- 第108页
- 第109页
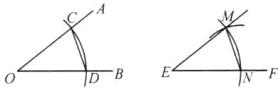
2. 如图,已知一个任意$∠AOB$,小海只用直尺(无刻度)和圆规进行下面的作图:
①用直尺作任意射线$EF$;
②以点$O$为圆心,任意长度为半径作弧,分别交$OA$,$OB$于点$C$,$D$;
③以点$E$为圆心,$OC$的长为半径作弧,交射线$EF$于点$N$;
④以点$N$为圆心,$DC$的长为半径作弧,两弧交于点$M$,用直尺作射线$EM$.
小海说:“按上面的作图,所作$∠MEN$与$∠AOB$相等”.小海的说法是否正确?请说明理由.

①用直尺作任意射线$EF$;
②以点$O$为圆心,任意长度为半径作弧,分别交$OA$,$OB$于点$C$,$D$;
③以点$E$为圆心,$OC$的长为半径作弧,交射线$EF$于点$N$;
④以点$N$为圆心,$DC$的长为半径作弧,两弧交于点$M$,用直尺作射线$EM$.
小海说:“按上面的作图,所作$∠MEN$与$∠AOB$相等”.小海的说法是否正确?请说明理由.
答案:
2.解:小海的说法正确.理由如下:如图,按步骤画出图形.由图可得EN=OD,EM=OC,NM=DC,
∴△EMN≌△OCD(SSS),
∴∠MEN=∠COD,即∠MEN=∠AOB.
2.解:小海的说法正确.理由如下:如图,按步骤画出图形.由图可得EN=OD,EM=OC,NM=DC,
∴△EMN≌△OCD(SSS),
∴∠MEN=∠COD,即∠MEN=∠AOB.
例题 一张残缺的三角形卡片如图所示,请用直尺和圆规作出一个三角形与这张残缺的三角形卡片还原后的三角形全等(不写作法,保留作图轨迹,并说明作图原理).

答案:
例题 解:如图所示,△ABC即为所作三角形.由作图可得所作三角形与原三角形满足两角及夹边相等的条件,所以利用“ASA”可判定所作三角形与还原后的三角形全等
例题 解:如图所示,△ABC即为所作三角形.由作图可得所作三角形与原三角形满足两角及夹边相等的条件,所以利用“ASA”可判定所作三角形与还原后的三角形全等
1. 如图,已知$∠AOB$,用直尺和圆规,在$OB$的左侧作$∠OBC = ∠AOB$(不写作法,保留作图痕迹).

答案:
1.解:如图所示.
1.解:如图所示.
2. 如图,已知$∠ABC$,用直尺和圆规,在原图形的基础上作一个以$∠ABC$为底角的等腰三角形$MBN$(不写作法,保留作图痕迹).

答案:
2.解:如图所示.
2.解:如图所示.
查看更多完整答案,请扫码查看