第83页
- 第1页
- 第2页
- 第3页
- 第4页
- 第5页
- 第6页
- 第7页
- 第8页
- 第9页
- 第10页
- 第11页
- 第12页
- 第13页
- 第14页
- 第15页
- 第16页
- 第17页
- 第18页
- 第19页
- 第20页
- 第21页
- 第22页
- 第23页
- 第24页
- 第25页
- 第26页
- 第27页
- 第28页
- 第29页
- 第30页
- 第31页
- 第32页
- 第33页
- 第34页
- 第35页
- 第36页
- 第37页
- 第38页
- 第39页
- 第40页
- 第41页
- 第42页
- 第43页
- 第44页
- 第45页
- 第46页
- 第47页
- 第48页
- 第49页
- 第50页
- 第51页
- 第52页
- 第53页
- 第54页
- 第55页
- 第56页
- 第57页
- 第58页
- 第59页
- 第60页
- 第61页
- 第62页
- 第63页
- 第64页
- 第65页
- 第66页
- 第67页
- 第68页
- 第69页
- 第70页
- 第71页
- 第72页
- 第73页
- 第74页
- 第75页
- 第76页
- 第77页
- 第78页
- 第79页
- 第80页
- 第81页
- 第82页
- 第83页
- 第84页
- 第85页
- 第86页
- 第87页
- 第88页
- 第89页
- 第90页
- 第91页
- 第92页
- 第93页
- 第94页
- 第95页
- 第96页
- 第97页
- 第98页
- 第99页
- 第100页
- 第101页
- 第102页
- 第103页
- 第104页
- 第105页
- 第106页
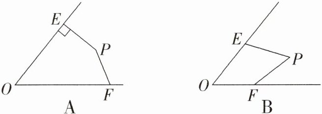
1. 如图,已知∠AOB = 60°,OC平分∠AOB,点P在OC上,PD⊥OA于点D,OP = 6 cm,点E是射线OB上的动点,则PE的最小值为( )

A. 2 cm
B. 3 cm
C. 4 cm
D. 5 cm
A. 2 cm
B. 3 cm
C. 4 cm
D. 5 cm
答案:
B
2. 如图,在△ABC中,∠C = 90°,若AC = 7,CD = $\frac{3}{7}$AC,BD平分∠ABC,则点D到AB的距离等于( )

A. 2
B. 3
C. 4
D. 7
A. 2
B. 3
C. 4
D. 7
答案:
B
3. 如图所示,P是∠AOB的平分线OC上的任意一点,PD⊥OA于点D,PE⊥OB于点E,则PD与PE的大小关系是PD______PE.

答案:
=
4. 如图,已知BD是∠ABC的平分线,AB = BC,点P在BD上,PM⊥AD,PN⊥CD,垂足分别是M,N. 求证:PM = PN.

答案:
证明:
∵BD是∠ABC的平分线,
∴∠ABD = ∠CBD.
在△ABD和△CBD中,
∵AB = CB,∠ABD = ∠CBD,BD = BD,
∴△ABD≌△CBD(SAS),
∴∠ADB = ∠CDB.
∵PM⊥AD,PN⊥CD,
∴PM = PN.
∵BD是∠ABC的平分线,
∴∠ABD = ∠CBD.
在△ABD和△CBD中,
∵AB = CB,∠ABD = ∠CBD,BD = BD,
∴△ABD≌△CBD(SAS),
∴∠ADB = ∠CDB.
∵PM⊥AD,PN⊥CD,
∴PM = PN.
5. 如所示图形中,若PE = PF,能判断点P在∠EOF的平分线上的是( )


答案:
D
6. 如图,两把相同的直尺的一边分别与射线OB,OA重合,另一边相交于点P,则OP平分∠BOA的依据是( )

A. 在角的内部,到角的两边距离相等的点在这个角的平分线上
B. 角平分线上的点到这个角的两边距离相等
C. 角平分线的性质
D. 角平分线是轴对称图形
A. 在角的内部,到角的两边距离相等的点在这个角的平分线上
B. 角平分线上的点到这个角的两边距离相等
C. 角平分线的性质
D. 角平分线是轴对称图形
答案:
A
7. 易错点 忽视分类讨论 在∠AOB内有三点C,D,E,且CG⊥OA,CH⊥OB,DP⊥OA,DQ⊥OB,EM⊥OA,EN⊥OB,垂足分别是G,H,P,Q,M,N各点,且CG = CH,DP = DQ,EM = EN. 若CD = 6 cm,DE = 9 cm,求CE的长.
答案:
解:
∵C为∠AOB内的点,CG⊥OA,CH⊥OB,且CG = CH,
∴OC平分∠AOB.
同理OD,OE也平分∠AOB.
∴点C,D,E在同一条直线上.
∵CD = 6cm,DE = 9cm,
∴CE = CD + DE = 15cm或CE = DE − CD = 3cm.
∵C为∠AOB内的点,CG⊥OA,CH⊥OB,且CG = CH,
∴OC平分∠AOB.
同理OD,OE也平分∠AOB.
∴点C,D,E在同一条直线上.
∵CD = 6cm,DE = 9cm,
∴CE = CD + DE = 15cm或CE = DE − CD = 3cm.
查看更多完整答案,请扫码查看